Abstract
Dielectric capacitors with excellent energy storage performance are essential for advanced electronic systems. Nonetheless, achieving high recoverable energy storage density (Wrec) and efficiency (η) remains highly challenging. Here, we propose a strategy of embedding ultra-weak polar regions in the strong polar fluctuation matrix to achieve substantial enhancements of energy storage properties, which is successfully verified by preparing heterogeneous relaxors using tape-casting. Phase-field simulations confirm a fast response and recovery of polarization in this unique heterogeneity. Accordingly, the hysteresis is virtually eliminated while realizing high breakdown field strength (Eb) and high polarization. The appropriately fined grain size also contributes to enhancing Eb. Hence, a giant Wrec of 13.2 J cm−3 and an ultra-high η of 92.5 % are achieved, superior to other relaxors prepared by the tape-casting/repeated rolling process methods to date. This work provides a viable practical paradigm for the development of high-performance relaxors for capacitors.
Similar content being viewed by others
Introduction
Dielectric capacitors, owing to their high-power density, fast charging and discharging rates, and excellent energy storage reliability, have broad application prospects in electronic products and electrical power systems1. However, the rapid development of electronic components towards miniaturization and integration has raised higher demands for the energy storage capacity of capacitors. Consequently, there is an urgent need to develop high-performance energy storage dielectrics to meet the requirements of high-end capacitors2,3.
The energy storage of dielectric capacitors is achieved through the field-induced polarization of the dielectrics. The energy storage density and efficiency (η) of dielectric materials can be calculated using the following formulas4,5:
where Wrec, Wloss, Pmax, Pr, and E represent recoverable energy storage density, loss energy storage density, maximum polarization, remnant polarization, and electric field, respectively6,7. Generally, achieving excellent energy storage performance requires dielectric materials with an excellent polarization response, high breakdown strength (Eb), and low hysteresis (i.e., low energy consumption). Nevertheless, these parameters are strongly interdependent, posing significant challenges for simultaneous optimization. Relaxor ferroelectrics with tunable domain configurations have attracted much attention because of their enormous potential for energy storage applications. It is recognized that polar nanoregions (PNRs) are crucial for obtaining excellent energy storage performance, as Pmax and Pr are strongly influenced by the size of the PNRs and their dynamics8,9. Consequently, grain engineering10 and composition strategy (including superparaelectric design11, defect engineering12,13, and high-entropy engineering14,15,16) have been extensively investigated to regulate PNRs and their dynamics. Nevertheless, despite remarkable progress in Wrec values, a distinct hysteresis remains, resulting in universally low η values (i.e., <90%).
By analyzing previous studies, it is found that the core obstacle to the co-elevation of Wrec (>12 J cm−3) and η (>90%) is the difficulty of precisely modulating PNRs, no matter the composition strategy or the grain engineering. Specifically, for composition strategy, foreign ions (i.e., different from those of the ceramic matrix) are necessarily added to refine the size of PNRs to construct local polymorphism and lower the polarization switching energy barrier. However, despite the size refinement of PNRs, excessive doping severely deteriorates polarization, leading to a serious sacrifice of Pmax. Moreover, some foreign ions are ineffective in enhancing the local structural disorder, making the polarization switching of PNRs still time- and energy-consuming17,18,19. The grain engineering reduces the size of PNRs by significantly refining the grains in the expectation of achieving delayed polarization saturation. However, the electrical breakdown of most materials is not sufficient to achieve polarization saturation, resulting in unsatisfactory comprehensive energy storage performance. Therefore, the synergistic enhancement of Pmax and η is extremely challenging. Recently, heterogeneous structures, which combine a high Pmax component with a high Eb component, have shown great advantages in optimizing energy storage properties20,21. Unfortunately, the limited flexibility for microstructural tuning makes high Eb components accumulate at grain boundaries and triple junctions (instead of being homogeneously embedded within the grains), exacerbating the electric field concentration.
Herein, we propose a strategy of embedding the ultra-weak polar regions into the strong polar fluctuation matrix to achieve excellent energy storage performance (Fig. 1). The ultra-weak polar region is aimed to achieve ultra-low hysteresis (i.e., a high η), while the strong polar fluctuation matrix is designed to obtain high Pmax. Phase-field simulations confirm that this unique polarization configuration can achieve Pmax and suppress hysteresis. In addition, the grain size is appropriately refined through tape-casting to further improve the Eb, thereby synergistically achieving excellent energy storage performance. To realize this strategy, Bi0.94Na0.94Ba0.06TiO3 (BNBT) with high Pmax is chosen as the original substrate22. Notably, some studies have revealed that ions with strong ionicity (e.g., Sm3+ and Sr2+) readily segregated in perovskite-structured piezoceramics at a high doping concentration23,24. Then, we judiciously introduce appropriate concentrations of A-site (Sr2+) and B-site (Mg2+ and Ta5+) ions with different ferroelectric activities into BNBT (i.e., 0.86Bi0.94Na0.94Ba0.06TiO3-0.14 Sr(Mg1/3Ta2/3)O3, SMT), with the purpose of forming compositional segregation and fragmenting the original domain structure25. The segregated Sr2+ contributes to the formation of ultra-weak polar regions, which in turn facilitate strong polar fluctuation in the surrounding matrix. Encouragingly, benefiting from such a unique polarization configuration, we simultaneously obtain a giant Wrec of 13.2 J cm−3 and an ultrahigh η of 92.5%, surpassing the performance of other relaxor ferroelectrics fabricated via the tape-casting or repeated rolling process. Moreover, we conduct multi-scale structural characterizations to reveal the physical mechanism of the enhanced energy storage performance.
a A heterostructure with ultra-weak polar regions (SMT-W) embedded in the strong polar fluctuation (SMT-S) matrix is formed through the segregation of Sr2+ with strong ionicity. Then, in combination with the tape-casting used to appropriately reduce grain size, our strategy can synergistically enhance energy storage performance. b Phase-field simulations the variation of the heterostructure with the electric field. The results confirm that this unique polarization configuration has fast response and recovery, enabling high Pmax and suppressing hysteresis.
