Abstract
We propose a framework for topological quantum computation using newly discovered non-semisimple analogs of topological quantum field theories in 2 + 1 dimensions. These enhanced theories offer more powerful models for quantum computation. The conventional theory of Ising anyons, which is believed to describe excitations in the ν = 5/2 fractional quantum Hall state, is not universal for quantum computation via braiding of quasiparticles. However, we show that the non-semisimple theory introduces new anyon types that extend the Ising framework. By adding just one new anyon type, universal quantum computation can be achieved through braiding alone. This result opens new avenues for realizing fault-tolerant quantum computing in topologically ordered systems.
Similar content being viewed by others
Introduction
Topological quantum computation (TQC) has been proposed as a framework for quantum computation with the potential for scalability and fault-tolerance1,2. By encoding logical qubits in non-local topological characteristics of a system, TQC protects against decoherence arising from local interactions. Such theories rely on excitations, or quasiparticles called anyons, that can exist in 2D many-body systems. In many instances, such quasiparticles are believed to obey more exotic exchange statistics extending properties of the usual bosons and fermions. These anyons are of particular interest for topological quantum computation because they offer a robust platform for encoding and manipulating quantum information.
Transporting one anyon adiabatically around another induces a unitary transformation on the ground state Hilbert space that depends only on the path used to carry out the exchange. If this transformation is more than a simple phase, we say that the anyons are non-abelian. Systems supporting non-abelian anyons can give rise to models for quantum computation where qubits are encoded into configurations of non-abelian anyons and quantum gates are performed by braiding anyons around each other. Large classes of examples are known to provide universal quantum computation2,3.
Fractional quantum Hall (FQH) systems are a physical framework that offer a candidate platform for topological quantum computation. The fractional quantum Hall state in the second Landau level with filling fraction ν = 5/2 is the most promising two-dimensional system believed to support non-Abelian anyons. This filling fraction ν = 5/2 has been experimentally observed4, and Moore and Read5 proposed a ground state wavefunction utilizing correlators coming from conformal field theory describing the Ising model. Their work predicted that the elementary excitations of the ν = 5/2 state would be non-abelian6,7,8. This Moore-Read, or Pfaffian state9, has been found numerically to approximate the ν = 5/2 FQH state remarkably well across a wide range of microscopic interactions10,11.
The non-abelian anyons arising from the Moore-Read state are called Ising anyons since the fusion of quasiparticles obeys the chiral Ising model fusion rules5.
The anyon types consist of a fermion ψ, a σ anyon, as well as the vacuum state \({\mathbb{1}}\). The last rule implies that the fusion of two σ-anyons has two possible outcomes consisting of either the vacuum or the ψ anyon. They are promising candidates for TQC due to their large quasiparticle gap that suppresses the creation of thermal particles that can interact with the system. The nonzero electric charge of the anyons allows for electrostatic gates that are estimated to produce very low error rates12.
While Ising anyons are one of the most promising candidates to be realized experimentally, the primary obstruction to utilizing Ising anyons as a framework for TQC is that the braiding of anyons can only produce Clifford gates, and hence are not universal for quantum computation13,14. Some authors have suggested extended protocols beyond braiding alone. In15 the authors show that including topologically unprotected operations enable the Pfaffian state at ν = 5/2 to support universal quantum computation, with some operations requiring error correction. Similar results were obtained in ref. 16 utilizing short-range interactions of anyons.
Here we propose a new framework for Ising anyons that allows for universal TQC by braiding alone. This new approach arises from the well-known interplay between TQC and topological quantum field theory (TQFT)1,2,17,18. The classical paradigm connects the mathematical structure of a unitary modular tensor category used to construct TQFT with anyon models. Recently, new 2 + 1-dimensional TQFTs have been discovered that produce much more powerful topological invariants19,20,21. These are achieved by moving beyond the unitary modular tensor category (UMTC) framework by leveraging non-semisimple categories.
In previous work, the last two authors and collaborators have proposed that the heightened topological power of the non-semisimple theories may lead to more powerful models of TQC22,23. Here we show that this is the case. From the TQFT perspective, Ising anyons arise from the representation theory of the quantum group associated to \({\mathfrak{sl}}(2,{\mathbb{C}})\) with the quantum parameter \(q={e}^{\frac{\pi i}{4}}\). The construction of a UMTC from this data is somewhat subtle as it arises by first considering the category of representations and then performing a semisimplification process24,25 that throws out an infinite number of representations with so-called quantum trace zero.
The power of non-semisimple TQFT is that it bypasses the semisimplification process and harnesses the representations that would have been removed by renormalizing the quantum trace26. The result is no longer a modular tensor category in the traditional sense, but still gives rise to robust topological invariants.
The non-semisimple TQFT framework also supports anyon theories. In the case of \({\mathfrak{sl}}(2,{\mathbb{C}})\) at an eight root of unity, we obtain anyons obeying similar fusion rules to Ising anyons, except now there is a new anyon type α indexed by a real number. The symbol α denotes both the anyon type and the real number it is indexed by. Here, we show that by including just a single new anyon α, universal quantum computation can be achieved by braiding alone where the α-anyon remains fixed throughout the computation.
While the non-semisimple theories have a number of topological advantages, they possess one significant obstacle, namely, unitarity. In previous work, the last two authors along with Geer and Patureau-Mirand showed that the non-semisimple TQFTs gave rise to Hermitian theories that are unitary, but with respect to a possibly indefinite form27. Despite the indefinite unitarity in general, in this work, we give an encoding for a multiqubit model where the computational Hilbert space is positive definite and braiding alone can produce universal quantum computation. Indefinite unitarity only appears in the noncomputational space. Our single qubit Hilbert space is positive definite for certain intervals of α, and we show that braiding alone is dense in SU(2).
For multiple qubits, braiding will, in general, cause leakage into the noncomputational space. To construct low-leakage entangling gates, we follow an approach similar to refs. 28,29,30 developed in the context of Fibonacci anyons. Since two Ising type anyons fuse into two channels \(\sigma \times \sigma={\mathbb{1}}+\psi\), one of which is the vacuum, braiding a pair of σ anyons through a collection of other anyons will have no effect if they fuse to the vacuum state and will perform a nontrivial unitary transformation when in the ψ state. In this way, we can perform controlled braiding operations to entangle two qubits. Following Reichardt31, see also refs. 32,33, we give an explicit and efficient iterative procedure for constructing control phase gates with arbitrarily small leakage into the noncomputational space. These techniques do not require the Solovay-Kitaev method or brute force beyond finding initializing braids with the desired properties.
