Abstract
Accurate detection of somatic variants in tumors is of critical importance and remains challenging. Current methods typically require matched normal samples for reliable detection, which are often unavailable in real-world research and clinical scenarios. Without a matched normal sample, more proficient algorithms are required to distinguish true somatic variants from germline variants and technical artifacts. However, existing tumor-only somatic variant callers that were designed for short-read sequencing data are not able to work well with long-read data. To fill the gap, we present ClairS-TO, a deep-learning-based method for long-read tumor-only somatic variant calling. ClairS-TO uses an ensemble of two disparate neural networks trained from the same samples but for opposite tasks—how likely/not likely a candidate is a somatic variant. Benchmarks using COLO829 and HCC1395 cancer cell lines show that ClairS-TO outperforms DeepSomatic and smrest in ONT and PacBio long-read data. ClairS-TO is also applicable to short-read data and outperforms Mutect2, Octopus, Pisces, and DeepSomatic. Extensive experiments across various sequencing coverages, variant allelic fractions, and tumor purities support that ClairS-TO is a reliable tool for somatic variant discovery. ClairS-TO is open-source, available at https://github.com/HKU-BAL/ClairS-TO.
Introduction
Somatic mutations play a pivotal role in the development and progression of cancer1. Accurate identification of the somatic variants is essential for understanding tumorigenesis, developing targeted therapies, and advancing precision oncology2,3,4. Typically, the detection of somatic variants relies on the comparison between tumor and matched normal samples, allowing for identifying somatic mutations from germline variants (including rare and de novo germline variants), and technical artifacts5,6. However, in many real-world clinical scenarios, matched normal is not always available7,8,9,10,11, necessitating developing tumor-only somatic variant caller.
Tumor-only somatic variant calling is challenging compared with calling in paired samples. Without the matched normal as a reference, distinguishing true somatic variants from germline variants is very challenging. It is difficult to distinguish somatic variants that have a variant allelic fraction (VAF) close to germline variants, especially since the number of germline variants in a sample is often two orders of magnitude more than somatic variants. It is also difficult to distinguish somatic variants with low VAF from background noise (i.e., sequencing errors, alignment artifacts, etc.) without using a paired normal as a reference. The tumor-only calling methods are required to accurately discriminate true somatic variants from germline variants and technical artifacts without a matched normal control. Endeavors have been made to solve the problem for Illumina short-read sequencing data. Several short-read tumor-only somatic variant callers are commonly used in recent studies8,11,12,13,14. These callers primarily use statistical methods designed for short-read data, which may not be applicable to long-read sequencing technologies such as Oxford Nanopore Technologies (ONT) and Pacific Biosciences (PacBio). Unlike short-read sequencing, long-read sequencing generates reads spanning thousands of bases, enabling better resolution of complex genomic regions and structural variants (SVs). However, it also exhibits higher sequencing error rates and distinct error profiles across different genomic regions15. Due to these advantages, long-read sequencing is increasingly relevant in cancer research5,6,16,17 and clinical diagnosis18,19, particularly for detecting disease-causing SVs and resolving challenging genomic architectures. Given this trend, there is a pressing need for efficient and accurate long-read somatic variant callers that work with tumor-only samples.
In this work, we present ClairS-TO (Tumor-Only), a long-read tumor-only somatic variant caller. ClairS-TO has its name stemmed from ClairS5, which requires paired tumor-normal samples for somatic variant calling. To maximize the algorithm’s own ability to tell somatic variant from germline and noise, ClairS-TO leverages an ensemble of two disparate neural networks that were trained from the same samples but for two exact opposite tasks—an affirmative neural network that determines how likely a candidate is a somatic variant, and a negational neural network that determines how likely a candidate is not a somatic variant. A posterior probability for each variant candidate is calculated from the outputs of the two networks and prior probabilities derived from the training samples. After the networks, ClairS-TO applies three techniques to further remove non-somatic variants: (1) Nine hard-filters that were found effective for short-read data are applied but with algorithms optimized or parameters tuned for long-read data; (2) Four panels of normals (PoNs), including three built from short-read datasets and one from long-read datasets are applied; and (3) a statistical method is applied to classify each variant into either a germline, somatic, or a subclonal somatic variant, using the estimated tumor sample purity and ploidy, as well as the copy number profile of each variant. To train the models, ClairS-TO depends on synthetic tumor samples and can be augmented using real tumor samples. Synthetic tumor sample combines the real sequencing reads of two samples and regards a germline variant that is specific to one sample as a somatic variant to the other sample. While somatic variants are scarce in real samples, the method can generate a number of training samples comparable to that of germline variants, providing sufficient samples to train a deep neural network robustly. The method also enabled fine-tuning the network using a much smaller number of somatic variants available in the real tumor samples, which is essential to allow the network to learn cancer-specific variant characteristics, such as mutational signatures20. We evaluated the performance of ClairS-TO using COLO829 (metastatic melanoma)21 and HCC1395 (breast cancer)22 cell lines. Both cancer samples are richly studied and with reliable truths for benchmarking. With ONT Q20+ long-read sequencing data, our experiments show that ClairS-TO consistently outperformed DeepSomatic (another long-read tumor-only somatic variant caller released after ClairS-TO) at multiple coverages, tumor purities, and VAF ranges. With PacBio Revio long-read data, ClairS-TO also outperformed DeepSomatic but with a smaller edge. ClairS-TO is optimized for long-read sequencing data but is also applicable to short-read data. Our experiments also show that ClairS-TO has outperformed Mutect2, Octopus, Pisces, and DeepSomatic at 50-fold coverage of Illumina short-read data.
Results
Overview of ClairS-TO
ClairS-TO comprises two disparate neural networks, the affirmative network (AFF) and the negational network (NEG), and is specifically designed for long-read tumor-only somatic variant calling. ClairS-TO offers two pre-trained models for inference: (1) a model trained exclusively on synthetic samples (ClairS-TO SS), and (2) a model initially trained on synthetic samples and further augmented with real samples (ClairS-TO SSRS), as illustrated in Fig. 1b. For the SS model training, synthetic tumors were created by combining variants from two biologically-unrelated individuals, where germline variants unique to one individual were treated as somatic variants to another individual in the mixed synthetic sample. ClairS-TO SSRS was then fine-tuned using the SS model weights with real cancer cell lines, as detailed in the “Methods—Training data preparation” section. Figure 1a provides an overview of the ClairS-TO somatic variant calling workflow. Following the ensembled network prediction, ClairS-TO applies three post-filtering steps: artifact filtering with nine hard-filters, germline variant tagging with four PoNs, and the Verdict module for distinguishing germline and somatic variants. Further details are described in the “Methods—ClairS-TO workflow and design” section.
a The three steps in the somatic variant calling workflow of ClairS-TO. In Step 1, the pileup inputs of variant candidates in the tumor are fed into the affirmative neural network (AFF) and the negational neural network (NEG) to obtain the probabilities of the candidate being a somatic variant and not being a somatic variant, respectively. In Step 2, a joint posterior probability \(P(\,{y|}({P}_{{\mathrm{AFF}}}\left(y|x\right),{1-P}_{{\mathrm{NEG}}}\left({\neg y}|x\right)))\) is calculated using the output probabilities from both networks for inference. \(P(y)\) is derived from the same samples used for training AFF and NEG. In Step 3, multiple post-processing strategies are applied to tag non-somatic variants. b The training workflow of ClairS-TO. ClairS-TO provides two types of pre-trained models: a model trained exclusively on synthetic tumor samples (ClairS-TO SS) and a model initially trained on synthetic tumor samples and then augmented with real tumor samples (ClairS-TO SSRS). c The data synthesis workflow of ClairS-TO. For example, using 90-fold coverage of GIAB HG002 (Sample A, with GIAB-known truth germline variants as GA) and 80-fold coverage of GIAB HG001 (Sample B, with GIAB-known truth germline variants as GB) from ONT WGS alignments as sources for synthetic tumor and normal, the alignments were split into smaller non-overlapping chunks with an average of 4-fold coverage. These smaller chunks were used to simulate synthetic tumors with varying coverages and different VAFs. For variants in the synthetic tumor (T), “Somatic” refers to GIAB truth germline variants present in A but not in B (T ∩ (GA−GB)); “Germline” refers to GIAB truth germline variants present in both A and B (T ∩ GA ∩ GB); and “Artifact” refers to variants not present in the GIAB truth germline variants of either A or B (T-GA-GB). When using Sample B as the tumor and Sample A as the normal, the definitions remain identical except for switching the subscripts. d The VAF distributions of synthetic somatic SNVs at simulated tumor purities of 100, 75, 50, and 25%, using either HG002 or HG001 as the tumor source. e The VAF distributions of real somatic SNVs in the four real cancer cell lines (i.e., HCC1937, HCC1954, H1437, and H2009).