Results and discussion
For BNBT, the X-ray diffraction (XRD) patterns conform to a perovskite structure, while SMT primarily exhibits a perovskite structure with a small amount of impurity phase (Supplementary Fig. S1). The (111) and (200) diffraction peaks are used to determine the symmetries of BNT-based ceramics26. Split (200) and (111) peaks in BNBT ceramics indicate coexisting rhombohedral (R3c, R) and tetragonal (P4bm, T) phases (Fig. 2a)27. In contrast, both (200) and (111) peaks of SMT ceramics are singlets, demonstrating a pseudocubic structure. The foreign ions (i.e., Sr2+, Mg2+, and Ta5+) induce the locally random electric fields and thus lead to a transition from a long-range correlation to a short-range correlation. The Rietveld refinements reveal coexisting R and T phases in both BNBT and SMT ceramics, and the T phase content of SMT ceramics is much higher than that of BNBT ceramics (Fig. 2b, c and Supplementary Table S1). Selected area electron diffraction (SAED) patterns demonstrate 1/2(ooe) and 1/2(ooo) (o and e represent the odd and even numbers, respectively) superlattice spots in SMT ceramics, further proving the coexistence of R and T phases, respectively (Fig. 2d, e)28. The dominant T phase favors the low hysteresis in ferroelectric hysteresis (P-E) loops29. Besides, SMT ceramics show fewer pores and smaller grains than BNBT ceramics, resulting in an average grain size (Gave) of 0.79 μm for SMT ceramics (Fig. 2f–i). Moreover, the reduced grain size and dense microstructure achieved via tape-casting are well aligned with our design goals, providing not only a significant improvement in Eb but also a synergistic increase in overall dielectric energy storage performance.
a Enlarged XRD patterns of BNBT and SMT ceramics, and (b, c) corresponding Rietveld refinements. d, e SAED patterns of SMT ceramics along [001]c and [112]c directions. f, g Polished and thermally-etched SEM images of BNBT and SMT ceramics. h, i Corresponding statistics of grain size distribution.
To explore the local structures of SMT ceramics, the transmission electron microscope (TEM) measurements are performed (Supplementary Fig. S2). The local heterogeneity corresponding to the core-shell structure is found in SMT ceramics, which is due to the Sr2+ segregation by subsequent elemental analysis. Notably, the absence of ferroelectric domains on low and high magnification bright-field or dark-field TEM images indicates that the short-range correlation structures (i.e., PNRs) dominate and contribute to delayed polarization saturation (Supplementary Figs. S2, S3)30. The high-resolution TEM image and corresponding inverse fast Fourier transform pattern show the presence of randomly distributed PNRs (Supplementary Fig. S4). For insight into the PNRs types (or polarization configuration) at atomic scale structure in various regions [shell (SMT-S) and core regions (SMT-W)], the high-angle annular dark-field (HAADF) images are recorded along the [100]c using aberration-corrected scanning TEM (STEM) (Supplementary Fig. S5). Then, the atomic polarization vectors (both magnitude and direction) of the B-site atoms can be determined from the four nearest neighboring A-site atoms, as illustrated in Fig. 3e. The fitting results reveal that the polarization vectors of SMT-W and SMT-S exhibit multiple orientations, corresponding to type I along the [001]c direction (T phase), type II along the [111]c direction (R or O phase), and numerous intermediate transition states (M phase) (Fig. 3a, b). Note that the polarization displacements of SMT-W are much smaller than those of SMT-S, which is consistent with our expectations and helps to lower the polarization switching barrier and suppress thermal breakdown31.
The atomic polarization vector embedded in HAADF images viewed from [100]c at the (a) SMT-S and (b SMT-W regions (the types I and II in (a) represent T and R/O phases, respectively). Arrows of varying lengths and colors are used to represent the magnitude and direction of the polarization vectors, respectively (The polarization magnitude is uniformly amplified by 25 times). c, d Magnified images selected from (a) and (b). A, B, and C are the magnified mappings of selected regions in (c) and (d), respectively. e A schematic illustration of the polarization vector model in different directions. f Histograms of the magnitude and direction of the polarization vectors in different regions of SMT ceramics.
To further illustrate the role of local polarization of SMT-S and SMT-W on the energy storage performance, we provide contour maps of the polarization magnitude for the region within the white dashed box in Fig. 3a, b with the polarization vectors superposed (Fig. 3c, d). Obviously, a gradient distribution is detected in SMT ceramics, characterized by regions of strong polar fluctuations (e.g., regions A and B in SMT-S) and smooth polar regions (e.g., region C in SMT-W). To quantify the above gradient distribution, a statistical analysis is conducted (Fig. 3f). The average polarization magnitude reveals that both regions exhibit weak polarization compared to most reported BNT-based ceramics (polarization magnitude ~ 8 − 12 pm)32,33. For SMT-S, the polarization magnitude ranges from 0.05 to 16.2 pm (i.e., strong polar fluctuations), with an average value of ~ 5.5 pm, which is essential for obtaining high Pmax33. In contrast, the polarization magnitude for SMT-W ranges from 0.1 to 7.0 pm, with a very low average value of ~ 2.3 pm, which is even smaller than those of some high-entropy ceramics (~ 2.6 pm)22. In general, the weakening of the interactions between PNRs is closely related to the enhancement of the dynamic behavior of the system. The presence of numerous ultra-weak PNRs indicates that these regions can not only exhibit a faster response to the external electric field, facilitating the polarization switching of the matrix, but also achieve ultra-low hysteresis (i.e., high η) by rapidly restoring the PNRs in the matrix back to their initial state after the removal of the electric field. This is confirmed by phase-field simulations (Supplementary Fig. S6–S8).