Finally, despite the global indefinite unitarity in our setting, this theory may still be physically realizable. There has been a resurgence of interest in non-Hermitian physical systems, especially within the context of topological and symmetry-protected phases. Indeed, just as the traditional TQFTs have a close connection with rational conformal field theories34, these new non-semisimple TQFTs are known to connect with logarithmic CFTs35,36,37. In the case we consider here, the relevant logarithmic vertex operator algebra is the singlet38 vertex algebra \({{\mathcal{M}}}(p)\) for \(p\in {{\mathbb{Z}}}_{\ge 2}\), which corresponds to p = 4 central charge \(c=13-6p-\frac{6}{p}\) in the relationship between quantum groups and logarithmic CFT.
Logarithmic CFTs often have a similar lack of unitarity, despite providing effective descriptions of a variety of physical phenomena such as disordered systems39, non-equilibrium processes, and boundary phenomena in statistical mechanics40,41, polymers and percolation42,43,44, and two-dimensional turbulence45.
Furthermore, while some of the known logarithmic CFTs containing Ising anyons are gapless (such as the Haldane-Rezayi fractional quantum Hall state at ν = 5/2), we see evidence that the non-semisimple theories we develop are connected to gapped theories. To see this, it is helpful to consider the strong parallels between the physical realizability of our model and that of Fibonacci anyons associated with ν = 12/5 FQH states46,47.
The standard Fibonacci anyon theory is a chiral topological phase that cannot be realized by a commuting projector Hamiltonian in strictly two dimensions48. Instead, it is typically described by an effective Hamiltonian acting on the constrained fusion Hilbert space of multiple Fibonacci anyons, where dynamics are governed by braiding and fusion rules49. In contrast, the doubled Fibonacci theory, a closely related non-chiral topological phase, can be realized microscopically as the ground state of a Levin-Wen model50,51: a gapped, commuting projector Hamiltonian defined on a 2D lattice with local degrees of freedom and topological order18.
These doubled models exhibit ground state degeneracy on higher-genus surfaces52 and support anyonic excitations with fusion and braiding governed by the Drinfeld center of the input category18,50. Mathematically, the chiral and non-chiral theories correspond to the Witten-Reshetikhin-Turaev24 and Turaev-Viro53 topological quantum field theories, respectively, with a well-understood relationship connecting them via the Drinfeld center construction50,54.
In prior work, we introduced a broad class of non-semisimple Levin-Wen models22,55 that likewise admit microscopic descriptions via gapped, local commuting projector Hamiltonians. These Hamiltonians are pseudo-Hermitian, reflecting the non-semisimplicity of the input data. Even with the indefinite norms, pseudo-Hermitian theories give rise to a real spectrum of energy eigenvalues, normalizable wave functions, and time evolution by an exponential of the Hamiltonian that is self-adjoint in the indefinite norm56.
These new non-semisimple Levin-Wen models support topological ground state degeneracy and anyonic quasiparticle excitations. However, as with the chiral (non-doubled) Fibonacci theory, the chiral phase we propose in this article does not currently have a known Hamiltonian realization. It may instead serve as an effective theory that captures the low-energy emergent degrees of freedom of a more complex microscopic model, in analogy with the effective Hamiltonian description of Fibonacci anyons49.
The Hilbert space of our theory is also closely connected with the modified boundary conditions of the open XXZ spin chain studied in57. The connection with these condensed matter models suggests that FQH states supporting the new anyon types introduced here may be realizable within existing paradigms for realizing TQC experimentally, possibly by introducing novel boundary conditions.
Results
Non-semisimple anyons
The fusion rules governing anyons in our theory are closely related to SU(2)k Chern-Simons theory at level k = 2, in which each quasiparticle has a half-integer “q-deformed" spin quantum number, or q-spin, analogous to ordinary spin. Our fusion rules arise from the unrolled quantum group for \({\mathfrak{sl}}(2,{\mathbb{C}})\) with the quantum parameter set to an eighth root of unity27. This theory contains a vacuum state \({\mathbb{1}}\), and anyon types ψ, σ of q-spin 0, 1/2, and 1, respectively, as in the Ising theory, but also possesses new ‘non-semisimple’ anyon types removed in SU(2)2 Chern-Simons theory.
The non-semisimple theory retains additional anyon types that would have been removed in the traditional semisimplification process for SU(2)2. These include new anyon types α, indexed by non-half-integer real numbers, whose q-spins are no longer restricted to have half-integer values. The Hilbert space for the theory we propose augments Ising anyons by a single α-type anyon. However, to fully understand the fusion rules and constraints on the associated F-symbols, we must also consider q-spin 3/2 and 2 particles S3/2, and P2, all of which have traditional quantum trace zero at level k = 2.
The fusion rules relevant to our encoding are given by
Observe that removing the anyon types S3/2 and P2 in the last line, as in the semisimplification procedure, results in the more familiar Ising fusion rules (1). A complete list of fusion rules can be found in ref. 21.
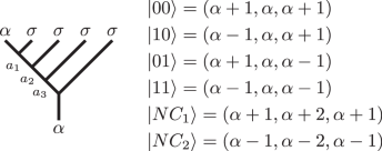
Consider the vector space \({{{\mathcal{H}}}}_{n}:={{{\mathcal{H}}}}_{\alpha ;{\sigma }^{2n}}\) consisting of a single type α-anyon and 2nσ-type anyons in a total q-spin state α. The fusion rules (2) imply that the space \({{{\mathcal{H}}}}_{n}\) is \(\left(\begin{array}{c}2n\\ n\end{array}\right)\)-dimensional and will contain our n-qubit topologically protected Hilbert space. The single qubit space \({{{\mathcal{H}}}}_{1}\) is encoded as \(\left\vert 0\right\rangle={({(\alpha,\sigma )}_{\alpha+1},\sigma )}_{\alpha }\), \(\left\vert 1\right\rangle={({(\alpha,\sigma )}_{\alpha -1},\sigma )}_{\alpha }\), where we denote the fusion of a pair of anyons ϕ and \({\phi }^{{\prime} }\) into a type t anyon using the notation \({(\phi,{\phi }^{{\prime} })}_{t}\). We can represent these states using fusion trees or by depicting the anyon labels grouped by ovals labeling the total q-spin.