Benchmarking datasets
We used two cancer cell lines COLO829 and HCC1395 for benchmarking. The truth somatic variants of COLO829 are provided by NYGC21, with a total of 42,993 SNVs and 985 Indels. The truths of HCC1395 are provided by the SEQC2 consortium22. We only used those labeled as “HighConf” (high confidence) and “MedConf” (medium confidence) in the high-confidence regions, with a total of 39,447 SNVs and 1602 Indels. To reflect the real performance of the callers and remove the false negative (FN) calls that are actually caused by no coverage or no alternative allele support at all in the input, we required a truth to be included for benchmarking if it has (1) coverage \(\ge\)4; (2) reads supporting an alternative allele \(\ge\)3; and (3) VAF \(\ge\)0.05.
Performance analysis on ONT
A summary of the ONT datasets used for model training and benchmarking is provided in Supplementary Table 1a. ClairS-TO SS was trained on synthetic datasets derived from GIAB HG002 and HG001 from the ONT EPI2ME Labs23. ClairS-TO SSRS was augmented from the SS model using four real cancer cell lines—HCC1937, HCC1954, H1437, and H2009—from Park et al.6. For performance evaluation, two well-established cancer cell lines, COLO829 and HCC1395, were used. Our evaluation involved comparing results with other callers, including Clair324, DeepSomatic6, and smrest16. Since Clair3 is a germline variant caller, we treated variants called by Clair3 as somatic, excluding those tagged by the PoNs used in ClairS-TO. DeepSomatic is a deep-learning-based somatic variant caller that supports tumor-only calling and is trained exclusively on real cancer cell lines. For benchmarking, we used the best-performing “multi-cancer” model, following the authors’ recommended practices. Smrest is a haplotype-resolved statistical method designed for tumor-only somatic SNV calling using long-read data. As reported in its publication, smrest is mainly designed for low tumor-purity data16. For all benchmarking methods, we followed the authors’ recommended pipeline and parameter settings.
Performance with different sequencing coverages
We evaluated ClairS-TO and other callers across three sequencing coverages: 25-, 50-, and 75-fold, considering that 25-fold coverage typically represents the throughput of one ONT R10.4.1 PromethION flow cell. We incrementally increased the coverage by one flow cell throughput, matching real-world clinical sequencing approaches to enhance variant discovery capacity.
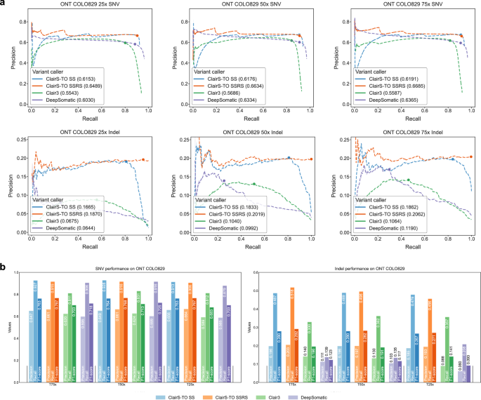
Figure 2a and Supplementary Table 2 showed the AUPRC (area under precision-recall curve) and the best achievable F1-score results of each caller. For the COLO829 dataset, ClairS-TO SSRS achieved 0.6489, 0.6634, and 0.6685 AUPRC for SNV at 25-, 50-, and 75-fold coverage, respectively. The improvement is more pronounced from 25- to 50-fold (+0.0145 AUPRC) compared with 50- to 75-fold (+0.0051 AUPRC). The SSRS model’s consistent outperformance against the SS model demonstrates that incorporating real samples during training enhances the ability to learn variant characteristics inherent in real tumors.
a Precision-Recall curves at 25-, 50-, and 75-fold tumor coverages of ONT COLO829. The dot on each dashed line indicates where the best F1-score was achieved. The area under the Precision-Recall curve (AUPRC) is shown in parentheses in the legend. b The performance of the best achievable F1-score, along with the corresponding precision and recall, at 25-, 50-, and 75-fold tumor coverages of ONT COLO829. Source data are provided as a Source data file.
Among other callers, Clair3 achieved an average AUPRC value of 0.5605 at the three coverages, underscoring the limitations of using a germline variant caller for somatic variant calling. DeepSomatic achieved AUPRC values 0.0459, 0.0300, and 0.0320 lower than those of ClairS-TO SSRS, respectively. In terms of the best achievable F1-score, as shown in Fig. 2b, ClairS-TO SSRS surpasses DeepSomatic by 6.38, 4.38, and 4.91% at the three coverages, respectively. This improvement highlights the advantage of augmenting training with both synthetic and real tumor samples.
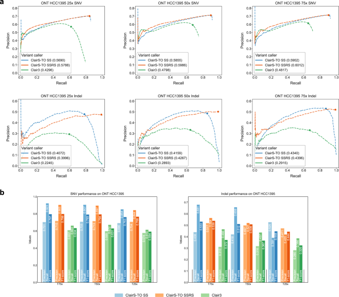
For the HCC1395 dataset, DeepSomatic was excluded from benchmarking because HCC1395 was part of its training data. The rationale for ClairS-TO’s decision to exclude HCC1395 entirely, and how this decision benefits the community by enabling more comprehensive performance comparisons between algorithms and tools in the long term, is explained in the “Methods—Training data preparation” section. As shown in Fig. 3a, b, ClairS-TO SSRS performed the best, achieving an average AUPRC of 0.5929 and an F1-score of 78.69% across the three coverages. The results across different datasets demonstrate that ClairS-TO consistently outperforms other callers under various coverage settings. Notably, ClairS-TO achieved ~92% recall across different coverages, comparable to ClairS, a tumor-normal-pair caller, making ClairS-TO a reliable option for identifying somatic variants of interest with clinical sequencing panels.
a Precision-Recall curves at 25-, 50-, and 75-fold tumor coverages of ONT HCC1395. The dot on each dashed line indicates where the best F1-score was achieved. The area under the Precision-Recall curve (AUPRC) is shown in parentheses in the legend. DeepSomatic was excluded from benchmarking with the HCC1395 WGS dataset because the sample was included in its model training. b The performance of the best achievable F1-score, along with the corresponding precision and recall, at 25-, 50-, and 75-fold tumor coverages of ONT HCC1395. Source data are provided as a Source data file.
Performance at different VAF ranges
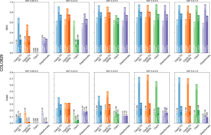
We also benchmarked ClairS-TO across different VAF ranges using 50-fold coverage of COLO829, as shown in Fig. 4 and Supplementary Table 3. In the low VAF range (0.05–0.2), low-mid VAF ranges (0.2–0.3, 0.3–0.4, and 0.4–0.5), and mid-high VAF range (0.5–1.0), ClairS-TO SSRS achieved F1-scores of 32.85, 75.35, 79.66, 80.90, and 77.60%. Across all VAF ranges, ClairS-TO consistently outperformed Clair3 and DeepSomatic, as detailed in Supplementary Table 3. Notably, ClairS-TO performed similarly in low-to-mid and mid-to-high VAF ranges. While higher VAFs typically yield better results, precision dropped in the mid-to-high range due to misclassified germline variants.