Moreover, for the distribution of polarization directions, the polarization orientations in the range of 0–360° are simplified to 0° (T phase) to 45° (R phase) based on the projection direction and crystal symmetry. The number of polarization vectors in each direction within the two heterogeneous regions is nearly equal, and the transition state dominates. Typically, the polarizations of the R and T phases within local regions are primarily confined to the [111] and [100] directions, respectively. From the thermodynamic perspective, these evenly distributed transition states are analogous to the monoclinic phase, characterized by minimal free energy differences in different directions and low energy barriers34. This enables easy polarization rotation under the external electric field, thereby facilitating excellent energy storage performance35. The presence of numerous intermediate transition states in the system can be regarded as a bridge connecting high symmetry phases and promoting the polarization switching. Therefore, it can be inferred that the presence of ultra-weak local polarization constitutes the key structural basis for good energy storage performance.
Since the polarization configurations are closely related to the inherent ion characteristics, we relate the above polarization differences to local elemental distributions. Here, atomic-resolution energy-dispersive X-ray spectroscopy (EDS) elemental mappings are measured in SMT-S and SMT-W for an in-depth study (Fig. 4a, b). For SMT-S, the superimposed images composed of the distributions of Bi, Na, Sr, Ba, and Ti, Ta elements, respectively, reproduce the arrangement characteristics of the A-site and B-site atoms in the perovskite structure (Fig. 4a). Owing to the low concentration of Mg and the unavoidable noise in the mapping process, typical Mg atomic column contrast is not observed. Unlike SMT-S, a significant enrichment of Sr is detected in SMT-W (Fig. 4c). Further low-magnification EDS mapping also confirms the presence of this phenomenon (Supplementary Fig. S9). The accumulation of Sr contributes to the formation of more weakly polar regions, which induces much more highly dynamic PNRs and leads to near-zero hysteresis36.
STEM-EDS elemental mapping taken along [100]c at (a) SMT-S and (b) SMT-W regions. c Corresponding atomic percentage of elements.
To better understand the polarization response mechanism of such structures under electric fields, Supplementary Fig. S10a, b and Fig. S11c, d–f present the local domain morphologies of BNBT and SMT ceramics, captured using vertical piezoresponse force microscopy (VPFM). Typical labyrinth domains are detected in BNBT ceramics, only fuzzy signals were observed in SMT ceramics, even in a smaller scanning area. The absence of mesoscopic domains in SMT ceramics may be due to the fact that the size of local PNRs (e.g., <5 nm) is much smaller than the detection range of the PFM (e.g., ≥20 nm)37. The switching spectroscopy of PFM (SS-PFM) is used to analyze the local polarization switching behavior. An alternating voltage of ± 15 V is applied to a 12 × 12 grid (i.e., 144 points) within a 2.0 × 2.0 µm2 area, and a local coercive bias (VC) map is collected from a total of 144 hysteresis loops (Supplementary Fig. S10c)38. The VC map reveals the pronounced local difference between points, further demonstrating the presence of local polarity differences in SMT ceramics.
Relaxor ferroelectrics with different polar states and domain structures exhibit distinct domain switching characteristics. The litho-PFM measurements allow for a more intuitive characterization of the dynamic behaviors and the domain switching. A pre-polarization is applied to a 3.0 × 3.0 µm2 region of the sample surface by applying a voltage of − 20 V, followed by the application of a reverse voltage of + 20 V to a smaller region within the pre-polarized area (Supplementary Fig. S10d, g). For BNBT ceramics, applying 20 V induces the nanodomains to merge into large domains. However, the same voltage fails to induce a similar response in the SMT sample, confirming the presence of delayed polarization saturation and strongly dynamic PNRs. In addition, the relaxation behavior of domain switching is investigated for different relaxation times [Supplementary Fig. S10d–i]. The switched domains of BNBT ceramics maintain regular bulk domains after aging for 10 min, indicative of decent long-range ferroelectric order. In contrast, for SMT ceramics, most of the switched domains are switched back to the initial shape within a short time (approximately 10 min), suggesting that the local heterogeneous structure has a strong recovery ability. These results align with the foregoing analysis of STEM results and further confirm that the unique polarization configuration of SMT ceramics (i.e., ultra-weak regions embedded in the matrix with strong polar fluctuation) contributes to enhancing energy storage performance.
The energy storage performance of BNBT and SMT ceramics is evaluated by their unipolar P-E loops. Due to the low Eb and large Pr in BNBT, its Wrec is only 0.62 J cm−3 at an Eb of 170 kV cm−1, even with a high Pmax (Supplementary Fig. S12a, b). Encouragingly, SMT ceramics exhibit slender P-E loops due to the unique heterogeneous structure. High Pmax and low Pr are realized at an Eb of 760 kV cm−1 (Fig. 5a). The shape parameter β obtained from the Weibull distribution exceeds 6, indicating a high reliability of the Eb of the samples (Supplementary Fig. S13)39. The Eb values of bulk ceramics are largely influenced by their grain size and internal porosity40,41. Coarse grains are prone to forming pores, and the breakdown energy of grains and pores is lower than that of grain boundaries42,43. Compared to BNBT ceramics, SMT ceramics have finer grains and lower porosity, which increases the concentration of grain boundaries and hinders the propagation of breakdown paths, leading to high Eb. As a result, SMT ceramics achieve a giant Wrec of 13.2 J cm−3, together with a high η of 92.5% (Fig. 5b). The high η is critical to address the energy dissipation of dielectrics for high-power applications, promote reliable operation, and suppress unexpected failure. Compared with some representative recent advances in lead-free systems, the comprehensive energy storage performance of SMT significantly outperforms most of them (Fig. 5c)44,45,46,47. Meanwhile, the Wrec of SMT ceramics is outstanding among some representative energy storage ceramics with η > 90%. Specifically, to the best of our knowledge, the Wrec value of the SMT ceramics is a new record to date for relaxors prepared by the tape-casting/ repeated rolling process (Fig. 5d)36,46,48,49,50,51,52,53,54,55.