Such fusion trees give rise to bases for the Hilbert space of a collection of anyons in a fixed q-spin. An alternative single qubit Hilbert space is given by the states \(\left\vert {0}^{{\prime} }\right\rangle={(\alpha,{(\sigma,\sigma )}_{{\mathbb{1}}})}_{\alpha }\), \(\left\vert {1}^{{\prime} }\right\rangle=\left.\right({(\alpha,{(\sigma,\sigma )}_{\psi })}_{\alpha }\). The change of basis between these two bases is given by the matrix of F-symbols in the theory.
For multiple qubits, we must account for the noncomputational fusion channels \(\left\vert N{C}_{1}\right\rangle={({(\alpha,\sigma )}_{\alpha+1},\sigma )}_{\alpha+2}\), \(\left\vert N{C}_{2}\right\rangle={({(\alpha,\sigma )}_{\alpha -1},\sigma )}_{\alpha -2}\). The computational basis of n qubits is encoded into the fusion of α × σ×2n by having each 0 correspond to the fusion channel α × σ → α + 1 and each 1 to α × σ → α − 1 and each (α ± 1) × σ → α as illustrated below for n = 2,

where we encode the results of fusion as tuple (a1, a2, a3).
Note that while we use three anyons (α, σ, σ) to encode a single qubit, two qubits are encoded by adding just two additional Ising anyons (α, σ, σ, σ, σ). No additional α-type anyons are required in this multi qubit encoding.
Unlike the traditional framework of topological quantum computation, the non-semisimple theory gives rise to an inner product on the Hilbert space \({{{\mathcal{H}}}}_{n}\) that is not always positive definite27. This is an inherent property of the theory. Nevertheless, there are sectors within the theory where the computational space is positive definite. For α ∈ (2, 3), the inner product from ref. 27 is definite on the single qubit Hilbert space \({{{\mathcal{H}}}}_{1}\), but indefinite unitary more generally. For example, the two qubit space \({{{\mathcal{H}}}}_{2}\) has signature (+ , + , + , + , − , +), meaning that all basis vectors from (4) have norm + 1 except \(\left\langle N{C}_{1},N{C}_{1}\right\rangle=-\!1\). Remarkably, the signature for the computational subspace is always positive definite for α ∈ (2, 3) in the multi-qubit encoding, with indefinite signature only occurring on a portion of the noncomputational space. Braiding of anyons acts on the Hilbert space \({{{\mathcal{H}}}}_{n}\) by unitary transformations with respect to the indefinite metric. In order to preserve the Hilbert space \({{{\mathcal{H}}}}_{\alpha ;{\sigma }^{n}}\), we consider only those braids that take the α-type anyon to itself. This subset of braids is called the affine braid group and can be regarded as braids that are allowed to wrap around a stable, unmoved pole in the first strand.

Introduce real coefficients
that arise when computing the inner product on the computational Hilbert space (see Section “Inner Products”). The braiding matrices are given on the computational space by
where we sometimes include the superscript to emphasize this single qubit encoding. The factors \({q}^{-\frac{3}{2}}\) and −q are global phases that were manually introduced to make the matrices special unitary.
An explicit computation shows that the matrices above satisfy the affine braid relation:
More generally, we have elementary braid generators \({{\mathsf{b}}}_{1}^{2}\), \({{\mathsf{b}}}_{2}\), …, \({{\mathsf{b}}}_{2n}\) acting on the space \({{{\mathcal{H}}}}_{n}\) with \({{\mathsf{b}}}_{i}\) swapping σ’s in position i and (i + 1) for i > 2.
Single qubit operations
Universality for single qubit operations is established by showing that braiding will produce a dense subgroup of SU(2). A standard approach from ref. 58 for showing density in SU(2) is to specify two non-commuting braids b1, b2 of infinite order.
If \(\alpha \in {\mathbb{R}}\setminus {\mathbb{Q}}\), then \({{\mathsf{b}}}_{1}^{2}\) and \({{\mathsf{b}}}_{2}\) are non-commuting and \({{\mathsf{b}}}_{1}^{2}\) has infinite order, but \({{\mathsf{b}}}_{2}\) has order four. However, \({{\mathsf{b}}}_{2}{b}_{1}{{\mathsf{b}}}_{2}^{-1}\) will have infinite order. Taking \({b}_{1}={{\mathsf{b}}}_{1}^{2}\) and \({b}_{2}={{\mathsf{b}}}_{2}{b}_{1}{{\mathsf{b}}}_{2}^{-1}\) gives two non-commuting matrices of infinite order; hence, braiding anyons for any irrational α will be dense for single qubit operations.
If \(\alpha \in {\mathbb{Q}}\), it takes more work to prove density. Here, we focus on the case \(\alpha=2+\frac{2}{5}\), where we have an explicit procedure for constructing low-leakage two-qubit entangling gates. For rational α, the braid \({({{\mathsf{b}}}_{1}^{\alpha \sigma \sigma })}^{2}\) no longer has infinite order, so we instead let \({b}_{1}=({{\mathsf{b}}}_{2}^{\alpha \sigma \sigma }){({{\mathsf{b}}}_{1}^{\alpha \sigma \sigma })}^{2}{({{\mathsf{b}}}_{2}^{\alpha \sigma \sigma })}^{2}\) and \({b}_{2}=\left({{\mathsf{b}}}_{2}^{\alpha \sigma \sigma }\right){b}_{1}{({{\mathsf{b}}}_{2}^{\alpha \sigma \sigma })}^{-1}\). b1 and b2 are not commuting, and they have infinite order if and only if b1 does. The eigenvalues of b1 at \(\alpha=2+\frac{2}{5}\) are \({e}^{\pm i(\arccos -\frac{\varphi }{\sqrt{2}})}\), where φ is the golden ratio, so this generator has infinite order as long as \(\arccos (-\frac{\varphi }{\sqrt{2}})\) is not a rational multiple of π. But all algebraic integers of order up to 4 that are twice the cosine of a rational multiple of π are classified in ref. 59. The order 4 algebraic integer \(-\sqrt{2}\,\varphi\) (a root of x4 − 6x2 + 4) is not included in the classified values. Hence, braiding of anyons is universal for single qubit operations when \(\alpha=2+\frac{2}{5}\).
From our encoding of multiple qubits, it is not immediately obvious that braiding will produce single qubit operations on each qubit in the multi-qubit space since we use just a single α-type anyon. However, by leveraging special braids acting locally on a single qubit, the proof of universality for single qubit operations above immediately extends to the multiqubit encoding, see Fig. 1.
