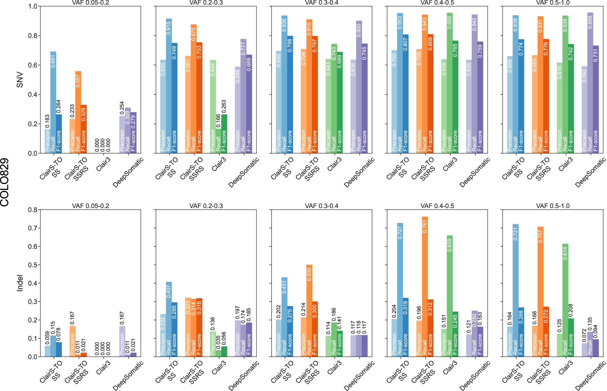
Fig. 4: Performance in different VAF ranges using ONT COLO829.
From: ClairS-TO: a deep-learning method for long-read tumor-only somatic small variant calling

Performance on 50-fold coverage of ONT COLO829 across different VAF ranges, with VAF divided into five ranges: 0.05–0.2, 0.2–0.3, 0.3–0.4, 0.4–0.5, and 0.5–1.0. Source data are provided as a Source data file.