Performance on 50-fold coverage of ONT COLO829 across different VAF ranges, with VAF divided into five ranges: 0.05–0.2, 0.2–0.3, 0.3–0.4, 0.4–0.5, and 0.5–1.0. Source data are provided as a Source data file.
Performance at different tumor purities
In real-world clinical scenarios, tumor samples are often impure and sequenced with varying tumor purities. We evaluated the performance of ClairS-TO at different tumor purities—1.0, 0.8, 0.6, 0.4, and 0.2—by mixing normal samples into tumors in silico. The results for 50-fold coverage of COLO829 are shown in Fig. 5a and Supplementary Table 4a. ClairS-TO SSRS achieved AUPRC values from 0.6634 to 0.4797 across the five tumor purities, outperforming DeepSomatic by 0.0300 to 0.1919. ClairS-TO SSRS also outperformed smrest by 0.4419 and 0.2929 in 0.4 and 0.2 tumor purities, respectively. As shown in Fig. 5b, ClairS-TO SSRS achieved F1-scores from 76.83% to 66.99% across the five tumor purities, respectively. The performance decline was most pronounced when tumor purity dropped from 0.4 to 0.2, primarily due to a reduction in recall.
a Precision-Recall curves on 50-fold coverage of ONT COLO829 at five tumor purities: 1.0, 0.8, 0.6, 0.4, and 0.2. The dot on each dashed line indicates where the best F1-score was achieved. AUPRC is shown in parentheses in the legend. b The best achievable F1-score on 50-fold coverage of ONT COLO829 at five tumor purities: 1.0, 0.8, 0.6, 0.4, and 0.2. c Performance with or without the Verdict module. Notably, Verdict significantly improved performance, particularly when tumor purity is low, and is recommended to be enabled when the estimated purity is below 0.6. d The best achievable F1-score on 50-fold coverage of ONT COLO829 across different challenging genomic contexts, categorized into five groups: “Low complexity”, “Segmental duplications”, “Low mappability”, “Functional regions”, and “Other difficult regions”, as defined by GIAB Stratifications v3.3. e The best achievable F1-score on 50-fold coverage of ONT COLO829 using different PoNs or combinations for filtering. Source data are provided as a Source data file.
As shown in Fig. 5c and Supplementary Table 4b, ClairS-TO SSRS achieved F1-scores of 75.14, 74.95, and 66.99% at tumor purities of 0.6, 0.4, and 0.2, respectively, when using the Verdict module. Disabling Verdict resulted in F1-score decreases by 1.99, 4.38, and 7.81%. Notably, when tumor purity exceeds 0.6, the improvements are negligible. The results indicate that the Verdict module significantly reduces the misclassification of germline variants, particularly in tumor samples with low purity, even without a matched normal sample as a reference.
Performance across various genomic contexts
We benchmarked ClairS-TO using 50-fold coverage of COLO829 and categorized challenging genomic contexts into five categories: “Low complexity”, “Segmental duplications”, “Low mappability”, “Functional regions”, and “Other difficult regions”, as defined by GIAB Stratifications v3.325. The best achievable F1-scores are shown in Fig. 5d and Supplementary Table 5. ClairS-TO consistently outperformed DeepSomatic across all genomic contexts. Although ClairS-TO outperformed DeepSomatic by 11.11% and 13.69% in complex homopolymer and tandem repeat regions, the best F1-scores achieved by ClairS-TO SSRS were only 65.63% and 69.09%, respectively. The performance remains substantially below WGS benchmarks (67.36% versus 76.83%), highlighting the persistent challenges in somatic variant detection and the critical need for enhanced performance in complex genomic regions.
Benchmarking different network and training configurations
We evaluated the performance of various network configurations on 50-fold coverage of COLO829 using: (1) the default ensemble (AFF & NEG) in ClairS-TO, (2) the AFF network only (AFF only), and (3) the NEG network only (NEG only). As shown in Supplementary Fig. 1b and Supplementary Table 6b, the ClairS-TO SSRS model achieved an AUPRC of 0.6634 with the AFF & NEG ensemble, while AFF only achieved 0.6363 AUPRC, and NEG only achieved 0.6562 AUPRC. These results highlight the benefits of network ensembling for enhanced performance.
We also compared the performance of three ClairS-TO models: ClairS-TO SS, ClairS-TO RS, and ClairS-TO SSRS, using 50-fold coverage of COLO829. Specifically, ClairS-TO RS was trained from scratch using four real cancer cell lines (HCC1937, HCC1954, H1437, and H2009). As shown in Supplementary Fig. 1a and Supplementary Table 6a, ClairS-TO SS, ClairS-TO RS, and ClairS-TO SSRS achieved AUPRC values of 0.6176, 0.6582, and 0.6634, respectively. The superior performance of ClairS-TO SSRS demonstrates the importance of combining synthetic samples and real tumors for augmented training.
Analysis of introducing different PoNs for germline tagging
ClairS-TO utilizes four PoNs—gnomAD26, dbSNP27, 1000 G PoN28, and CoLoRSdb29—to tag non-somatic variants. As shown in Fig. 5e and Supplementary Table 6c, using 50-fold coverage of COLO829, ClairS-TO SSRS achieved F1-scores of 2.31, 39.56, 44.80, 3.87, 71.19, and 76.49% when using no PoNs, gnomAD only, dbSNP only, 1000 G PoN only, CoLoRSdb only, and all four PoNs, respectively. Precision improved by 62.86% when transitioning from no PoNs to using all four PoNs, with a total of ~3.37 million germline variants tagged. These results underscore the benefits of incorporating multiple PoNs, particularly CoLoRSdb, a PoN specifically designed for long-read data29. While the use of PoNs effectively identifies common germline variants, it may also inadvertently remove clonal hematopoiesis mutations if they are present in the PoNs, which is a limitation shared by most tumor-only methods relying on PoNs filtering.
Performance evaluation of different hard-filters
We further assessed the impact of nine hard-filters, the details of which are described in the “Methods—ClairS-TO workflow and design” section. Using 50-fold coverage of COLO829, the filters “MultiHap”, “NoAncestry”, “LowAltBQ”, “LowAltMQ”, “VariantCluster”, “ReadStartEnd”, and “StrandBias” removed 125, 26, 30, 1, 6541, 87, and 237 non-somatic variants, respectively. With these hard-filters applied, precision improved by 1.85%, demonstrating their effectiveness in eliminating germline variants and sequencing artifacts.
Performance analysis on PacBio
To validate the effectiveness of our training workflow and proposed post-filters, we also trained models on PacBio data, with a summary of the datasets used provided in Supplementary Table 1a. The ClairS-TO SS PacBio model was trained on a synthetic dataset derived from GIAB HG003 and HG004, sequenced on the PacBio Revio system. The ClairS-TO SSRS model was augmented from the SS model using four real cancer cell lines (HCC1937, HCC1954, H1437, and H2009) provided by Park et al.6. For benchmarking, we used 50-fold coverage of the PacBio COLO829. As shown in Fig. 6a and Supplementary Table 7a, ClairS-TO SSRS performed the best, achieving a 0.6667 AUPRC and a 78.64% F1-score, and outperformed DeepSomatic by 3.99% in F1-score.
a The Precision-Recall curves and the best achievable F1-score of SNV and Indel on coverage PacBio Revio COLO829 using ClairS-TO SS, ClairS-TO SSRS, Clair3, and DeepSomatic. The dot on each dashed line represents the best F1-score achieved. AUPRC is shown in parentheses in the legend. b The Precision-Recall curves and the best achievable F1-score of SNV and Indel on 50-fold coverage of Illumina COLO829 using ClairS-TO SS, ClairS-TO SSRS, DeepSomatic, Mutect2, Octopus, and Pisces. The dot on each dashed line represents the best F1-score achieved. AUPRC is shown in parentheses in the legend. Source data are provided as a Source data file.