a P-E loops of SMT ceramics over an electric field range of 200 − 760 kV cm−1. b Corresponding energy storage properties of (a). c A comprehensive comparison of Wrec and η of SMT ceramics with other energy storage relaxor ferroelectrics. d Comparison of Wrec with some representative energy storage ceramics prepared by conventional solid-state method and tape-casting/ repeated rolling process (RRP) of η > 90%.
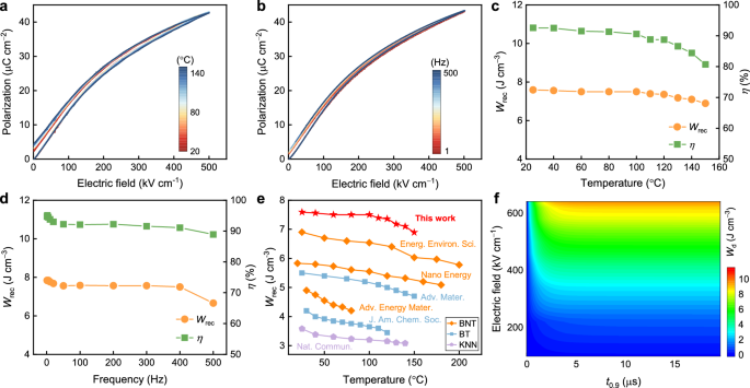
The stability of energy storage properties of SMT ceramics is evaluated at different temperatures and frequencies (Fig. 6a, b). At an electric field of 500 kV cm−1, the Pmax remains stable with a variation of less than 0.59% in the temperature range of 25–150 °C (Fig. S12c), which is mainly ascribed to the enhanced relaxation leading to a more stable dielectric permittivity (εr) of SMT ceramics within 25–400 °C (Supplementary Fig. S11b)56. The temperature-stable εr indicates that the PNRs can survive over a wide temperature range, thus facilitating sustained domain switching capability. Consequently, both Wrec and η decrease only slightly below 100 °C, despite the gradual increase in Pr (Fig. 6c). However, when the temperature exceeds 100 °C, η gradually decreases from 88.8% to 80.7%, which may be associated with the thermally stimulated conduction loss57. Despite the reduced Wrec with temperature, it still maintains around 7.0 J cm−3 (i.e., the variation < 9.2%) over such a wide temperature range, which is competitive with other reported systems (Fig. 6e)44,45,50,55,58,59.
a P-E loops of SMT ceramics over a temperature range of 25 − 150 °C. b P-E loops of SMT ceramics over a frequency range of 1 − 500 Hz. c, d Wrec and η values of SMT ceramics at various temperatures and frequencies. e Comparison of temperature stability of Wrec between this work and others. f Charge-discharge characteristics of SMT ceramics at different electric field strengths.
Concerning the frequency stability, Pmax and Pr exhibit a similar trend in the frequency range of 1 − 500 Hz (Supplementary Fig. S12d), i.e., they gradually increase with frequency. It is notable that while small fluctuations in Pmax have a negligible effect on Wrec, an increase in Pr leads to a decrease in Wrec and η (Fig. 6d). Nevertheless, the variations of Wrec and η are less than 15% and 5.2%, respectively, within the measured frequency range. The charging-discharging performance is also used to assess its practical application capability. The results of the overdamped discharge tests indicate that the SMT sample exhibits similar discharge behavior at different electric field strengths, with the t0.9 (the time required to release 90% of the discharge energy density (Wd)) of about 1.91 μs. An ultrahigh Wd (8.6 J cm−3) is achieved at 640 kV cm−1 (Fig. 6f). These results indicate that SMT ceramics are promising for dielectric capacitors.
In this work, we propose a strategy of embedding ultra-weak polar regions in the strong polar fluctuation matrix to achieve superior energy storage properties, which is verified by phase-field simulations. Atomic scale structural characterization reveals that the polarization magnitude in the regions of strong polar fluctuations ranges from 0.05 to 16.2 pm, while that in ultra-weak polar regions ranges from 0.1 to 7.0 pm. This unique polarization configuration virtually eliminates hysteresis while realizing high Eb and high polarization. In addition, the dense microstructure and refined grain sizes also contribute to the suppression of hysteresis and the increase in Eb. Benefiting from the balance between polarization and Eb, a high Wrec of 13.2 J cm−3 and an η of 92.5% are achieved simultaneously. Meanwhile, the Wrec and η maintain excellent stability over a wide temperature range (25 − 150 °C) and frequency range (1 − 500 Hz). Therefore, this work provides a new paradigm for the design of high-performance dielectric materials for energy storage.