Because the topology of this braid is such that it can slide through the result of all previous fusions, this braid does nothing to qubits appearing earlier in the fusion tree. Topologically, it is the same as a simple twist acting on a qubit lower in the fusion tree.
In the basis of the two qubit space \({{{\mathcal{H}}}}_{2}\) for α × σ×4 from (4), single qubit operations can be performed on the first qubit using the affine braid generators
Where \({{\mathsf{b}}}^{\alpha \sigma \sigma }\) refers to the matrices in (6). The single qubit operations on the second qubit can be achieved using
where J4 is the composite braid \({{\mathsf{b}}}_{3}{{\mathsf{b}}}_{2}{{\mathsf{b}}}_{1}^{2}{{\mathsf{b}}}_{2}{{\mathsf{b}}}_{3}\). The first four basis vectors from (4) span the computational space, so J4 and b4 introduce no leakage in executing single-qubit operations.
The structure of (8) and (9) simplifies the compilation of single-qubit gates in the multi-qubit setting; knowing how to implement a gate on the first qubit automatically gives us a way of implementing it on the second qubit. For example, if a sequence of powers of \(({{\mathsf{b}}}_{1}^{2})\) and \({{\mathsf{b}}}_{2}\) generates the gate U ⊗ Id, U ∈ SU(2), then the same sequence in J4 and \({{\mathsf{b}}}_{4}\) will generate the gate Id ⊗ U.
Entangling gates
Given the ability to efficiently perform single-qubit operations on any qubit, achieving universal quantum computation also requires the implementation of entangling gates and controlling the leakage into the non-computational subspace. In many approaches to topological quantum computation, density is established across the entire anyonic Hilbert space, which implies density on the computational subspace. However, the challenge then shifts to constructing entangling gates that minimize leakage into non-computational states.
In our setting, it is more challenging to establish density on the full Hilbert space. In the two qubit setting, the 6-dimensional Hilbert space \({{{\mathcal{H}}}}_{2}\) has signature (+, +, +, +, −, +) and braiding produces a subgroup of SU(5, 1). Unlike the compact group SU(6), this group of matrices preserving an indefinite form is noncompact and the classification of its subgroups is much more complex. Very few techniques have been established for proving density in this setting23,60,61.
Rather than proving density for the entire Hilbert space \({{{\mathcal{H}}}}_{n}\), here we establish density only for the computational space. Our approach combines two techniques developed in the context of Fibonacci anyons. The first is a technique to apply controlled braiding where the state of a control qubit determines if a braid is executed on a target qubit following ideas from refs. 28,29,30. Second, we have a simple and efficient procedure for finding specific braids that produce diagonal phases with arbitrarily small leakage into the noncomputational space, adapting a procedure developed by Reichardt31 to the indefinite unitary setting. Together, these two strategies produce controlled phase gates.
The protocol for implementing controlled braid operations is built off the observation that σ × σ can fuse into the vacuum \({\mathbb{1}}\), or a ψ type anyon. Thus, braiding a pair of σ anyons through other anyons will produce a trivial operation when they are in the state \({\mathbb{1}}\), and a nontrivial operation when in state ψ.

Changing basis in the control qubit to the basis \(\left\vert {0}^{{\prime} }\right\rangle={(\alpha,{(\sigma,\sigma )}_{{\mathbb{1}}})}_{\alpha }\), \(\left\vert {1}^{{\prime} }\right\rangle=\left.\right({(\alpha,{(\sigma,\sigma )}_{\psi })}_{\alpha }\) (see Fig. 2), we give braids that act as the identity when the control channel is \({\mathbb{1}}\) and nontrivially when it is ψ. The gate implemented by this protocol is, by definition, a controlled gate in this basis. Transforming back to the original basis maintains the entanglement.
The first two σ-type anyons form the control pair. Braiding the pair through the other anyon types creates a controlled braiding operation that only acts nontrivially if the control pair fuses into the ψ channel. The subspace \({{{\mathcal{H}}}}_{2}^{\psi }\) consisting of states where the control qubit is in state ψ has basis given by the last four basis vectors that we denote by \(\left\vert {\psi }_{0}\right\rangle\), \(\left\vert {\psi }_{1}\right\rangle\), \(\left\vert {\psi }_{2}\right\rangle\), \(\left\vert {\psi }_{3}\right\rangle\).
For controlled braiding to entangle the computational space, we must identify low-leakage braids acting on the Hilbert space \({{{\mathcal{H}}}}_{2}^{\psi }\) corresponding to the anyon configuration (α, ψ, σ2) in a total q-spin state α. We focus on braids that preserve this space and become topologically trivial when ψ is replaced by the vacuum \({\mathbb{1}}\). Fix a basis of \({{{\mathcal{H}}}}_{2}^{\psi }\) consisting of the last four basis elements in Fig. 2 containing the fusion of σσ into a ψ state. We denote these by \(\left\vert {\psi }_{0}\right\rangle\), \(\left\vert {\psi }_{1}\right\rangle\), \(\left\vert {\psi }_{2}\right\rangle \left\vert {\psi }_{3}\right\rangle\), noting that \(\left\vert {\psi }_{0}\right\rangle\) and \(\left\vert {\psi }_{3}\right\rangle\) span the noncomputational space.
Our strategy to obtain low-leakage gate acting on \({{{\mathcal{H}}}}_{2}^{\psi }\) is to start with a gate w = U ⊕ V in SU(2) × SU(1, 1) and perform a sequence of braids to suppress the off-diagonal entries so that the resulting gate approximates a diagonal with a nontrivial phase on the computational subspace. Here SU(2) acts on the space spanned by \(\left\vert {\psi }_{0}\right\rangle\), \(\left\vert {\psi }_{1}\right\rangle\), and SU(1, 1) acts on the space spanned by \(\left\vert {\psi }_{2}\right\rangle\) and \(\left\vert {\psi }_{3}\right\rangle\), where \(\left\vert {\psi }_{1}\right\rangle\) and \(\left\vert {\psi }_{2}\right\rangle\) span the computational space.
