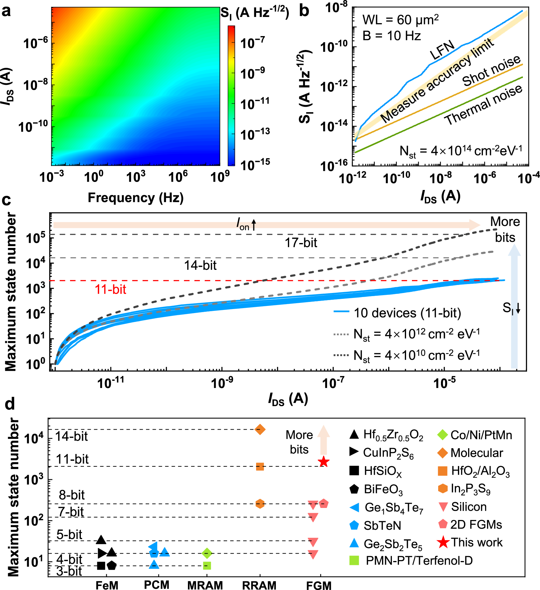
Fig. 4: Noise analysis and benchmark of 11-bit 2D FGMs.

a Mapping diagram of calculated noise current as a function of frequency and IDS. b Plot of low-frequency noise (LFN), thermal noise, and shot noise versus IDS at a channel area (The product of channel width and length, WL) of 60 μm2 and a frequency of 10 Hz. The yellow shaded area represents the measurement accuracy limit of the instrument. B is the bandwidth and Nst is the areal surface trap density. c The maximum state number versus IDS for 10 11-bit devices, as well as the calculated theoretical maximum state number of the devices under the Nst values of 4 × 1012 cm–2 eV–1 and 4 × 1010 cm–2 eV–1. d Benchmark for multi-bit storage in various existing nonvolatile memories: FeM (ferroelectric memory)55,56,57,58,59, PCM (phase change memory)60,61,62,63, MRAM (magnetic random access memory)64,65, RRAM (resistive random access memory)23,24,66, silicon eFLASH67,68,69,70, and 2D FGMs34. The detailed information is provided in Supplementary Table 1.