Methods
Ceramics preparation
Bi0.94Na0.94Ba0.06TiO3 and 0.86Bi0.94Na0.94Ba0.06TiO3-0.14 Sr(Mg1/3Ta2/3)O3 ceramics (abbreviated as BNBT and SMT) were fabricated by the tape-casting method. Raw materials of Na2CO3 (≥99.8%), SrCO3 (≥99%), BaCO3 (≥99%), MgO (≥99%), Bi2O3 (≥99%), and Ta2O5 (≥99.95%) were weighed stoichiometrically. The mixture was then subjected to ball milling for 12 h and subsequently calcined at 850 °C for 4 h. After calcination, the powders were subjected to high-energy ball milling for 2 h to obtain fine powders of BNBT and SMT. The powder (with a mass of 8 g) was then ball-milled with the binder (8 wt % polyvinyl alcohol, 3 ml), dispersant (triethanolamine, 1 ml), plasticizer (polyethylene glycol, 0.5 ml), and anhydrous ethanol (8 ml) for 3 h to obtain a uniform and stable slurry. The ball-milling speed was set at 300 r/min. To obtain dense ceramics, the prepared uniform slurry was cast on a glass plate, cut into 1 cm × 1 cm squares, stacked and uniaxially pressed into cubes (thickness approximately 0.5 mm) at 60 °C under a pressure of 10 MPa. Finally, after removing the organic components, the cubes were sintered at 1110–1150 °C for 2 h.
Structure characterization
The phase structure was determined by X-ray diffraction (XRD) patterns. Prior to testing, the sintered samples were ground to a fine powder in an agate mortar. To relieve residual stresses induced by grinding, the powder was subsequently annealed at 600 °C for 30 min. The XRD patterns of BNBT and SMT ceramics were collected by a commercial device (Bruker D8 Advance XRD, BrukerAXS Inc., Madison, WI, CuKα) in the 2θ range of 10–90°, with a scanning step size of 0.0065°/step and a counting time of 13.77 s/step. The Rietveld refinements were carried out by using the GSAS software, and the CIF card numbers used for the Rietveld refinements are ICSD#154040 (for R3c) and ICSD#2103296 (for P4bm). For short-range order structures, it is challenging to accurately identify their true structure based on large-scale average structures. Therefore, we prepared TEM samples by using the traditional method. The procedure was outlined as follows: 1. Mechanical pre-thinning: The ceramic sample was mechanically thinned to an initial thickness of 50 µm to ensure uniform thickness for subsequent ion milling. 2. Ion beam fine thinning (Gatan 695): The combination of a gradual decrease in accelerating voltage (5.0 keV to 0.5 keV) and a narrowing of the ion beam angle of incidence (± 8° to ± 3°) results in highly efficient bulk material removal, gradual minimization of subsurface damage layers, and surface smoothness at the atomic scale of the final observation area. The SAED patterns and HR-TEM images were measured on an FEI Talos F200X microscope operating at 200 kV. The atomic-scale high-angle annular dark field (HAADF) tests were performed on a Cs-corrected FEI Spectra 300 transmission electron microscope. The exposure time for capturing dark-field images is 10 s. To observe the microstructure of ceramics, including densification and grain size distribution, the ceramic samples were polished and thermally etched before testing and then examined using a scanning electron microscope (Zeiss Gemini 300, Germany). After mechanically polishing the surface of the samples, the ferroelectric domains were characterized by a commercial piezoresponse force microscopy (PFM, MFP-3D, USA). The dual AC resonance (DART) mode was chosen for vertical PFM measurements. The drive voltage for scanning domains was set as 2 V. For the litho-PFM measurements, a voltage of ± 20 V was first applied on the surface of the samples, and the domain structures were measured after aging at different times. For the switching spectroscopy PFM (SS-PFM) measurements, the voltage was set as ± 15 V.
Electrical characterization
The temperature dependence of εr and tan δ was recorded on an LCR analyzer system (HP 4980, Agilent, USA) after polishing the two surfaces and plating them with silver electrodes of 8 mm diameter. Prior to energy storage properties characterization, specimens were thinned to 0.06 mm and applied 1.2 mm diameter silver electrodes. Then, a ferroelectric tester (Radiant Technologies, Median, USA) was used to obtain P-E loops at a frequency of 10 Hz and room temperature. The discharge energy density (Wd = ∫Ri2(t)dt/V, where R is the total load resistor (10.26 kΩ) and V is the sample volume.) of the SMT sample was tested by a charge and discharge test system (PK-CPR1701, PolyK Technologies, PA, USA) with an RLC load circuit.
Phase-field simulations
Based on the principle that the formation and switching of domains in the phase-field model are fundamentally driven by the minimization of the total free energy, this work employs spontaneous polarization vector P (P1, P2) (where the subscripts 1 and 2 correspond to the x and y-directions in two-dimensional space) as the order parameter to characterize the domain morphology evolution of domain morphologies in the three materials mentioned above. The temporal evolution of the P is governed by the time-dependent Ginzburg-Landau (TDGL) equation:
where L is the kinetic coefficient, F is the free energy, \(\frac{\delta F}{\delta {{{{\boldsymbol{P}}}}}_{j}}\) represents the thermal dynamic driving force, σij is the stress tensor, and r and t denote spatial vector position and time, respectively. The total free energy of the system can be expressed as:
where E stands for the applied static electric field, F denotes the total free energy of the model system that includes the bulk free energy Fbulk(P), gradient energy Fgrad(P), elastic energy Felestic(P), and electrostatic energy Felec(P, E).
The bulk free energy density of the system can be denoted as:
where αi, αij, αijk are Landau parameters. The elastic energy density is given by: felas = \(\frac{1}{2}\)Cijkl(εij-εij0)(εkl-εkl0), where Cijkl represents the elastic stiffness tensor, εij denotes the total strain of the system, and εij0 is the intrinsic strain, defined as: εij0 = QijklPkPl, with Qijkl being the electrostrictive constant. The gradient energy density can be expressed as: fgrad = \(\frac{1}{2}\)Gijkl Pi,j Pk,l, where Gijkl is known as the gradient coefficient.
