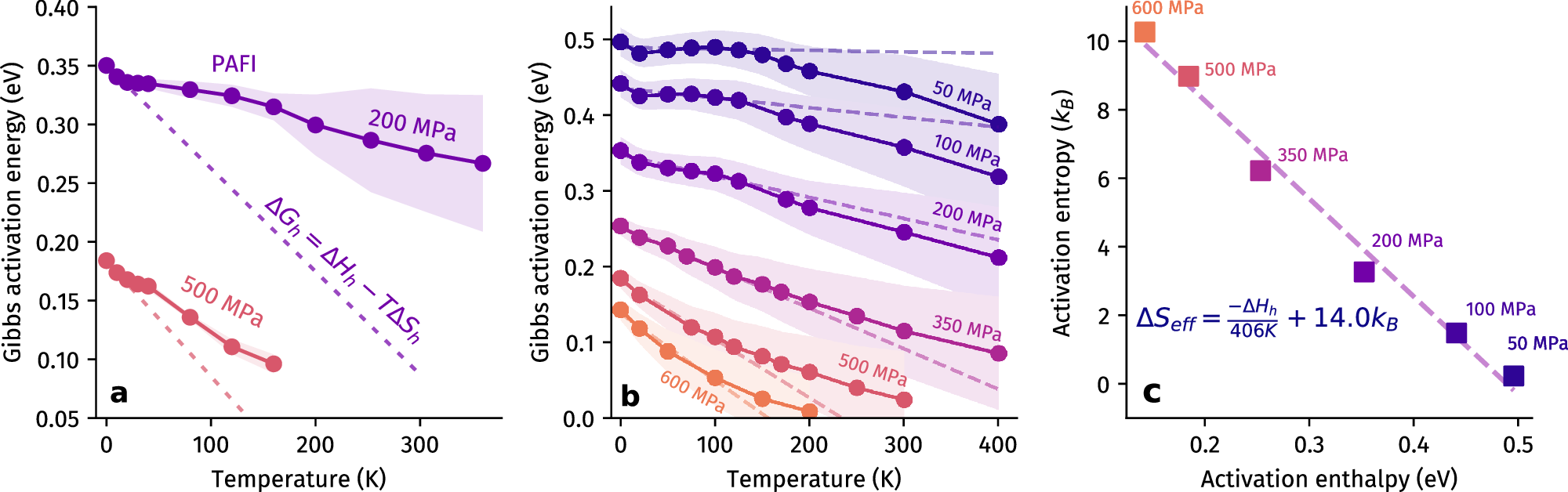
Fig. 3: Empirical potential predicts strong anharmonicity and an inverse Meyer-Neldel relation.
From: Activation entropy of dislocation glide in body-centered cubic metals from atomistic simulations

a Gibbs activation energy as a function of temperature at 200 and 500 MPa, obtained with PAFI (circles and full lines) and the HTST approximation using Hessian matrix diagonalizations (dashed lines). Shaded regions represent the error estimation of the PAFI method, as described in Supplementary Material. Lines are colored based on the associated stress value. b Gibbs activation energy as a function of temperature for a large range of stresses and temperatures. Linear fits up to 100 K with slope − ΔSeff are shown as dashed lines. Note that calculations presented in (a) were performed with a high number of independent samplings (ranging from 150−250), in order to accurately capture subtle variations of Gibbs activation energy at very low temperature. c Effective entropy ΔSeff as a function of enthalpy.