Performance analysis on Illumina
Short-read tumor-only somatic variant calling has been extensively studied7,8,9,10,11,12,13,14,30,31,32, with numerous notable methods developed, such as Mutect212, Octopus13, and Pisces14. ClairS-TO was primarily designed for long-read sequencing data but can be adapted to short-read data by excluding long-read-specific post-filters, such as long-read PoNs, variant phasing, and the “MultiHap” and “NoAncestry” filters. For training, we used GIAB HG003 and HG004 for the SS model and augmented the SSRS model with four real cancer cell lines (HCC1937, HCC1954, H1437, and H2009). All datasets were sequenced on Illumina’s latest HiSeq X or NovaSeq 6000 platforms, with more details provided in Supplementary Table 1a.
Figure 6b and Supplementary Table 7b showed the results of ClairS-TO compared to other short-read tumor-only somatic variant callers. ClairS-TO SSRS achieved AUPRC values of 0.6500 and F1-scores of 76.99% at 50-fold coverage of COLO829, surpassing DeepSomatic, Mutect2, Octopus, and Pisces by 15.10, 18.83, 36.69, and 54.59% in F1-score. These results demonstrate that ClairS-TO achieves competitive performance on short-read data and could serve as a supplementary tool for ensemble analysis in short-read workflows.
Indel performance analysis
Indel variant detection is more challenging compared to SNVs, primarily due to two reasons: (1) Long-read technologies exhibit higher error-rate in complex regions, such as homopolymer and tandem repeat regions, leading to substantial Indel artifacts that hinder the detection of true somatic Indels with low VAF; and (2) The number of somatic Indels is inherently limited. For instance, only around 2000 somatic Indels are reported in HCC1395 or COLO829 cell lines, resulting in an insufficient number of Indels from real samples for comprehensive model training and benchmarking currently. While tumor-only somatic Indel detection performance remains limited, we provide the following results as a baseline for future improvements.
As shown in Figs. 2a, 6a, b, ClairS-TO SSRS achieved AUPRC values of 0.2019, 0.1972, and 0.2334 on ONT, PacBio, and Illumina 50-fold coverage of the COLO829 dataset, respectively. ClairS-TO consistently outperformed DeepSomatic and other short-read callers, as detailed in Supplementary Table 2, with similar trends observed in benchmarking at different coverages or using the HCC1395 cell line. Despite ClairS-TO performing the best among the evaluated tools, recall remains capped at ~50%, highlighting the need for further improvements to achieve reliable somatic Indel detection.
Regarding the performance at different Indel lengths and in different sequence contexts, as shown in Supplementary Fig. 2b and Supplementary Table 8a, ClairS-TO has demonstrated better accuracy for longer Indels (\(\ge \!{5\,{\rm{bp}}}\)) compared to shorter Indels (1–4 bp), with an overall F1-score 35.35% versus 26.80%. This is primarily due to the sequencing artifacts that predominantly affect 1–3 bp gaps, making shorter somatic Indels more challenging to detect. Moreover, we also analyzed the Indel performance in different challenging genomic regions. As shown in Supplementary Fig. 2a and Supplementary Table 5, ClairS-TO’s Indel recall rises to ~80% when excluding all difficult regions, indicating that the difficult regions are the major source of Indel errors. We further analyzed the distribution of Indel FPs, as shown in Supplementary Table 8b, the majority are high-confidence germline Indels, and excluding them significantly improves precision to ~90% in non-difficult regions.
Analysis of false positive and false negative calls
We manually analyzed 300 false positive (FP) calls and 300 FN calls randomly selected from 50-fold coverage of ONT COLO829. Each FP and FN was assigned with a primary and a secondary reason, as shown in Fig. 7 and Supplementary Data 1.
Pie charts illustrate the distributions of primary reasons for FPs and FNs in ClairS-TO. A total of 300 FPs and 300 FNs were randomly selected from the calling results on 50-fold coverage of ONT COLO829. Regarding FPs, 61% were heterozygous germline variants, and 14% were homozygous germline variants. The distribution of the remaining FPs (excluding germline variants) is also shown. A major category among these FPs is caused by alignment artifacts in complex genomic contexts, including 18% in segmental duplication regions, 12% in tandem repeat regions, 7% in low-mappability regions, and 5% in homopolymer regions, as defined by GIAB Stratifications v3.3. Regarding FNs, 35% were “Filtered by PoNs” and 18% were “Filtered by VariantCluster”, both resulting from post-processing steps. A major category among the remaining FNs (excluding those incorrectly filtered) is also located in complex regions, including 21% in tandem repeat regions, 21% with one or more deletions in the flanking 50 bp, 14% with excessive mismatches in alignment, 10% with one or more insertions in the flanking 50 bp, 10% in segmental duplication regions, 9% in homopolymer regions, and 7% in low-mappability regions. Source data are provided as a Source data file.
Regarding FPs, 61% were heterozygous germline variants, and 14% were homozygous germline variants called as germline in Clair3 but as somatic in ClairS-TO. Although most germline variants were tagged by PoNs, the remaining individual germline variants accounted for the majority of FPs. For example, a germline variant with a VAF of 0.6167 at chr3:145,978,865 was called as somatic with a QUAL score of 74.86 in ClairS-TO but as a heterozygous germline with a QUAL score of 28.77 in Clair3. This FP was called due to that ClairS-TO has insufficient evidence to classify it as a germline variant. Among the remaining FPs, 17% and 12% were not reported in the COLO829 truth set, with tumor VAF in the ranges of 0.05 \(\le\) VAF \( < \) 0.1 and 0.1 \(\le\) VAF \( < \) 0.15, respectively. These variants, some of which are called only with long-read data, might have a chance to be correct and be added to the truth set in the future with additional sequencing coverage and orthogonal validations. Another major category of FPs is caused by alignment artifacts in complex genomic contexts, including 18% in segmental duplication regions, 12% in tandem repeat regions, 7% in low-mappability regions, and 5% in homopolymer regions. These issues might be mitigated as sequencing errors in complex regions are reduced.
Regarding FNs, 35% were filtered by PoNs, and 18% were filtered by the “VariantCluster” hard-filter. While these post-filters result in the loss of some true variants, they provide a more substantial improvement in precision. Among the remaining FNs, 8% of the truth variants were missed due to low tumor VAF (VAF \( < \) 0.1) or insufficient supporting reads (variant allele depth \( < \) 3), which could potentially be detected at a higher coverage. Other categories of FNs were identified in complex genomic regions, including 21% in tandem repeat regions, 21% with one or more deletions in the flanking 50 bp, 14% with excessive mismatches in alignment, 10% with one or more insertions in the flanking 50 bp, 10% in segmental duplication regions, 9% in homopolymer regions, and 7% in low-mappability regions.
Model interpretability analysis
ClairS-TO uses the ensemble of two networks (AFF and NEG, more details are given in the “Methods” section) for a more comprehensive variant calling performance. As shown in Supplementary Fig. 5a, b, we randomly selected two cases to demonstrate the effectiveness of ClairS-TO’s model ensembling. In the ONT COLO829 dataset, for the C->A variant at chr21:10,345,275, the AFF network favored the reference base (58.07% vs 43.30% confidence), while the NEG network rejects the reference with 65.65% confidence. Similarly, for another T->A variant at chr12:61,056,821, the AFF network predicts the variant correctly (62.10% vs 42.43%) despite NEG’s 58.39% rejection confidence. In both cases, Bayesian integration of these complementary network prediction yielded correct predictions (58.32% and 54.61% confidence, respectively). These two cases demonstrate the advantages of ensembling AFF & NEG networks over single-network prediction.
Moreover, to visualize feature importance patterns in our networks, we performed the saliency-map-alike integrated gradients (IG) analysis33, a method to compute input feature contributions by analyzing gradients of model outputs relative to input tensor. As visualized in Supplementary Fig. 6a, b, the IG features reveal that the AFF and NEG networks have learned to focus on different positions and features in the inputs. According to the IG feature maps, the central genomic position contributes most significantly to the model outputs, especially for the A/C/G/T features in forward and reverse strands. The flanking bases also demonstrate measurable influence on prediction confidence.