For matrices U ∈ SU(2), Reichardt gave a procedure for leveraging a specific diagonal matrix \({D}_{(2)}=\left(\begin{array}{cc}{e}^{\frac{i3\pi }{5}}&0\\ 0&1\\ \end{array}\right)\) to produce a sequence of unitaries Uk whose off-diagonal entries decrease exponentially [ref. 31, Eq. 3]. Reichardt used a slightly different definition of D(2), although the procedure works the same. The recursive sequence is given as follows:
One computes that the off-diagonal entries satisfy ∣〈0∣Uk+1∣1〉∣ = ∣〈0∣Uk∣1〉∣5, and hence that \(| \langle 0| {U}_{k}| 1\rangle |=| \langle 0| U| 1\rangle {| }^{{5}^{k}}\). For unitary matrices, the off-diagonal entries are less than or equal to 1, so iterating this procedure suppresses the off-diagonal entries to arbitrary accuracy. Note that, even though the sequence in (10) has an exponential length in k, the off-diagonal terms go to zero doubly exponentially. While it is not possible to control the phases of the resulting diagonal matrix, one can still use the algorithm to produce entangling gates62.
Recall that matrices V in SU(1, 1) have unit determinant and satisfy V†JV = J where \(J=\left(\begin{array}{cc}1&0\\ 0&-1\\ \end{array}\right)\). The general form of such a matrix is \(V=\left(\begin{array}{cc}\alpha &\beta \\ {\beta }^{*}&{\alpha }^{*}\\ \end{array}\right)\) where ∣α∣2 − ∣β∣2 = 1. Unlike the case of SU(2), the off-diagonal entries β need not have a norm less than or equal to 1, so Reichardt’s algorithm does not immediately apply. However, for V ∈ SU(1, 1) and \({D}_{(1,1)}=\left(\begin{array}{cc}1&0\\ 0&{e}^{\frac{i3\pi }{5}}\\ \end{array}\right)\), and setting
a direct computation shows that ∣〈0∣Vk+1∣1〉∣ = ∣〈0∣Vk∣1〉∣5. Thus, if V can be found with ∣〈0∣V∣1〉∣ < 1, Reichardt’s algorithm will produce a sequence of matrices in SU(1, 1) with exponentially suppressed off-diagonal terms.
Combining these two constructions, for D = D(2) ⊕ D(1, 1), and W = U ⊕ V ∈ SU(2) ⊕ SU(1, 1), the recursive sequence
then in the ordered basis \(\{\left\vert {\psi }_{0}\right\rangle,\left\vert {\psi }_{1}\right\rangle,\left\vert {\psi }_{2}\right\rangle,\left\vert {\psi }_{3}\right\rangle \}\) we have \(| \langle {\psi }_{0}| {W}_{k}| {\psi }_{1}\rangle |=| \langle {\psi }_{0}| W| {\psi }_{1}\rangle {| }^{{5}^{k}}\) and \(| \langle {\psi }_{2}| {W}_{k}| {\psi }_{3}\rangle |=| \langle {\psi }_{2}| W| {\psi }_{3}\rangle {| }^{{5}^{k}}\). In particular, if ∣〈ψ0∣W∣ψ1〉∣ < 1 and ∣〈ψ2∣W∣ψ3〉∣ < 1, this recursive sequence produces reduced leakage into the noncomputational space.
This is where our specific choice α = 2 + 2/5 enters our analysis. For this value of α, a direct computation shows that \({({{\mathsf{b}}}_{1}^{\alpha \psi \sigma \sigma })}^{4}={D}_{(2)}\oplus {D}_{(1,1)}\). It remains to identify a braid W of the form W = U ⊕ V that is topologically trivial when the strand labeled ψ is removed and has small leakage term ∣〈ψ2∣W∣ψ3〉∣ < 1. One candidate braid is \({\left({{\mathsf{b}}}_{2}^{\alpha \psi \sigma \sigma }\right)}^{2}\) but when α = 2 + 2/5, \({\left({{\mathsf{b}}}_{2}^{\alpha \psi \sigma \sigma }\right)}^{2}\) has non unitary leakage ∣〈ψ0∣W∣ψ1〉∣ ~ 1.943 > 1. Another candidate is the restriction of the braid \(W:={\left({{\mathsf{b}}}_{2}^{\alpha \psi \sigma \sigma }\right)}^{2}{\left({{\mathsf{b}}}_{1}^{\alpha \psi \sigma \sigma }\right)}^{2}{\left({{\mathsf{b}}}_{2}^{\alpha \psi \sigma \sigma }\right)}^{2}{\left({{\mathsf{b}}}_{1}^{\alpha \psi \sigma \sigma }\right)}^{2}{\left({{\mathsf{b}}}_{2}^{\alpha \psi \sigma \sigma }\right)}^{-2}\) from Fig. 3 to the four-dimensional space \({{{\mathcal{H}}}}_{2}^{\psi }\); it has the form W = U ⊕ V, where U ∈ SU(2) and V ∈ SU(1, 1) and acts as the identity if the control channel is in the vacuum state.
The braids W and D. Note that if the control strand (green) is the vacuum, the braids are topologically trivial.
W has leakage terms ∣〈ψ0∣W∣ψ1〉∣ ~0.832 < 1 and ∣〈ψ2∣W∣ψ3〉∣ ~0.904 < 1, ensuring the convergence of Reichardt’s procedure. When said procedure is applied once, the non-unitary leakage term’s norm is brought down to ~0.399. A second iteration reduces it to ~0.101. Braids with lower overhead can be found through a bruteforce search:
has initial unitary and non-unitary leakage terms with norms ~0.286 and ~0.285, respectively; these norms both reduce to ~1.914 × 10−3 upon applying Reichardt’s prescription once, and to 2.565 × 10−14 after a second application. This modification of Reichardt’s algorithm produces an approximate diagonal, non-leaking gate. We just have to verify that it doesn’t act like (a multiple of) the identity on the computational space. This is easy to verify numerically; analyzing the third iteration of Reichardt’s sequence (12) with starting braid W, we see that the diagonal gate acts on the computational space as diag\(({e}^{i{\theta }_{1}},{e}^{i{\theta }_{2}})\) where θ1 ~ −1.772 and θ2 ~ −1.682. The doubly exponential convergence rate ensures that further iterations will not meaningfully change these values62.
Discussion
We have demonstrated that the new theories of non-semisimple TQFTs can offer more powerful models for topological quantum computation compared to traditional approaches based on semisimple theories. Specifically, we showed that the non-semisimple SU(2)2 theory can serve as a universal model for quantum computation through braiding alone, whereas the more familiar semisimple SU(2)2 theory of Ising anyons is not capable of achieving universality through braiding alone.
The passage from semisimple to non-semisimple TQFTs presents new challenges associated with indefinite unitarity of the inner products on the anyonic Hilbert spaces. We demonstrated that this obstacle can be overcome by producing an anyon encoding where the computational Hilbert space has a positive definite inner product and the indefiniteness of the inner product is constrained to the noncomputational space. Further, we adapted an algorithm of Reichardt to produce a simple iterative approach to producing low leakage entangling gates.
