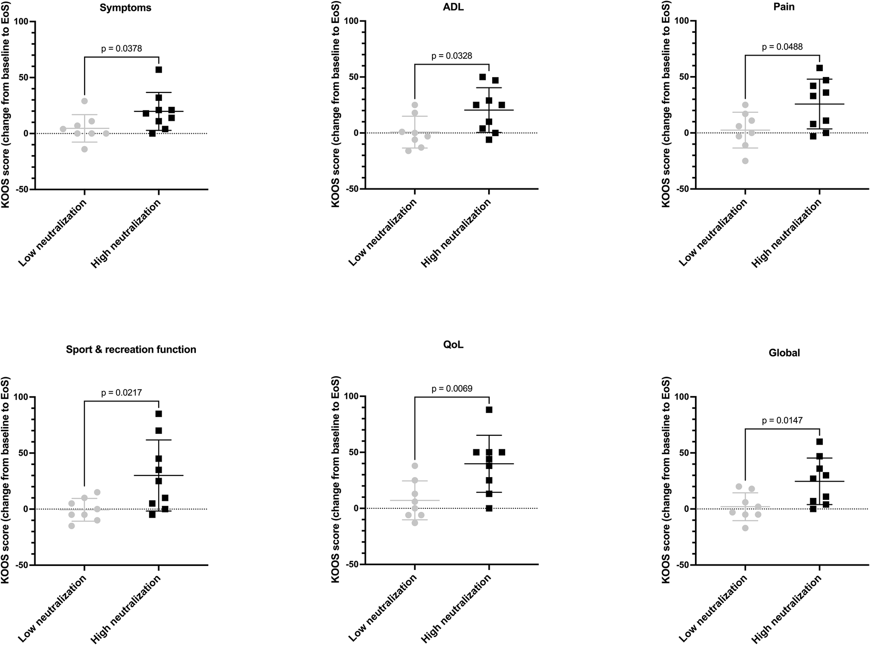
Fig. 5: Change in KOOS scores from baseline to EoS among participants with low or high neutralization response.

Participants from the 10 µg PPV‑06 and 50 µg PPV‑06 groups were pooled, and participants with IL-6 neutralizing capacity above the median (n = 9) were compared to those with IL-6 neutralizing capacity below the median (n = 8). The lines represent the mean ± SD. Mann-Whitney test (two-tailed p-value) was used to analyze the statistical difference between groups. Source data are provided as a Source Data file. ADL Activity of Daily Living, QoL Knee-related Quality of Life.