Discussion
In this study, we present ClairS-TO, a deep-learning-based method for long-read tumor-only somatic variant calling. Our experiments have shown that ClairS-TO is the best-performing caller on ONT and PacBio long-read data. When trained with short-read sequencing data, ClairS-TO has also shown an edge over well-established short-read tumor-only somatic variant callers. More experiments at multiple coverages, tumor purities, and VAF ranges show that ClairS-TO has maintained the lead. Ablation studies have demonstrated the effectiveness of each component and the solution as a whole.
ClairS-TO uses synthetic tumor samples for model training and can use any number of real tumor samples with verified somatic variant truths for fine-tuning. The practically unlimited number of somatic variants that can be generated from synthesizing tumor samples provide a foundation of using deep-learning for somatic variant calling before more real tumor samples of different cancer types with verified truths are available, considering (1) a model trained only on real tumor samples might risk of overfitting when applied to a cancer type that was not included in training—it is impractical to expect for a model training only on real tumor samples to have a full coverage of all cancer types, and (2) the number of somatic variants in a real sample only ranged from 10 to 100k, which is two orders of magnitude fewer than the germline variants a real sample could offer for model training—it takes more efforts and longer to reach the same number of true variants for training as what we had for deep-learning-based germline variant calling if real tumor sample is the only source. Without a paired normal sample for reference, a tumor-only somatic variant caller is required to not only be capable of extracting variant signals, but also telling somatic variants apart from germline variants and background noise. ClairS-TO uses an ensemble of two neural networks of completely different architectures that were trained from the same samples but for two exact opposite tasks—an affirmative neural network predicts how likely a candidate is a somatic variant and a negational neural network predicts how likely a candidate is not a somatic variant. A false variant that is predicted positive by the affirmative neural network would have a chance to be rejected by a negational prediction from the negational neural network. ClairS-TO uses publicly available and user-supplied PoNs to further remove germline and false variants. Our study found that CoLoRSdb, which was built from long-read sequenced samples, has significantly outperformed 1000 G PoN, gnomAD, and dbSNP, which were built primarily based on short-read sequenced samples, in removing non-somatic variants called with long-read data. This urges the community to make public more high-quality long-read sequenced samples for a more comprehensive PoN to further improve the quality of long-read tumor-only somatic variant calling. It also highlights the need to resequence some samples that were used for building in-house PoNs using long-read data. The Verdict module that statistically distinguishes somatic variant from germline according to a difference in the expected VAF at different tumor purity, tumor ploidy, and variant copy number profile, was found to be very effective for filtering germline variants, especially when the tumor purity is relatively low, which is often the case of real cancer samples. For complex clonal variants, we can enhance our synthetic data workflow by mixing more samples to synthetize tumor clonal architecture for model training. However, the main efforts of the current method remain on distinguishing true somatic variants from germline variants and artifacts for better accuracy. In current ClairS-TO designs, we rely on post-tagging modules like Verdict to identify clonal and subclonal variants.
Albeit ClairS-TO has outperformed the other callers on all three sequencing platforms, the overall tumor-only Indel calling performance remains low, primarily due to the inherent difficulty in detecting somatic variants within complex genomic regions, and the inability to effectively filter out germline Indels. There is room for further improvement in Indel performance by using more comprehensive PoNs to identify germline Indels. Additionally, employing error-correction tools, such as HERRO34, before variant calling might improve Indel calling performance, particularly in complex genomic regions. Furthermore, advancements in read quality are necessary, which can be achieved through improved sequencing chemistries and base calling techniques.
Inspired by the approach using haplotype-resolved SVs on cancer genome35, we believe that the integration of haplotype-resolved SVs is a promising direction for improving tumor-only somatic variant detection. Future developments will focus on leveraging long-read SVs to resolve ambiguous small variants affected by large genomic alterations. These advancements, combined with ongoing improvements in long-read sequencing quality, will further enhance the clinical utility of tumor-only sequencing approaches.
Methods
Training data preparation
Generating synthetic tumor samples for ClairS-TO SS (synthetic sample) model training
Model training based on synthetic tumor samples was proven effective in the absence of sufficient real tumor samples for model training5. The strategy works based on the observation that a germline variant unique to a sample can be considered as a somatic variant when mixed into another sample. The strategy also ensures the synthetic data captures the full spectrum of VAF distributions, particularly the predominance of low-frequency variants, that is the characteristic of real tumors across diverse cancer types, as shown in Fig. 1d, e. Despite the somatic variants are synthetic, the sequencing errors in synthetic data are real and, in principle, have no difference from real sequencing data. A detailed workflow is shown in Fig. 1c. Using, for example, GIAB HG002 (hereafter referred to as sample A) and GIAB HG001 (B) as sources, the alignments of two samples were split into smaller non-overlapping chunks of about 4-fold coverage each. The small chunks can then be combined to simulate different coverages (through controlling the total number of chunks) and different VAF (through controlling the proportion of chunks from each sample). During the synthesis, three categories of variants, namely “Somatic”, “Germline”, and “Artifact”, can be derived. “Somatic” are those true germline variants unique to A and not in B, or vice versa. “Germline” are those true germline variants that appear in both A and B. “Artifact” are those variant candidates in the synthetic tumor sample but are not germline variants according to the truths. Only the variants in the intersection of GIAB high-confidence regions of A and B were used for model training. For the “Somatic” and “Germline” variants, we required a minimum coverage of four and a minimum of three reads supporting the variant allele. A summary of different synthetic samples, allelic fraction distributions, and variant categories is shown in Fig. 1d and Supplementary Fig. 3a.
Using real cancer cell-line samples for ClairS-TO SSRS (synthetic sample and real sample) model training
The generation of synthetic tumor samples can theoretically offer an unlimited number of variants at any tumor purity, normal contamination, or allelic fraction for model training. The synthetic samples also covering the sequencing error profile well since the reads used for synthesis are real sequencing reads. However, the synthetic samples are unable to cover cancer-specific and cancer-type-specific characteristics, such as mutational signatures20. These characteristics only exist in and can only be learned from real tumor samples. Actually, a model agnostic of these characteristics has no problem being used for somatic variant calling, but a model that realizes these characteristics has the potential to achieve better performance.
Park et al.6 and Keskus et al.17 have released five pairs of real cancer cell-line sample datasets (HCC1395/BL, HCC1937/BL, HCC1954/BL, H1437/BL, and H2009/BL) and used them for model training in DeepSomatic and Severus with success. The real cancer datasets released by the two studies have also enabled ClairS-TO to fine-tune its synthetic samples-based model and achieve further performance improvements. Unlike DeepSomatic, which only relies on real samples for training, ClairS-TO provided two models, the SS model, pretrained on synthetic data, and the SSRS model, that was fine-tuned on real tumor samples to learn real-tumor signatures.
In addition to excluding chromosome 1 from training, ClairS-TO uses only four real tumor samples (i.e., HCC1937, HCC1954, H1437, and H2009) for model training, and left out the entire HCC1395 cell line for benchmarking purposes. This is unlike DeepSomatic, where they exclusively use all real tumor samples (including HCC1395) in model training. To our best knowledge, HCC1395 and COLO829 cancer cell lines are so far the two best studied tumor samples with the most confident somatic variants called and reported based on both short-read and long-read sequencing data. HCC1395, particularly, has its truth variants curated by the SEQC2 consortium that involves multiple institutes. However, due to the relatively lower number of somatic variants a real tumor sample usually has, HCC1395 has only 39,560 truth SNVs and 1922 Indels, and if narrowed down to chromosome 1, only 3457 SNVs and 147 Indels, leading to insufficient statistical power for reliable performance comparison. In fact, ClairS-TO will benefit from adding HCC1395 to model training, but we have chosen to exclude it to allow future comparisons between ClairS-TO and other works based on the whole HCC1395 cell line. On the other hand, HCC1397 and HCC1954, that we have chosen for model training, are breast cancer cell lines. Thus, excluding HCC1395, which is also a breast cancer cell line, would be of a lower risk of missing cancer-type-specific characteristics to be learned by ClairS-TO.
“Somatic” and “Germline” variants are provided by Park et al. as VCF files. “Artifact” are those variant candidates in high-confidence regions but were not marked as Somatic or Germline. Similar to synthetic samples, we required a minimum coverage of four and a minimum of three reads supporting the variant allele for Somatic and Germline variants. A summary of different real samples, allelic fraction distributions, and variant categories is shown in Fig. 1e and Supplementary Fig. 3b.