As with any theory of topological quantum computation, its physical relevance depends on identifying physical models that support nonabelian quasiparticles. We have argued that, much like the promising outlook for traditional SU(2)k anyon theories within fractional quantum Hall systems, our approach is similarly motivated by the success of conformal field theories in providing effective descriptions of such systems. The theories presented here have a close connection to logarithmic conformal field theories and show potential for realization within condensed matter systems, offering a pathway for discovering new, physically viable platforms for topological quantum computation already at the ν = 5/2 filling fraction.
In future work, we plan to extend the values of α that produce universal computation. Producing low-leakage entangling gates will require new techniques, as Reichardt’s algorithm does not readily generalize. It is possible that some variant of the injection weave from refs. 29,30 can be adapted. Further, it will be advantageous to develop new methods for proving density in the indefinite unitary group to establish density on the full anyonic Hilbert space \({{{\mathcal{H}}}}_{n}\), rather than just the protected computational subspace. As it is likely that the full Hilbert space of such theories will be indefinite unitary, developing an analogous variant of the Solvey–Kitaev algorithm for noncompact groups SU(n, m) will also be important.
Finally, here we used the mapping class group of points on a disc to construct our computational model. To address the question of anyons on more general surfaces, one would need to adapt the spin 3-manifold invariant in ref. 63 to a full TQFT.
Methods
This section compiles the numerical data of our states and unitary braid operators. These are encoded using the categorical data organized in a general framework called non-semisimple modular categories. A primary example is the category of finite-dimensional representations over the restricted unrolled quantum group with the quantum parameter set to a root of unity. Our framework focuses on this category for the case of \({\mathfrak{sl}}(2,{\mathbb{C}})\) with the quantum parameter specialized at an eighth root of unity.
Modified quantum dimensions
In the traditional approach to topological quantum computing, representations with quantum dimension zero, or negligible representations, are removed to form a semisimple category with a finite number of anyon types. The new non-semisimple technology leverages these previously ‘negligible’ representations to form new anyon types, the α-type anyons studied here. Given that the ‘negligible’ representations now play a prominent role in non-semisimple TQFT and our construction of universal topological quantum computation, these previously neglected new anyon types might appropriately be called neglectons.
The main technology used to resurrect the α anyon type is the renormalization of the quantum trace. This renormalization gives rise to a notion of the modified quantum dimensions. For the α anyon type appearing in our framework, the usual quantum dimensions and the modified quantum dimensions, respectively, are
Fusion
The fusion rules for the α anyon type when the real parameter is \(\alpha \in {\mathbb{R}}\setminus {\mathbb{Z}}\) are given in (2). The fusion rules for when \(\alpha \in {\mathbb{Z}}\) are more complicated, and we do not address them in this paper. The σ and ψ anyon types appearing in our framework admit the following fusion rules
Notice that these fusion rules are an augmentation to the chiral Ising model fusion rules (1), where fusing ψ × ψ and ψ × σ now involve an additional anyon type, P2 and S3/2, respectively, of quantum trace zero. These anyons with quantum trace zero are removed during the semisimplification procedure used to get the standard theory of Ising anyons.
We define the fusion coefficients\({N}_{ab}^{c}:=\dim {(a,b)}_{c}\) as the multiplicity of the anyon type c appearing after fusing a × b. We say the labels (a, b, c) are admissible if \({N}_{ab}^{c}\,\ne\, 0\). These fusion coefficients \({N}_{ab}^{c}\) determine the admissibly of labeled trivalent fusion trees representing basis vectors in the local Hilbert spaces

In our conventions, time travels upward. We assume all fusion trees are admissibly labeled and read from bottom to top.
Inner products
As a convention here, we take merge to be the dagger of split (15).

The definition of the dagger is explained in ref. 27.
The inner product of basis vectors (3) can be computed using the identity expressed in (17), known as bubble pops.

The following values are the bubble pop data that appear in our encoding.
These bubble pops are used to calculate the inner product on the computational space. For example,

where Bα±1 are given by (5). The inner product \(\left\langle \cdot,\cdot \right\rangle\) on \({{{\mathcal{H}}}}_{1}\) is defined as

where x1, x2 ∈ {α ± 1}.
More generally, the inner product on \({{{\mathcal{H}}}}_{n}\) can be computed by composing basis vectors with their adjoints and reducing to a multiple of a straight line using (17) and multiplying the result by the modified dimension dα and an overall sign. We can thus deduce that a computational n-qubit state \(\left\vert \phi \right\rangle\) with n0 0s (corresponding to α + 1) and n1 1s (corresponding to α − 1) will have an inner product given by
Since Bα±1 are negative for α ∈ (2, 3), we see that the computational space is always positive-definite. The factor of (−1)n+1 comes from the fact that we multiply the Hermitian form by (−1) for an even number of qubits.
F-moves
The 6j-symbols\({({F}_{d}^{abc})}_{nm}\), also commonly referred to as the F-symbols, provide a change-of-basis between two fusion trees as shown in (21).

Compatibility of the F-symbols require them to satisfy the pentagon equation
We compile the F-symbols relevant to braiding in our encoding. Note that to verify (22), one needs F-symbols involving the anyons S3/2 and P2. First, we list the two one-dimensional data
For the 2 × 2 F-matrices, one can compute the corresponding normalizedF-symbol using the following formula
where the scalar involving bubble pops \(\frac{\sqrt{{B}_{d}^{an}}\sqrt{{B}_{n}^{bc}}}{\sqrt{{B}_{d}^{mc}}\sqrt{{B}_{m}^{ab}}}\) applied to each matrix entry appropriately normalizes the matrix \({\tilde{F}}_{d}^{abc}\). These matrices are not manifestly (pseudo) unitary unless they are normalized.
Braiding
The effect of exchanging two anyon types is determined from the R-move shown below.

The R-symbols are given as follows
where
and
Data availability
All the relevant data is presented within the manuscript.
References
Kitaev, A. Fault-tolerant quantum computation by anyons. Ann. Phys. 303, 2–30 (2003).
Freedman, M., Kitaev, A., Larsen, M. & Wang, Z. Topological quantum computation. Bull. Am. Math. Soc. 40, 31–38 (2003).
Freedman, M., Larsen, M. & Wang, Z. The two-eigenvalue problem and density of Jones representation of braid groups. Comm. Math. Phys. 228, 177–199 (2002).
