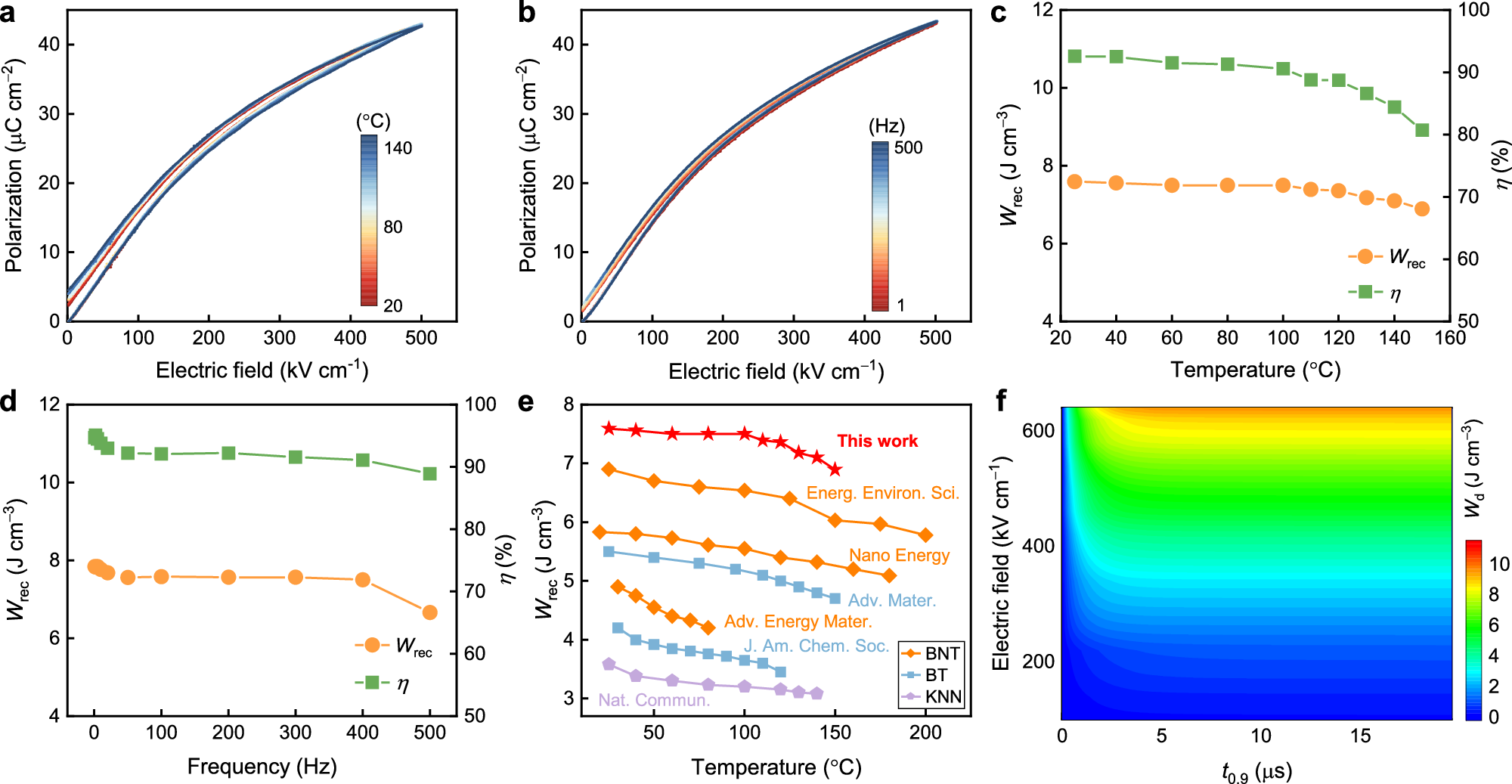
Fig. 6: Stability and reliability of SMT ceramics.
From: Engineering relaxors by embedding ultra-weak polar regions for superior energy storage

a P-E loops of SMT ceramics over a temperature range of 25 − 150 °C. b P-E loops of SMT ceramics over a frequency range of 1 − 500 Hz. c, d Wrec and η values of SMT ceramics at various temperatures and frequencies. e Comparison of temperature stability of Wrec between this work and others. f Charge-discharge characteristics of SMT ceramics at different electric field strengths.