Abstract
Osteoarthritis, a debilitating joint disorder, remains a major unmet medical need requiring new treatment options. Here, we evaluate the safety (primary endpoint) and immunogenicity (secondary endpoint) of PPV-06, an active anti-IL-6 immunotherapy designed to mitigate the impact of low-grade inflammation on disease progression. Twenty-four participants affected by inflammatory knee osteoarthritis (KOA) are enrolled in a randomized, placebo-controlled phase 1 clinical trial (NCT04447898) and divided into three groups, receiving low (10 µg, n = 9), high (50 µg, n = 9) dose of PPV-06, or placebo (n = 6). We observe a good safety profile with no dose-limiting toxicities in either the PPV-06 or the placebo groups. The incidence of adverse events is similar across the three groups, with mild to moderate drug-related adverse events typically associated with vaccines, including injection-site induration, pruritus, erythema, and headache. All participants receiving PPV-06 exhibit anti-IL-6 antibodies, and interestingly, participants with higher IL-6 neutralizing capacity exhibit an improved clinical outcome, as determined by changes in KOOS scores. These findings support further development of PPV-06 as a promising therapeutic strategy for knee osteoarthritis.
Introduction
Osteoarthritis (OA) is the most common joint disease, affecting around 600 million people worldwide. It is associated with a significant decline in patients’ quality of life and a high economic burden. The knee joint is the most commonly affected joint1. Given the ongoing demographic shift towards an aging population and the increasing prevalence of obesity, knee osteoarthritis (KOA) is projected to escalate in the coming years. Current non-surgical treatments, including non-steroidal anti-inflammatory drugs (NSAID), opioids, and corticosteroids, are not satisfactory, and disease-modifying osteoarthritis drugs (DMOAD) targeting disease progression have not been approved yet, highlighting a huge unmet medical need for effective therapeutics.
Low-grade inflammation is a major mechanism of pathogenesis involved in the molecular etiology of numerous diseases prevalent among elderly people2, particularly OA3. Interleukin-6 (IL-6), a major cytokine that induces chronic low-grade inflammation4, is implicated in aging and various diseases affecting older adults, including OA2,3. Given its ubiquitous tissue presence and strong biological activity4, IL-6 illustrates what evolutionary geneticists call antagonistic pleiotropy5, whereby a protective gene in youth becomes pathogenic with age, particularly as lifespan increases.
IL-6 has a pivotal role in OA pathophysiology and cartilage degradation, mainly via the induction of pro-inflammatory mediators and extracellular matrix-degrading enzymes. In articular chondrocytes, IL-6 induces the expression of matrix metalloproteinases (e.g., MMP-3 and MMP-13), as well as disintegrin and metalloproteinase with thrombospondin motifs (e.g., ADAMTS-4 and ADAMTS-5)6,7,8. Moreover, blockade of either IL-6 or its receptors in experimental OA models significantly protects against cartilage degradation6,9. Systemic IL-6 levels increase with normal aging10,11 and are associated with OA development12,13,14,15. High IL-6 levels have been observed in the synovial fluid and knee tissue, correlated with pain and disease progression16. Serum levels of IL-6 have also been associated with cartilage loss, and IL-6 had a significantly negative relationship with Kellgren-Lawrence (KL) OA grading score17.
A few clinical trials targeting cytokines or their receptors (IL-6Rα and IL-1β) using monoclonal antibodies have not shown any significant results in OA18,19. Only one clinical trial targeted IL-6Rα in hand OA and had an endpoint on pain at 6 weeks that was not met19. A short treatment period may not be suited for a slowly progressing disease such as OA. An alternative strategy to anti-cytokine monoclonal antibodies is active immunotherapy, which elicits an endogenous neutralizing antibody response against the target cytokine, maintained over several months with booster injections. This approach has been successfully developed and tested by various research groups in both animal models and human clinical trials20,21,22,23. Our group has focused on active immunotherapy using cytokine-derived peptides, demonstrating success in animal models against various cytokines24,25,26, including IL-627,28. PPV-06 is composed of a synthetic 18-amino acid cyclic peptide (hIS203) coupled to the non-toxic mutant of diphtheria toxoid Cross-Reacting Material 197 carrier protein (CRM197), adjuvanted with Montanide™ ISA 51 VG. Based on our previous studies demonstrating the safety and efficacy of the immunogen PPV-06 in both a murine model of systemic sclerosis27 and a delayed-type hypersensitivity model in cynomolgus monkeys28, as well as on toxicology data obtained in 40 non-human primates, this candidate was selected for clinical development.
This approach could prove effective in tackling chronic low-grade inflammation processes implicated in knee pain and OA disease progression.
Here, we report the results of a randomized, double-blind, placebo-controlled phase 1 clinical trial demonstrating the safety and immunogenicity of the active immunotherapy PPV-06. Importantly, no dose-limiting toxicities and no serious adverse events were reported in this study. Endogenous antibodies against IL-6 have been generated by all participants, with the observation of a neutralizing capacity associated with a better clinical improvement according to the self-administered Knee Osteoarthritis Outcome Score (KOOS) questionnaire.
Given the pathogenic implications of low-grade inflammation in many human diseases, this strategy has a large-scale therapeutic potential, particularly for the broad spectrum of diseases prevalent in the elderly population.