The electrostatic energy of the system is given by felec = \(\frac{1}{2}\)(E·P), where E represents the overall electric field, defined as \(E={E}_{{appl}}+{E}_{{dipole}}+{E}_{{RF}}\), where \({E}_{{appl}}\) is the applied electric field, \({E}_{{dipole}}\) denotes the inhomogeneous electric field arising from dipole-dipole interactions, and \({E}_{{RF}}\) represents the local electric field induced by doping-related random defects, which serves to simulate relaxor ferroelectric characteristics in the material. The local random defect field is assumed to follow a Gaussian distribution with a mean of zero and is described by a set of randomly oriented local electric fields. The electric field arising from dipole-dipole interactions can be determined through electrostatic potential φ, where Edipole = − ∇φ. The space is considered to be charge-free in this model, allowing the electric field to be solved using the equation: ∇·(− ε0 εbr∇φ + P) = 0, where ε0 is the vacuum permittivity, and εbr is the background relative dielectric constant.
The detailed parameters are provided as follows: a1 = 4.124 × 105 (T-T0), a11 = − 2.097 × 108, a12 = 7.974 × 108, a111 = 1.294 × 109, a112 = − 1.950 × 109, a1111 = 3.863 × 1010, a1112 = 2.5219 × 1010, a1122 = 1.637 × 1010, Q11 = 0.11, Q12 = − 0.452, Q44 = 0.0289, s11 = 9.1 × 10−12, s12 = − 3.2 × 10−10, s44 = 8.2 × 10−10. s represents the compliance coefficients, and T0 denotes the Curie-Weiss temperature. For classical ferroelectrics, the concentration of random point defects is set to 0. For classical relaxor ferroelectrics, the concentration of random point defects is set to 0.14. For the SMT ceramics, to simulate the embedding of ultra-weak polar regions in the strong polar fluctuation matrix, a circular mask with a radius of L/6.5 (L is the length of the simulation scale, which is 128 in this work) is employed in this study. Inside the mask, there is an ultra-weak polar structure, while outside the mask, there is a strong polar fluctuations structure. The simulation was conducted on a scale of 128dx × 128dy, and the Fourier method was employed for solving the equations.
Data availability
The authors declare that the data supporting the findings of this study are available within the paper and its Supplementary Information files. More relevant data sets generated during and/or analyzed during the current study are available from the first authors and corresponding authors upon reasonable request. Source data are provided in this paper.
References
Zhang, M. et al. Ultrahigh energy storage in high-entropy ceramic capacitors with polymorphic relaxor phase. Science 384, 185–189 (2024).
Yang, B. et al. Balancing polarization and breakdown for high capacitive energy storage by microstructure design. Adv. Mater. 36, 2403400–2403411 (2024).
Xing, J. et al. Intrinsic and extrinsic contributions to energy storage performance in potassium sodium niobate-based ceramics. J. Am. Ceram. Soc. 107, 4824–4835 (2024).
Li, F., Zhou, M., Zhai, J., Shen, B. & Zeng, H. Novel barium titanate based ferroelectric relaxor ceramics with superior charge-discharge performance. J. Eur. Ceram. Soc. 38, 4646–4652 (2018).
Qi, H. et al. Ultrahigh energy-storage density in NaNbO3-based lead-free relaxor antiferroelectric ceramics with nanoscale domains. Adv. Funct. Mater. 29, 1903877–1903884 (2019).
Yang, B. et al. Engineering relaxors by entropy for high energy storage performance. Nat. Energy 8, 956–964 (2023).
Zhao, P. et al. Ultra-high energy storage performance in lead-free multilayer ceramic capacitors via a multiscale optimization strategy. Energy Environ. Sci. 13, 4882–4890 (2020).
Long, C. et al. Simultaneously realizing ultrahigh energy storage density and efficiency in BaTiO3-based dielectric ceramics by creating highly dynamic polar nanoregions and intrinsic conduction. Acta Mater. 256, 119135–119147 (2023).
Ma, Q. et al. Excellent energy-storage performance in lead-free capacitors with highly dynamic polarization heterogeneous nanoregions. Small 19, 2303768–2303776 (2023).
Zhou, M., Liang, R., Zhou, Z. & Dong, X. Achieving ultrahigh energy storage density and energy efficiency simultaneously in sodium niobate-based lead-free dielectric capacitors via microstructure modulation. lnorg. Chem. Front. 6, 2148–2157 (2019).
Zheng, Q. et al. Remarkable energy storage properties in (Bi0.5Na0.5)TiO3-based quasilinear relaxor ferroelectrics via superparaelectric regulation. Chem. Eng. J. 483, 149154–149165 (2024).
Zhang, Y. et al. Optimization of energy storage properties in lead-free barium titanate-based ceramics via B-Site defect dipole engineering. ACS Sustain. Chem. Eng. 10, 2930–2937 (2022).
Che, Z. Y. et al. Phase structure and defect engineering in (Bi0.5Na0.5)TiO3-based relaxor antiferroelectrics toward excellent energy storage performance. Nano Energy 100, 107484–107494 (2022).
Chen, L. et al. Large energy capacitive high-entropy lead-free ferroelectrics. Nanomicro Lett. 15, 65–78 (2023).
Wang, C., Cao, W., Liang, C., Zhao, H. & Wang, C. Equimolar high-entropy for excellent energy storage performance in Bi0.5Na0.5TiO3-based ceramics. Energy Storage Mater. 70, 103534–103543 (2024).
Peng, H. et al. High-entropy relaxor ferroelectric ceramics for ultrahigh energy storage. Nat. Commun. 15, 5232–5241 (2024).
Wang, Q. et al. Bi0.5Na0.5TiO3-based relaxor-ferroelectric ceramics for low-electric-field dielectric energy storage via bidirectional optimization strategy. Chem. Eng. J. 452, 139422–139432 (2023).