Willett, R. et al. Observation of an even-denominator quantum number in the fractional quantum Hall effect. Phys. Rev. Lett. 59, 1776–1779 (1987).
Moore, G. & Read, N. Nonabelions in the fractional quantum hall effect. Nucl. Phys. B 360, 362–396 (1991).
Nayak, C. & Wilczek, F. 2n-quasihole states realize 2n−1-dimensional spinor braiding statistics in paired quantum Hall states. Nucl. Phys. B 479, 529–553 (1996).
Bonderson, P., Gurarie, V. & Nayak, C. Plasma analogy and non-abelian statistics for Ising-type quantum Hall states. Phys. Rev. B 83, 075303 (2011).
Tserkovnyak, Y. & Simon, S. Monte Carlo evaluation of non-abelian statistics. Phys. Rev. Lett. 90, 016802 (2003).
Greiter, M., Wen, X. & Wilczek, F. Paired Hall states. Nucl. Phys. B 374, 567–614 (1992).
Morf, R. Transition from quantum hall to compressible states in the second Landau level: new light on the ν = 5/2 enigma. Phys. Rev. Lett. 80, 1505–1508 (1998).
Rezayi, E. & Haldane, F. Incompressible paired Hall state, stripe order, and the composite fermion liquid phase in half-filled Landau levels. Phys. Rev. Lett. 84, 4685–4688 (2000).
Sarma, S. D., Freedman, M. & Nayak, C. Topologically protected qubits from a possible non-abelian fractional quantum hall state. Phys. Rev. Lett. 94, 166802 (2005).
Bravyi, S. & Kitaev, A. Fermionic quantum computation. Ann. Phys. 298, 210–226 (2002).
Freedman, M., Larsen, M. & Wang, Z. A modular functor which is universal for quantum computation. Comm. Math. Phys. 227, 605–622 (2002).
Freedman, M., Nayak, C. & Walker, K. Towards universal topological quantum computation in the \(\nu=\frac{5}{2}\) fractional quantum hall state. Phys. Rev. B 73, 245307 (2006).
Bravyi, S. Universal quantum computation with the \(\nu=\frac{5}{2}\) fractional quantum hall state. Phys. Rev. A 73, 042313 (2006).
Gils, C. et al. Topology-driven quantum phase transitions in time-reversal-invariant anyonic quantum liquids. Nat. Phys. 5, 834–839 (2009).
Levin, M. & Wen, X. String-net condensation: a physical mechanism for topological phases. Phys. Rev. B 71, 045110 (2005).
Costantino, F., Geer, N. & Patureau-Mirand, B. Quantum invariants of 3-manifolds via link surgery presentations and non-semi-simple categories. J. Topol. 7, 1005–1053 (2014).
Blanchet, C., Costantino, F., Geer, N. & Patureau-Mirand, B. Non semi-simple TQFTs, reidemeister torsion and Kashaev’s invariants. Adv. Math. 301, 1–78 (2016).
Costantino, F., Geer, N. & Patureau-Mirand, B. Some remarks on the unrolled quantum group of \({\mathfrak{sl}}(2)\). J. Pure Appl. Algebra 219, 3238–3262 (2015).
Geer, N., Lauda, A., Patureau-Mirand, B. & Sussan, J. Pseudo-Hermitian Levin-Wen models from non-semisimple TQFTs. Ann. Phys. 442,33 (2022).
Geer, N., Lauda, A., Patureau-Mirand, B. & Sussan, J. Density and unitarity of the Burau representation from a non-semisimple TQFT. Preprint at https://arXiv.org/abs/2402.13242 (2024).
Reshetikhin, N. & Turaev, V. Invariants of 3-manifolds via link polynomials and quantum groups. Invent. Math. 103, 547–597 (1991).
Sawin, S. F. Quantum groups at roots of unity and modularity. J. Knot Theory Ramif. 15, 1245–1277 (2006).
Geer, N., Kujawa, J. & Patureau-Mirand, B. Generalized trace and modified dimension functions on ribbon categories. Sel. Math. (N. S.) 17, 453–504 (2011).
Geer, N., Lauda, A., Patureau-Mirand, B. & Sussan, J. A Hermitian TQFT from a non-semisimple category of quantum \({\mathfrak{sl}}(2)\)-modules. Lett. Math. Phys. 112, 74 (2022).
Hormozi, L., Zikos, G., Bonesteel, N. & Simon, S. Topological quantum compiling. Phys. Rev. B 75, 165310 (2007).
Simon, S., Bonesteel, N., Freedman, M., Petrovic, N. & Hormozi, L. Topological quantum computing with only one mobile quasiparticle. Phys. Rev. Lett. 96, 070503 (2006).
Bonesteel, N., Hormozi, L., Zikos, G. & Simon, S. Braid topologies for quantum computation. Phys. Rev. Lett. 95, 140503 (2005).
Reichardt, B. Systematic distillation of composite Fibonacci anyons using one mobile quasiparticle. Quantum Inf. Comput. 12, 876–892 (2012).
Cui, S., Tian, K., Vasquez, J., Wang, Z. & Wong, H. The search for leakage-free entangling Fibonacci braiding gates. J. Phys. A 52, 455301, 14 (2019).
Griffin, C. & Cui, S. X. Constructing approximately diagonal quantum gates. Int. J. Quantum Inf. 20, Paper No. 2250025, 34 (2022).
Witten, E. Quantum field theory and the Jones polynomial. Comm. Math. Phys. 121, 351–399 (1989).
Gainutdinov, A., Semikhatov, A., Tipunin, I. & Feigin, B. The Kazhdan-Lusztig correspondence for the representation category of the triplet W-algebra in logorithmic conformal field theories. Teor. Mat. Fiz. 148, 398–427 (2006).
Creutzig, T., Milas, A. & Rupert, M. Logarithmic link invariants of \({\overline{U}}_{q}^{H}({{\mathfrak{sl}}}_{2})\) and asymptotic dimensions of singlet vertex algebras. J. Pure Appl. Algebra 222, 3224–3247 (2018).
Negron, C. Log-modular quantum groups at even roots of unity and the quantum Frobenius I. Comm. Math. Phys. 382, 773–814 (2021).
Adamović, D. Classification of irreducible modules of certain subalgebras of free boson vertex algebra. J. Algebra 270, 115–132 (2003).
Maassarani, Z. & Serban, D. Non-unitary conformal field theory and logarithmic operators for disordered systems. Nucl. Phys. B 489, 603–625 (1997).