ClairS-TO workflow and design
Overview
Figure 1a shows an overview of the ClairS-TO somatic variant calling workflow. Given the alignments in the BAM/CRAM format of a tumor sample, ClairS-TO goes through three steps to call the somatic variants and outputs them into a VCF file. In step 1, genome positions with alternative allele supports are chosen as variant candidates, summarized into pileups and converted into tensors, and fed into both the AFF and NEG to calculate the probabilities of a candidate being an allele as well as not being an allele. In step 2, a posterior probability is computed using the outputs of AFF and NEG, as well as a matrix of prior probabilities derived from the training samples. In step 3, hard-filters, PoNs, and the Verdict module are applied to remove germline and false variants. When compared to other somatic variant callers like ClairS5 and DeepSomatic6, the main designs of ClairS-TO include: (1) an ensemble of CvT-based and Bi-GRU-based networks, (2) Bayesian joint posterior probability for enhanced prediction, (3) multiple hard-filters for comprehensive germline tagging, and (4) a copy number profile, tumor purity, and ploidy estimation module for clonal variant tagging.
Step 1: AFF network and NEG network
Principally, every genome position is a variant candidate that can be sent to the neural networks for variant calling. However, very low-coverage positions and those with very low VAF or no alternative allele support are nonstarters that could be excluded. ClairS-TO by default requires a variant candidate to have (1) a minimum coverage of four; (2) three or more alternative allele support reads; and (3) a minimum VAF of 0.05. The alignments at each chosen variant candidate are then summarized into features required by the pileup input. The design of the pileup input is elaborated in Supplementary Information—Pileup input. For each variant candidate, the same pileup input is then fed into both the AFF network and NEG network for inference. AFF outputs the probability of a variant candidate being allele “A”, “C”, “G”, or “T”. NEG outputs the probability of a variant candidate NOT being allele “A”, “C”, “G”, or “T”. When Indel calling is enabled, an additional AFF network and NEG network with the output extended with allele “I” (Insertion) and “D” (Deletion) are used solely for Indel calling. The reasons that we use two separate sets of networks for SNVs and Indels respectively are based on our observation that (1) There exists an order of magnitude more reliable somatic SNVs than somatic Indels for us to train and fine-tune our models—using a single model for calling both SNVs and Indels surprisingly lowered the performance of calling SNVs, and (2) Indel calling is not always required in tumor-only somatic variant calling usage scenarios—using separated models can speed up the calling in some usage scenarios.
The choice of network architecture for AFF and NEG
The AFF network uses a convolutional vision transformer (CvT)36. It is an architecture that incorporates convolution into the transformer. The use of multi-head self-attention and position-wise feed-forward module in CvT makes it excel in modeling the global relations in the input, which makes it suitable for making use of the undiscoverable signals in the flanking alignments of a candidate variant. The aim of introducing the NEG network and using an ensemble of two networks is to mitigate the effects of aleatoric uncertainty on predictions, thus, the architecture of the NEG is supposed to be as different from that of the AFF as possible. We have chosen Bidirectional-GRU as the network architecture of NEG, which is more computationally efficient than but as effective as Bidirectional-LSTM, which was proven to be successful in handling pileup input in Clair3.
Step 2: combining the results of AFF and NEG using Bayesian method
The AFF network outputs \({P}_{{\mathrm{AFF}}}(\,{y|x})\), where x is the input, and y is four possible somatic variant alleles “A”, “C”, “G”, or “T”. Similarly, NEG network outputs \({P}_{{\mathrm{NEG}}}({\neg y|x})\). Ideally, for a variant candidate, \({P}_{{\mathrm{AFF}}}(\,{y|x})\) should equal to \({1-P}_{{\mathrm{NEG}}}({\neg y|x})\), that is \({P}_{{\mathrm{AFF}}}(\,{y|x})\) and \({1-P}_{{\mathrm{NEG}}}({\neg y|x})\) should be complementary. But it is not always the case because the two probabilities were given by two different models using different network architectures, thus, they can make different mistakes. What we expected to see is that in some tricky cases, one network is making a mistake while the other could still make a correct prediction. Therefore, a step is needed to combine the two probabilities. We used Bayesian method to combine the two probabilities, calculated as:
where \(P(y)\) is the prior probability that can be derived from the synthetic tumor samples through counting the proportion of positive training samples at each combination of \({P}_{{\mathrm{AFF}}}(\,{y|x})\) and \({1-P}_{{\mathrm{NEG}}}({\neg y|x})\). The distribution of \(P(y)\) is shown in Supplementary Fig. 4. \(P({\neg y})\) equals to \(1-P(y)\). The method (1) reinforces agreement—if both models assign high probabilities to the same allele, the combined probability for that allele increases significantly, and (2) mitigates disagreement—if the models disagree, the multiplication reduces the combined probability, reflecting uncertainty.
Step 3a: the design of the nine hard-filters to remove false variant calls
-
1.
Exists in two haplotypes: somatic variants that have a single haplotype origin (either maternal or paternal) should be considered more reliable than those with multiple haplotype origins, except for somatic variants with high VAF that might be a result of copy number alteration or clonal duplication. Input alignments are phased using WhatsHap37 or LongPhase38. Variants with the alternative allele existing in more than one haplotype are tagged as “MultiHap”.
-
2.
No ancestral haplotype support: a somatic variant is considered supported by an ancestral haplotype if the haplotype containing the somatic variant is believed to originate from one of the ancestral haplotypes. Any variants that cannot be found with a supporting ancestral haplotype are tagged as “NoAncestry”.
-
3.
Low base quality (BQ): if the average BQ of the alternative alleles \( < \)T, the candidate is tagged as “LowAltBQ”. T set to 20 as the default.
-
4.
Low mapping quality (MQ): if the average MQ of the alternative alleles \( < \)T, the candidate is tagged as “LowAltMQ”. T set to 20 as the default.
-
5.
Variant cluster: if three or more variants were called within 200 bp, these variants are tagged as “VariantCluster”.
-
6.
Read start/end artifacts: mismatches at the start or end of reads are less reliable due to sequencing and alignment artifacts. If \( > \)30% of the supporting alternative alleles of a variant are within the 100 bp from the start or end of reads, the candidate is tagged as “ReadStartEnd”.
-
7.
Strand bias. if the two-tailed p value of Fisher Exact Test on the count of forward and reverse strand with alternative allele support against an even distribution is \( < \)0.001, a variant is tagged as “StrandBias”.
-
8.
Realignment effect (for short-read data only): after realignment, if the count of alternative allele supports and VAF both decreased, a variant is tagged as “Realignment”.
-
9.
Low sequence entropy: an Indel is more likely to be a false call when the adjacent sequences are of low complexity. For each Indel variant, if the sequence entropy39 of the 5-mers of the flanking 32 bp from the reference genome is \( < \)0.9, the candidate is tagged as “LowSeqEntropy”.
Step 3b: Panels of normals (PoNs)
As a common practice of tumor-only somatic variant calling6,12, ClairS-TO also uses PoNs to tag non-somatic variants. ClairS-TO by default uses four sources of PoNs, including gnomAD26, dbSNP27, 1000 genomes project (1000 G) PoN28, and Consortium of Long Read Sequencing Database (CoLoRSdb)29. The original gnomAD r2.1, dbSNP v138, and 1000 G PoN databases were downloaded from GATK. After choosing the variants that are with VAF\(\ge\)0.001 and non-somatic, 35,551,905, 60,683,019, and 2,609,566 have remained for constructing a PoN. The use of CoLoRSdb as a PoN for long-read somatic variant calling was seen in Park et al. and being introduced into ClairS-TO since version v0.3.0. After choosing those with VAF\(\ge\)0.001, 49,550,902 variants remained for a PoN. We required exact allele matching for a variant to be tagged as non-somatic for gnomAD and dbSNP, and positional matching for 1000 G PoN and CoLoRSdb. Users can also use the “--panel_of_normals” option to make use of additional PoNs and choose whether to require exact allele or positional matching.