Zhang, L., Pu, Y., Chen, M., Wei, T. & Peng, X. Novel Na0.5Bi0.5TiO3 based, lead-free energy storage ceramics with high power and energy density and excellent high-temperature stability. Chem. Eng. J. 383, 123154–123162 (2020).
Dong, X. et al. High energy storage density and power density achieved simultaneously in NaNbO3-based lead-free ceramics via antiferroelectricity enhancement. J. Materiomics. 7, 629–639 (2021).
Shen, M. et al. Excellent energy storage density and superior discharge properties of NBT-NN-ST/xHfO2 ceramics via 0-3 type heterogeneous structure designing. J. Mater. Chem. A. 11, 18972–18983 (2023).
You, D. et al. Enhanced dielectric energy storage performance of 0.45Na0.5Bi0.5TiO3-0.55Sr0.7Bi0.2TiO3/AlN 0-3 type lead-free composite ceramics. Acs. Appl. Mater. Interfaces 14, 17652–17661 (2022).
Duan, J. et al. High-entropy superparaelectrics with locally diverse ferroic distortion for high-capacitive energy storage. Nat. Commun. 15, 6754–6761 (2024).
Liu, Y. et al. High-performance electrostrictive relaxors with dispersiveendotaxial nanoprecipitations. Adv. Mater. 34, 2204743–2204750 (2022).
Zhou, X. et al. Optimized dielectric energy storage performance in ZnO-modified Bi0.5Na0.5TiO3-Sr0.7Bi0.2□0.1TiO3 ceramics with composite structure and element segregation. Chem. Eng. J. 458, 141449–141461 (2023).
Shannon, R. D. Revised effective ionic radii and systematic studies of interatomic distances in halides and chalcogenides. Acta Crystallogr. Sect. A Cryst. Phys. Diffr. Theor. Gen. Crystallogr. 32, 751–767 (1976).
Wang, X., Gao, H., Hao, X. & Lou, X. Enhanced piezoelectric, electrocaloric and energy storage properties at high temperature in lead-free Bi0.5(Na1-xKx)0.5TiO3 ceramics. Ceram. Int. 45, 4274–4282 (2019).
Guo, Y., Liu, Y., Withers, R. L., Brink, F. & Chen, H. Large electric field-induced strain and antiferroelectric behavior in (1-x)(Na0.5Bi0.5)TiO3-xBaTiO3 ceramics. Chem. Mater. 23, 219–228 (2010).
Luo, H. et al. Revealing structure behavior behind the piezoelectric performance of prototype lead-free Bi0.5Na0.5TiO3BaTiO3 under in-situ electric field. J. Materiomics. 8, 1104–1112 (2022).
Long, C. et al. Excellent energy storage properties with ultrahigh Wrec in lead-free relaxor ferroelectrics of ternary Bi0.5Na0.5TiO3-SrTiO3-Bi0.5Li0.5TiO3 via multiple synergistic optimization. Energy Storage Mater. 65, 103055–103064 (2024).
Peng, B., Xie, Z., Yue, Z. & Li, L. Improvement of the recoverable energy storage density and efficiency by utilizing the linear dielectric response in ferroelectric capacitors. Appl. Phys. Lett. 105, 052904–052907 (2014).
Chen, L. et al. Near-zero energy consumption capacitors by controlling inhomogeneous polarization configuration. Adv. Mater. 36, 2313285–2313294 (2024).
Sun, Z. et al. Strong local lolarization fluctuations enabled high electrostatic energy storage in Pb-free relaxors. J. Am. Chem. Soc. 146, 13467–13476 (2024).
Guo, J. et al. Multi-symmetry high-entropy relaxor ferroelectric with giant capacitive energy storage. Nano Energy 112, 108458–108466 (2023).
Pan, H. et al. Ultrahigh-energy density lead-free dielectric films via polymorphic nanodomain design. Science 365, 578–582 (2019).
Liu, Y. et al. Flexible polarization configuration in high-entropy piezoelectrics with high performance. Acta Mater. 236, 118115–118123 (2022).
Liu, L. et al. Multi-scale collaborative optimization of SrTiO3-based energy storage ceramics with high performance and excellent stability. Nano Energy 109, 108275–108286 (2023).
Gruverman, A., Alexe, M. & Meier, D. Piezoresponse force microscopy and nanoferroic phenomena. Nat. Commun. 10, 1661–1669 (2019).
Wang, H. & Zeng, K. Characterization of domain structure and imprint of Pb(Zn1/3Nb2/3)O3-4.5%PbTiO3 (PZN-4.5%PT) single crystals by using PFM and SS-PFM techniques. Ceram. Int. 46, 4274–4279 (2020).
Xie, A., Qi, H. & Zuo, R. Achieving remarkable amplification of energy-storage density in two-step sintered NaNbO3-SrTiO3 antiferroelectric capacitors through dual adjustment of local heterogeneity and grain scale. Acs. Appl. Mater. Interfaces 12, 19467–19475 (2020).
Cai, Z. et al. Grain-size-dependent dielectric properties in nanograin ferroelectrics. J. Am. Ceram. Soc. 101, 5487–5496 (2018).
Wang, W. et al. Effective strategy to improve energy storage properties in lead-free (Ba0.8Sr0.2)TiO3-Bi(Mg0.5Zr0.5)O3 relaxor ferroelectric ceramics. Chem. Eng. J. 446, 137389–137397 (2022).
Yan, F. et al. Composition and structure optimized BiFeO3-SrTiO3 lead-free ceramics with ultrahigh energy storage performance. Small 18, 2106515–2106524 (2022).
Xie, H. et al. Outstanding comprehensive energy storage performances in multiscale synergistic regulation-engineered (Bi0.5Na0.5)TiO3-based multilayer ceramics. Chem. Eng. J. 497, 154442–154451 (2024).
