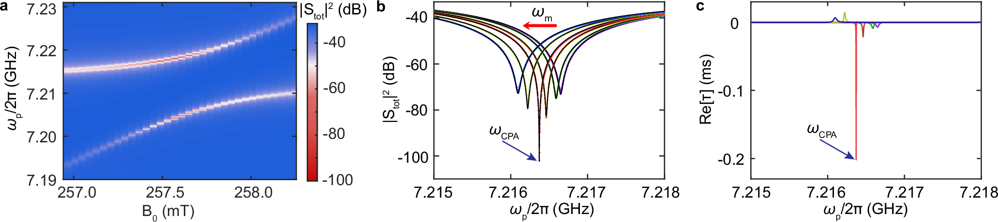
Fig. 2: Reduction of the polariton decay rate and characterization of the CPA.

a Output spectrum of the CPA with κ1/2π = 1.22 MHz, κ2/2π = 1.24 MHz, Δϕ = 0, and q ≈ 1. The output spectrum ∣Stot∣2 = ∣ri + tj∣2 (i ≠ j = 1, 2) contains the reflection (transmission) field of the input field loaded at port i (j). ωp is the frequency of the input field. The frequency of the magnon mode is tuned by varying the bias magnetic field B0. b Output spectra of the upper-branch polariton with different magnon frequencies. As the frequency of the polariton approaches the CPA frequency ωCPA, via tuning the magnon frequency (which is tuned from 7.2116 to 7.2104 GHz by reducing B0 from 257.55 to 257.51 mT, as indicated by the red arrow), the polariton decay rate decreases manifesting as a rapid reduction of the output field. The smallest decay rate of the polariton is achieved at the CPA frequency. Black curves are fitting results. c The Wigner time delay \({{{\rm{Re}}}}[\tau (\omega )]\) corresponding to the output spectra in (b). The long time delay ~ 0.2 ms signifies the significantly reduced decay rate of the polariton at the CPA frequency.