Saleur, H. Polymers and percolation in two dimensions and twisted N = 2 supersymmetry. Nucl. Phys. B 382, 486–531 (1992).
Rozansky, L. & Saleur, H. Quantum field theory for the multi-variable Alexander-Conway polynomial. Nucl. Phys. B 376, 461–509 (1992).
Saleur, H. & Duplantier, B. Exact determination of the percolation hull exponent in two dimensions. Phys. Rev. Lett. 58, 2325–2328 (1987).
Flohr, M. On modular invariant partition functions of conformal field theories with logarithmic operators. Int. J. Mod. Phys. A 11, 4147–4172 (1996).
Camia, F. & Feng, Y. Logarithmic correlation functions in 2D critical percolation. J. High Energy Phys. 2024, 103 (2024).
Tabar, M. R. R. & Rouhani, S. A logarithmic conformal field theory solution for two dimensional magnetohydrodynamics in presence of The Alf’ven effect. Europhys. Lett. 37, 447 (1997).
Read, N. & Rezayi, E. Beyond paired quantum hall states: parafermions and incompressible states in the first excited Landau level. Phys. Rev. B 59, 8084–8092 (1999).
Slingerland, J. & Bais, F. Quantum groups and non-abelian braiding in quantum hall systems. Nucl. Phys. B 612, 229–290 (2001).
Kitaev, A. & Kong, L. Models for gapped boundaries and domain walls. Commun. Math. Phys. 313, 351–373 (2012).
Nayak, C., Simon, S., Stern, A., Freedman, M. & Sarma, S. D. Non-abelian anyons and topological quantum computation. Rev. Mod. Phys. 80, 1083–1159 (2008).
Koenig, R., Kuperberg, G. & Reichardt, B. Quantum computation with Turaev-Viro codes. Ann. Phys. 325, 2707–2749 (2010).
Simon, S. H. Topological Quantum (Oxford University Press, 2023).
Hu, Y., Stirling, S. & Wu, Y. Ground-state degeneracy in the Levin-Wen model for topological phases. Phys. Rev. B 85, 075107 (2012).
Turaev, V. & Viro, O. State sum invariants of 3-manifolds and quantum 6j-symbols. Topology 31, 865–902 (1992).
Turaev, V. Quantum Invariants of Knots and 3-Manifolds, vol. 18 of De Gruyter Studies in Mathematics. Third edition [of MR1292673] (De Gruyter, Berlin, 2016).
Geer, N., Lauda, A., Patureau-Mirand, B. & Sussan, J. Non-semisimple Levin-Wen models and Hermitian TQFTs from quantum (super)groups. J. Lond. Math. Soc. 109, e12853 (2024).
Mostafazadeh, A. Pseudo-Hermitian representation of quantum mechanics. Int. J. Geom. Methods Mod. Phys. 07, 1191–1306 (2010).
Chernyak, D., Gainutdinov, A. & Saleur, H. \({U}_{{\mathfrak{q}}}{{\mathfrak{sl}}}_{2}\)-invariant non-compact boundary conditions for the XXZ spin chain. J. High. Energy Phys. 2022, 16 (2022).
Aharonov, D. & Ben-Or, M. Fault-tolerant quantum computation with constant error rate. SIAM J. Comput. 38, 1207–1282 (2008).
Tangsupphathawat, P. Algebraic trigonometric values at rational multipliers of π. Acta Comment. Univ. Tartu. Math. 18, 9–18 (2014).
Aharonov, D. & Arad, I. The BQP-hardness of approximating the Jones Polynomial. N. J. Phys. 13, 035019 (2011).
Kuperberg, G. Denseness and Zariski denseness of Jones braid representations. Geom. Topol. 15, 11–39 (2011).
Carnahan, C., Zeuch, D. & Bonesteel, N. Systematically generated two-qubit anyon braids. Phys. Rev. A 93, 052328 (2016).
Blanchet, C., Costantino, F., Geer, N. & Patureau-Mirand, B. Non semi-simple \({\mathfrak{sl}}(2)\) quantum invariants, spin case. Acta Math. Vietnam. 39, 481–495 (2014).
Acknowledgements
The authors are grateful to Bertrand Patureau-Mirand, Hubert Saleur, Zhenghan Wang, and Paolo Zanardi for helpful conversations related to this project. A.D.L., F.I., and S.K. are partially supported by NSF grants DMS-1902092 and DMS-2200419, the Army Research Office W911NF-20-1-0075, and the Simons Foundation collaboration grant on New Structures in Low-Dimensional Topology. S.K. is supported by the NSF Graduate Research Fellowship DGE-1842487. J.S. is partially supported by the NSF grant DMS-2401375, a Simons Foundation Travel Support Grant and PSC CUNY Enhanced Award 66685-00 54.
Author information
Authors and Affiliations
Contributions
F.I., S.K., J.S., and A.D.L. performed the research and wrote the manuscript.
Corresponding author
Ethics declarations
Competing interests
The authors declare no competing interests.
Peer review
Peer review information
Nature Communications thanks Shawn Xingshan Cui and the other, anonymous, reviewers for their contribution to the peer review of this work. A peer review file is available.
Additional information
Publisher’s note Springer Nature remains neutral with regard to jurisdictional claims in published maps and institutional affiliations.
Supplementary information
Rights and permissions
Open Access This article is licensed under a Creative Commons Attribution-NonCommercial-NoDerivatives 4.0 International License, which permits any non-commercial use, sharing, distribution and reproduction in any medium or format, as long as you give appropriate credit to the original author(s) and the source, provide a link to the Creative Commons licence, and indicate if you modified the licensed material. You do not have permission under this licence to share adapted material derived from this article or parts of it. The images or other third party material in this article are included in the article’s Creative Commons licence, unless indicated otherwise in a credit line to the material. If material is not included in the article’s Creative Commons licence and your intended use is not permitted by statutory regulation or exceeds the permitted use, you will need to obtain permission directly from the copyright holder. To view a copy of this licence, visit http://creativecommons.org/licenses/by-nc-nd/4.0/.
About this article
Cite this article
Iulianelli, F., Kim, S., Sussan, J. et al. Universal quantum computation using Ising anyons from a non-semisimple topological quantum field theory. Nat Commun 16, 6408 (2025). https://doi.org/10.1038/s41467-025-61342-8
Received:
Accepted:
Published:
Version of record:
DOI: https://doi.org/10.1038/s41467-025-61342-8