Chen, L. et al. Giant energy-storage density with ultrahigh efficiency in lead-free relaxors via high-entropy design. Nat. Commun. 13, 3089–3096 (2022).
Sun, Z. et al. Superior capacitive energy-storage performance in Pb-free relaxors with a simple chemical composition. J. Am. Chem. Soc. 145, 6194–6202 (2023).
Zhao, W. et al. Broad-high operating temperature range and enhanced energy storage performances in lead-free ferroelectrics. Nat. Commun. 14, 5725–5735 (2023).
Shi, W. et al. Moderate fields, maximum potential: achieving high records with temperature-stable energy storage in lead-free BNT-based ceramics. Nano Micro Lett. 16, 91–107 (2024).
Wang, S. et al. Temperature stability lock of high-performance lead-free relaxor ferroelectric ceramics. Energy Storage Mater. 66, 103155–103164 (2024).
Zhang, L. et al. Achieving ultrahigh energy density and ultrahigh efficiency simultaneously via characteristic regulation of polar nanoregions. Chem. Eng. J. 465, 142862–142871 (2023).
Long, C. et al. Bi0.5Na0.5TiO3-based energy storage ceramics with excellent comprehensive performance by constructing dynamic nanoscale domains and high intrinsic breakdown strength. Nano Energy 124, 109493–109503 (2024).
Xue, G. et al. Core-shell structure and domain engineering in Bi0.5Na0.5TiO3-based ceramics with enhanced dielectric and energy storage performance. J. Materiomics. 9, 855–866 (2023).
Tang, L. et al. Giant energy storage density with antiferroelectric-Like properties in BNT-based ceramics via phase structure engineering. Small 19, 2302346–2302355 (2023).
Liu, L. et al. Achieving high energy storage performance and ultrafast discharge speed in SrTiO3-based ceramics via a synergistic effect of chemical modification and defect chemistry. Chem. Eng. J. 429, 132548–132560 (2021).
Liu, H. et al. Chemical design of Pb-free relaxors for giant capacitive energy storage. J. Am. Chem. Soc. 145, 11764–11772 (2023).
Yan, F. et al. Tape-casting lead-free dielectrics permit superior capacitive energy storage performance. Adv. Energy Mater. 15, 2403535–2403545 (2024).
Yoon, S.-H., Park, Y., Kim, C.-H. & Kim, D.-Y. Effect of Ca incorporation on the dielectric nonlinear behavior of (Ba, Ca)TiO3 multi layer ceramic capacitors. Appl. Phys. Lett. 105, 242902–242906 (2014).
Pan, H. et al. Ultrahigh energy storage in superparaelectric relaxor ferroelectrics. Science 374, 100–104 (2021).
Chen, L. et al. Local diverse polarization optimized comprehensive energy-storage performance in lead-free superparaelectrics. Adv. Mater. 34, 2205787–2205796 (2022).
Li, D. et al. A high-temperature performing and near-zero energy loss lead-free ceramic capacitor. Energy Environ. Sci. 16, 4511–4521 (2023).
Acknowledgements
This work was supported by the National Natural Science Foundation of China (Nos. U23A20567 and 12204327), the National Key Research and Development Program of China (No. 2022YFB3807402), the Natural Science Foundation of Sichuan Province (Nos. 2023NSFSC0967 and 2024NSFJQ0025), the Fundamental Research Funds for the Central Universities (No. YJ2021154), and the Foundation of Sichuan University (No. 2024SCUQJTX013). The authors thank Ms Hui Wang (Analytical & Testing Center of Sichuan University) for measuring SEM images and Dr. Zhipeng Wang (Xidian University) for his fruitful discussion on TEM measurements and analysis.
Author information
Authors and Affiliations
Contributions
J.W., X.L., and X.D. conceived the idea of this work. X.D. prepared the samples, tested the electrical properties, performed structural measurements, and processed the data. Z.W. and Z.F. helped to analyze the TEM data. X.L. and J.W. provided financial and technical support and participated in the data analysis and discussions. All authors worked together on the first draft and revised the paper.
Corresponding authors
Ethics declarations
Competing interests
The authors declare no competing interests.
Peer review
Peer review information
Nature Communications thanks Peiyao Zhao, and the other anonymous reviewer(s) for their contribution to the peer review of this work. A peer review file is available.
Additional information
Publisher’s note Springer Nature remains neutral with regard to jurisdictional claims in published maps and institutional affiliations.
Supplementary information
Source data
Rights and permissions
Open Access This article is licensed under a Creative Commons Attribution-NonCommercial-NoDerivatives 4.0 International License, which permits any non-commercial use, sharing, distribution and reproduction in any medium or format, as long as you give appropriate credit to the original author(s) and the source, provide a link to the Creative Commons licence, and indicate if you modified the licensed material. You do not have permission under this licence to share adapted material derived from this article or parts of it. The images or other third party material in this article are included in the article’s Creative Commons licence, unless indicated otherwise in a credit line to the material. If material is not included in the article’s Creative Commons licence and your intended use is not permitted by statutory regulation or exceeds the permitted use, you will need to obtain permission directly from the copyright holder. To view a copy of this licence, visit http://creativecommons.org/licenses/by-nc-nd/4.0/.
About this article
Cite this article
Dong, X., Fu, Z., Wang, Z. et al. Engineering relaxors by embedding ultra-weak polar regions for superior energy storage. Nat Commun 16, 5657 (2025). https://doi.org/10.1038/s41467-025-61406-9
Received:
Accepted:
Published:
Version of record:
DOI: https://doi.org/10.1038/s41467-025-61406-9
This article is cited by
-
Co-optimization of relaxor degree and slush polar state for high-energy storage properties in BNT-based ceramics
Journal of Materials Science: Materials in Electronics (2025)








