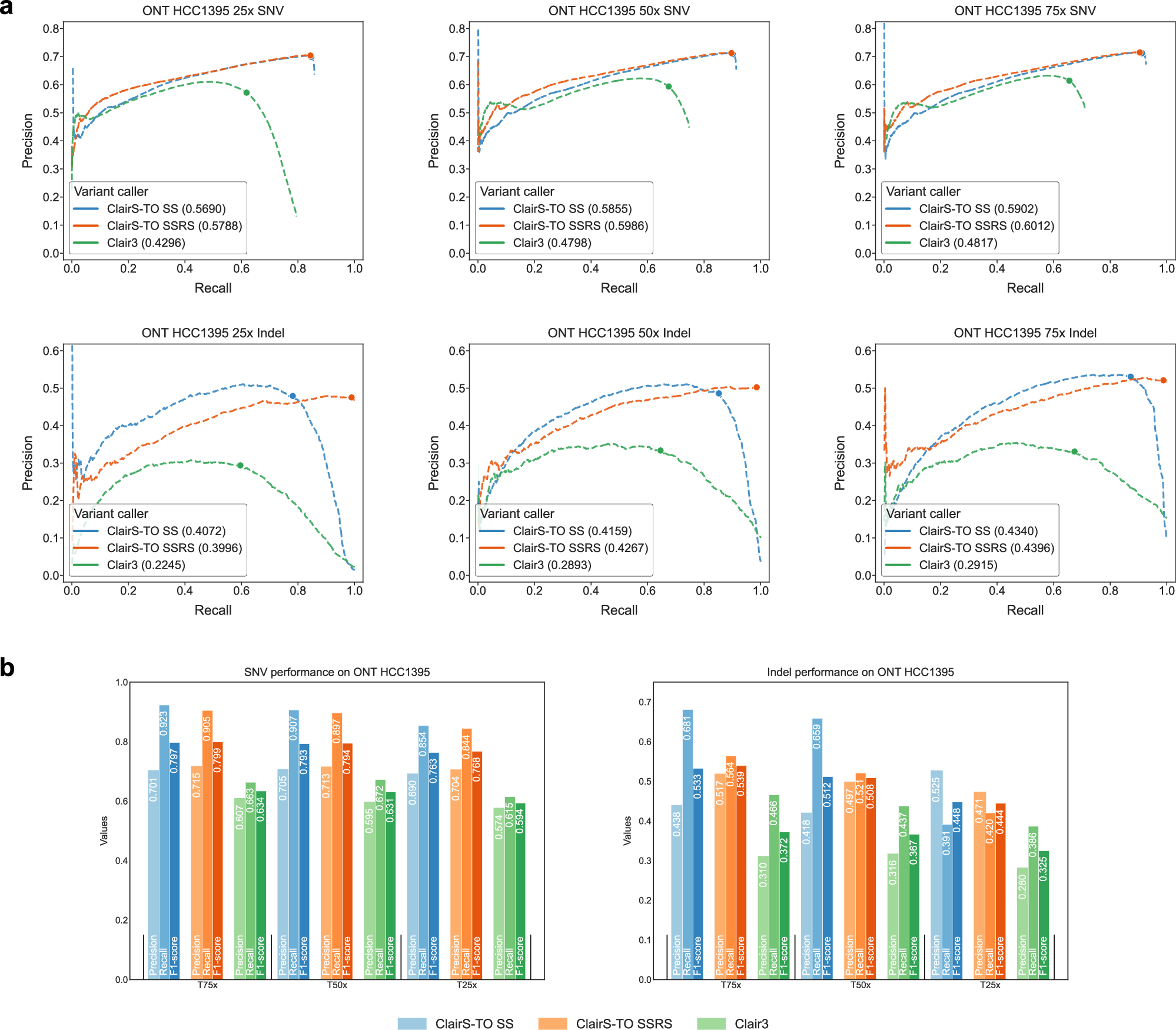
Fig. 3: Performance at different sequencing coverages using ONT HCC1395.
From: ClairS-TO: a deep-learning method for long-read tumor-only somatic small variant calling

a Precision-Recall curves at 25-, 50-, and 75-fold tumor coverages of ONT HCC1395. The dot on each dashed line indicates where the best F1-score was achieved. The area under the Precision-Recall curve (AUPRC) is shown in parentheses in the legend. DeepSomatic was excluded from benchmarking with the HCC1395 WGS dataset because the sample was included in its model training. b The performance of the best achievable F1-score, along with the corresponding precision and recall, at 25-, 50-, and 75-fold tumor coverages of ONT HCC1395. Source data are provided as a Source data file.