Step 3c: verdict, a statistical method to distinguish somatic variant from germline
Verdict in ClairS-TO tags the neural network called variants as either a germline, somatic, or subclonal somatic variant. Verdict’s idea and algorithm are similar to and improved from SGZ11. Verdict has three steps, including (1) finding copy number segments, (2) estimating tumor purity, tumor ploidy, and the copy number profile, and (3) binomial tests, as illustrated in Supplementary Fig. 7. SGZ suggested using ASCAT40 to estimate tumor purity, tumor ploidy, and the copy number profile of each variant. We rewrote ASCAT in Python from R so that it could be integrated into Verdict and run reasonably fast. ASCAT uses the LogR (log ratios, representing log-transformed copy numbers derived from sequencing depth) and BAF (B allelic fraction, describing the allelic imbalance of variants) of germline heterozygous variants as input. LogR is calculated by normalizing the read coverage of the tumor sample. BAF is calculated by dividing the signal intensities of minor alleles by those of major and minor alleles. ASCAT uses the LogR and BAF distributions to segment the genome into multiple regions with constant copy number states, identifying breakpoints based on LogR and BAF value changes. Next, ASCAT estimates tumor purity and ploidy by evaluating the goodness of fit for a grid of possible values for tumor purity and ploidy. Using the fact that true copy numbers are nonnegative whole numbers, ASCAT seeks values for tumor purity and ploidy such that the copy number estimates are as close as possible to nonnegative whole numbers for germline heterozygous variants. Then, the allelic fraction of each variant is used as input to two binomial tests that decide whether a variant is more likely to be germline, somatic, or subclonal somatic. The two binomial tests are calculated as follows using the tumor purity, tumor ploidy, and copy number profile as inputs. The two-tailed p value of the somatic hypothesis (\({p}_{{somatic}}\)) is calculated as:
where \(n\) is the read depth, \(f\) is the allelic fraction, \({{AF}}_{{somatic}}\) is the expected allelic fraction of the variant being a somatic, calculated as:
where \(p\) is the tumor purity, \(C\) is the copy number, and \(V\) is the variant allele count in the tumor. The p value of the germline hypothesis (\({p}_{{germline}}\)) is calculated as:
where \({{AF}}_{{germline}}\) is the expected allelic fraction of the variant being a germline, calculated as:
Verdict tags a variant as (1) somatic if \({p}_{{somatic}}\) is greater than 0.001 and \({p}_{{germline}}\) is lower than 0.001; (2) germline if \({p}_{{somatic}}\) is lower than 0.001 and \({p}_{{germline}}\) is greater than 0.001; or (3) subclonal somatic if both \({p}_{{somatic}}\) and \({p}_{{germline}}\) are lower than 0.001, tumor purity is greater than 0.2, and \(f < {{AF}}_{{somatic}}/\gamma\), where \(\gamma\) is a tunable parameter with a default of 1.5.
Output
ClairS-TO supports VCF format output. A variant call is tagged as “LowQual” if the variant quality is low (i.e., QUAL\( < \)4, configurable by option); “NonSomatic” if exists in PoNs; “MultiHap”, “NoAncestry”, “LowAltBQ”, “LowAltMQ”, “VariantCluster”, “ReadStartEnd”, “StrandBias”, “Realignment”, or “LowSeqEntropy” if not passing a corresponding hard-filter; and “Verdict_Germline”, “Verdict_Somatic”, or “Verdict_SubclonalSomatic” as predicted by the Verdict module. For each variant, the support information, such as allelic fraction, read depth, and allele depth of both strands are given in the VCF file.
Benchmarking
We used “som.py” in Illumina’s Haplotype Comparison Tools41 to generate precision, recall, and F1-score metrics. The “compare_vcf” submodule in ClairS-TO generates the same metrics and has automated the exclusion of unqualified truth variants. We cross-validated the metrics generated by both “som.py” and “compare_vcf”. The command lines we used to run each caller and benchmarks are given in the Supplementary Information—“Command lines used” section.
Computational performance
ClairS-TO was implemented primarily with Python and PyTorch, with performance-critical parts written in C++ or accelerated with PyPy. ClairS-TO’s model training and model fine-tuning can be done on the Nvidia GPU with VRAM \(\ge\)6 GB, due to its lightweight pileup-based architecture (Both the AFF and the NEG networks have less than 2.4 millions parameters). Our model training completed in 6 h on an NVIDIA RTX 3090 GPU. We have also tested model training and fine-tuning on several other GPUs, including the RTX 1080 Ti, 2080 Ti, and 4090. Based on these tests, we confirm that the model can be trained and fine-tuned on most modern mid-range GPUs, which are commonly available in research workstations. For variant calling, ClairS-TO requires only CPU resources. Using two 12-core Intel Xeon Silver 4116 processors, ClairS-TO finished variant calling on 50-fold coverage of ONT Q20 + COLO829 WGS data in 214 min, using 1 GB of memory per process at peak. In comparison, DeepSomatic used 516 min. For 50-fold coverage of Illumina COLO829 WGS data, ClairS-TO, Mutect2, Octopus, and Pisces took 211, 971, 3211, and 1785 min, respectively.
Reporting summary
Further information on research design is available in the Nature Portfolio Reporting Summary linked to this article.
Data availability
The HG001 and HG002 ONT sequencing data used in this study were from the ONT EPI2ME Labs (https://labs.epi2me.io/giab-2023.05/). The HG003 and HG004 PacBio HiFi sequencing data were from the PacBio company (https://downloads.pacbcloud.com/public/revio/2022Q4/). The Illumina NovaSeq and HiSeq X sequencing data for HG003 and HG004 were from the Google Brain Genomics Sequencing Dataset (https://registry.opendata.aws/google-brain-genomics-public/). The sequencing data for real cancer cell lines, including HCC1395, HCC1937, HCC1954, H1437, and H2009, were from Park et al.6 (https://console.cloud.google.com/storage/browser/brain-genomics-public/publications/park2024_deepsomatic/bams). The COLO829 ONT sequencing data was from the ONT EPI2ME Labs (https://labs.epi2me.io/colo-2024.03/). The COLO829 PacBio HiFi sequencing data was from the PacBio company (https://downloads.pacbcloud.com/public/revio/2023Q2/COLO829/). The COLO829 Illumina NovaSeq sequencing data was from the dbGaP Collection under accession number phs000688.v1.p1. All data used in this study are listed in the Supplementary Information—Data availability section. All analysis output, including the VCFs, are available at http://www.bio8.cs.hku.hk/clairs-to/analysis_result. Source data are provided with this paper.
Code availability
ClairS-TO is open source and available at https://github.com/HKU-BAL/ClairS-TO under the BSD 3-Clause license. Multiple installation options are available for ClairS-TO, including Docker, Singularity, and Conda. ClairS-TO is also available in Zenodo42.
References
Bailey, M. H. et al. Comprehensive characterization of cancer driver genes and mutations. Cell 173, 371–385. e318 (2018).
Perera-Bel, J. et al. From somatic variants towards precision oncology: evidence-driven reporting of treatment options in molecular tumor boards. Genome Med. 10, 1–15 (2018).
Sottoriva, A. et al. Intratumor heterogeneity in human glioblastoma reflects cancer evolutionary dynamics. Proc. Natl. Acad. Sci. USA 110, 4009–4014 (2013).
Weinstein, J. N. et al. The Cancer Genome Atlas Pan-Cancer Analysis Project. Nat. Genet. 45, 1113–1120 (2013).
Zheng, Z. et al. ClairS: a deep-learning method for long-read somatic small variant calling. Preprint at bioRxiv, https://doi.org/10.1101/2023.08.17.553778 (2023).
Park, J. et al. DeepSomatic: Accurate somatic small variant discovery for multiple sequencing technologies. Preprint at bioRxiv, https://doi.org/10.1101/2024.08.16.608331 (2024).
Del Corvo, M., Mazzara, S. & Pileri, S. A. TOSCA: an automated tumor only somatic calling workflow for somatic mutation detection without matched normal samples. Bioinform. Adv. 2, vbac070 (2022).
Halperin, R. F. et al. A method to reduce ancestry related germline false positives in tumor only somatic variant calling. BMC Med. Genom. 10, 1–17 (2017).
Halperin, R. F. et al. Leveraging spatial variation in tumor purity for improved somatic variant calling of archival tumor only samples. Front. Oncol. 9, 119 (2019).
Kalatskaya, I. et al. ISOWN: accurate somatic mutation identification in the absence of normal tissue controls. Genome Med. 9, 1–18 (2017).
Sun, J. X. et al. A computational approach to distinguish somatic vs. germline origin of genomic alterations from deep sequencing of cancer specimens without a matched normal. PLoS Comput. Biol. 14, e1005965 (2018).
Benjamin, D. et al. Calling somatic SNVs and indels with Mutect2. Preprint at bioRxiv, https://doi.org/10.1101/861054 (2019).
Cooke, D. P., Wedge, D. C. & Lunter, G. A unified haplotype-based method for accurate and comprehensive variant calling. Nat. Biotechnol. 39, 885–892 (2021).
Dunn, T. et al. Pisces: an accurate and versatile variant caller for somatic and germline next-generation sequencing data. Bioinformatics 35, 1579–1581 (2019).
Ameur, A., Kloosterman, W. P. & Hestand, M. S. Single-molecule sequencing: towards clinical applications. Trends Biotechnol. 37, 72–85 (2019).
Simpson, J. T. Detecting somatic mutations without matched normal samples using long reads. Preprint at bioRxiv, https://doi.org/10.1101/2024.02.26.582089 (2024).
Keskus A. et al. Severus detects somatic structural variation and complex rearrangements in cancer genomes using long-read sequencing. Nat. Biotechnol. https://doi.org/10.1038/s41587-025-02618-8 (2025).
Oehler, J. B., Wright, H., Stark, Z., Mallett, A. J. & Schmitz, U. The application of long-read sequencing in clinical settings. Hum. Genom. 17, 73 (2023).
Mantere, T., Kersten, S. & Hoischen, A. Long-read sequencing emerging in medical genetics. Front. Genet. 10, 432668 (2019).
Alexandrov, L. B. & Stratton, M. R. Mutational signatures: the patterns of somatic mutations hidden in cancer genomes. Curr. Opin. Genet. Dev. 24, 52–60 (2014).
Arora, K. et al. Deep whole-genome sequencing of 3 cancer cell lines on 2 sequencing platforms. Sci. Rep. 9, 19123 (2019).
Fang, L. T. et al. Establishing community reference samples, data and call sets for benchmarking cancer mutation detection using whole-genome sequencing. Nat. Biotechnol. 39, 1151–1160 (2021).
Nanopore EPI2ME Labs, https://github.com/epi2me-labs/wf-somatic-variation (2023).
Zheng, Z. et al. Symphonizing pileup and full-alignment for deep learning-based long-read variant calling. Nat. Comput. Sci. 2, 797–803 (2022).
Wagner, J. et al. Benchmarking challenging small variants with linked and long reads. Cell Genom. 2, 100128 (2022).
Gudmundsson, S. et al. Variant interpretation using population databases: lessons from gnomAD. Hum. Mutat. 43, 1012–1030 (2022).
Sherry, S. T. et al. dbSNP: the NCBI database of genetic variation. Nucleic Acids Res. 29, 308–311 (2001).
Siva, N. 1000 Genomes project. Nat. Biotechnol. 26, 256–257 (2008).
Lake, J. A. Consortium of Long Read Sequencing database (CoLoRSdb). Zenodo, https://doi.org/10.5281/zenodo.13145123 (2024).
Little, P. et al. UNMASC: tumor-only variant calling with unmatched normal controls. NAR cancer 3, zcab040 (2021).
Smith, K. S. et al. SomVarIUS: somatic variant identification from unpaired tissue samples. Bioinformatics 32, 808–813 (2016).
Vilov, S. & Heinig, M. DeepSom: a CNN-based approach to somatic variant calling in WGS samples without a matched normal. Bioinformatics 39, btac828 (2023).
Sundararajan, M., Taly, A. & Yan, Q. Axiomatic Attribution for Deep Networks. In International Conference on Machine Learning, 3319–3328 (JMLR.org, 2017).
Stanojević, D., Lin, D., Nurk, S., Florez de Sessions, P. & Šikić, M. Telomere-to-telomere phased genome assembly using HERRO-corrected simplex nanopore reads. Preprint at bioRxiv, https://doi.org/10.1101/2024.05.18.594796 (2024).
Garg, S. Towards routine chromosome-scale haplotype-resolved reconstruction in cancer genomics. Nat. Commun. 14, 1358 (2023).
Wu, H. et al. Cvt: Introducing convolutions to vision transformers. In Proceedings of the IEEE/CVF international conference on computer vision, 22–31 (2021).
Patterson, M. et al. WhatsHap: weighted haplotype assembly for future-generation sequencing reads. J. Comput. Biol. 22, 498–509 (2015).
Lin, J.-H., Chen, L.-C., Yu, S.-C. & Huang, Y.-T. LongPhase: an ultra-fast chromosome-scale phasing algorithm for small and large variants. Bioinformatics 38, 1816–1822 (2022).
BBMap, https://github.com/BioInfoTools/BBMap (2016).
Van Loo, P. et al. Allele-specific copy number analysis of tumors. Proc. Natl. Acad. Sci. USA 107, 16910–16915 (2010).
Krusche, P. et al. Best practices for benchmarking germline small-variant calls in human genomes. Nat. Biotechnol. 37, 555–560 (2019).
Chen, L., Zheng, Z. & Luo, R. ClairS-TO: A deep-learning method for long-read tumor-only somatic small variant calling. Zenodo, https://doi.org/10.5281/zenodo.17108224 (2025).
Acknowledgements
R.L. was supported by Hong Kong Research Grants Council grants GRF (17113721) and CRF (C7003-24Y), the URC fund at HKU, and Oxford Nanopore Technologies.
Author information
Authors and Affiliations
Contributions
R.L. conceived the study. L.C., Z.Z., and R.L. designed the algorithms, implemented and benchmarked ClairS-TO, and wrote the paper. J.S., X.Y., A.O.K.W., J.Z., and Y.L. evaluated the benchmarking results. All authors revised the manuscript.
Corresponding authors
Ethics declarations
Competing interests
R.L. receives research funding from ONT. The other authors declare no competing interests.
Peer review
Peer review information
Nature Communications thanks Esa Pitkänen who co-reviewed with Yrjö Koski; Shilpa Garg for their contribution to the peer review of this work. A peer review file is available.
Additional information
Publisher’s note Springer Nature remains neutral with regard to jurisdictional claims in published maps and institutional affiliations.
Source data
Rights and permissions
Open Access This article is licensed under a Creative Commons Attribution-NonCommercial-NoDerivatives 4.0 International License, which permits any non-commercial use, sharing, distribution and reproduction in any medium or format, as long as you give appropriate credit to the original author(s) and the source, provide a link to the Creative Commons licence, and indicate if you modified the licensed material. You do not have permission under this licence to share adapted material derived from this article or parts of it. The images or other third party material in this article are included in the article’s Creative Commons licence, unless indicated otherwise in a credit line to the material. If material is not included in the article’s Creative Commons licence and your intended use is not permitted by statutory regulation or exceeds the permitted use, you will need to obtain permission directly from the copyright holder. To view a copy of this licence, visit http://creativecommons.org/licenses/by-nc-nd/4.0/.
About this article
Cite this article
Chen, L., Zheng, Z., Su, J. et al. ClairS-TO: a deep-learning method for long-read tumor-only somatic small variant calling. Nat Commun 16, 9630 (2025). https://doi.org/10.1038/s41467-025-64547-z
Received:
Accepted:
Published:
Version of record:
DOI: https://doi.org/10.1038/s41467-025-64547-z