Results
Participants
Between February 1, 2021, and March 25, 2022, 24 participants were randomly assigned to receive either 10 µg of PPV-06 (n = 9), 50 µg of PPV-06 (n = 9), or a placebo (n = 6) (Fig. 1). Out of the 24 participants, 23 completed the study and received all scheduled injections. One participant in the low dose group (10 µg) discontinued after the first injection due to grade 2 induration at the injection site (Fig. 2). Baseline characteristics of the participants are detailed in Table 1.
Safety
Both doses of PPV-06 were well-tolerated, and no participants experienced a dose-limiting toxicity (DLT) during the study. The overall frequency of adverse events (AE) was similar across the 3 groups, with nearly all participants experiencing at least one adverse event, with a total of 70 events (Table 2). All AEs were classified as treatment-emergent adverse events (TEAE), except for one event (dysphonia) in the PPV-06 high dose group that was already present at baseline. TEAEs related to the study treatment were reported for seven participants (77.8%, 14 TEAEs) in the 10 µg PPV-06 group, three participants (33%, 5 TEAEs) in the 50 µg PPV‑06 group, and four participants (66.7%, 6 TEAEs) in the placebo group. The majority of TEAEs associated with the study treatment were transient and of mild to moderate severity, with no serious TEAEs reported.
The main reported events in the 10 µg PPV-06, 50 µg PPV-06 or placebo groups were the ones usually associated with vaccines: injection site induration (4 [44%] vs 3 [33.3%] vs 2 [33.3%]), pruritus (2 [22.2%] vs 0 [0%] vs 0 [0%]) erythema, and headache (1 [11.1%] vs 1 [11.1%] vs 0 [0%]). Only one participant (2 TEAEs, gastroesophageal reflux disease and plantar fasciitis) in the 10 µg PPV‑06 group and two participants in the 50 µg group (4 TEAEs, one participant experienced tooth pain, wisdom teeth removal, tendonitis, and the other one, headache) experienced at least one severe TEAE, but none was related to the study treatment.
No clinically significant hematological abnormalities were observed at baseline or throughout the study. Regarding biochemical values, only one clinically significant abnormality was noted: an elevated level of high-sensitivity C-reactive protein (hsCRP) in one participant of the placebo group (Supplementary Fig. 1).
Immunogenicity results
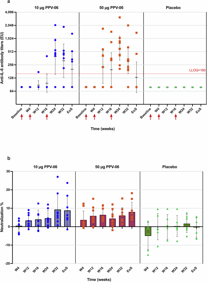
Anti-IL-6 antibody levels were assessed at baseline, prior to treatment administration, and subsequently at weeks 4, 12, and 16 during the treatment phase, as well as at weeks 24, 32, and 42 during the follow-up phase. Both low and high doses of PPV-06 elicited an anti-IL-6 antibody response (Fig. 3a) capable of neutralizing the interaction between IL-6 and its receptors (Fig. 3b). Antibody titers reached their peak at week 24 (eight weeks following the third immunization) and gradually declined through the end of the study in the absence of additional booster injection. At week 24, geometric mean fold ratios were 4.95 [95% CI: 1.94; 12.63] in the group immunized with 10 µg of PPV‑06 and 7.73 [95% CI: 4.11; 14.52] in the group immunized with 50 µg of PPV-06. No anti-IL-6 antibodies were observed in the placebo group. An anti-CRM197 response was detectable at baseline in all participants. A marked increase in anti-CRM197 antibody levels was observed from week 4 to the end of study (EoS) in both PPV‑06 treated groups, as compared to the baseline level. No increase was observed in the placebo group (Supplementary Fig. 2).
a Serum anti-IL-6 antibody titers in participants treated with (blue) 10 µg of PPV‑06 (n = 8), (orange) 50 µg of PPV‑06 (n = 9) or (green) placebo (n = 6). The lines represent the geometric mean titers at each indicated time point, and the error bars represent 95% confidence intervals. Red arrows indicate the time points of immunization. EoS End of Study, EU ELISA unit, LLOQ lower limit of quantification. b Percentage of hIL-6 binding neutralization to its receptors hgp130 and hIL-6Rα by purified antibodies from participants treated with (blue) 10 µg of PPV-06 (n = 8), (orange) 50 µg of PPV-06 (n = 9) or (green) placebo (n = 6). The lines represent mean values at each indicated time point, and the error bars represent SD. Source data are provided as a Source Data file.
Transient elevations of circulating IL-6 levels were observed without corresponding increases in hsCRP within the PPV-06-treated groups, likely suggesting the formation of immune complexes (Supplementary Fig. 1). As expected, we observed a correlation (r > 0.5) between IL-6 and hsCRP levels in all three groups at baseline. After the first injection, this correlation dissipated in both treatment groups, only to re-emerge at week 32 for the 10 µg PPV-06 group (low dose) and at week 42 for the 50 µg PPV-06 group (high dose) (Fig. 4). In contrast, this correlation persisted at all time points in the placebo group. These findings confirm the hypothesis of the impact of immunization against IL-6 on the IL-6/hsCRP balance.
Cellular response
No memory T-cell response to recombinant IL-6 or to the IL-6-derived peptide of PPV-06 was measured by IFNγ-secreting cells, IL-5-secreting cells, IL-17-secreting cells, or by CD4+ lymphocyte proliferation. These results confirm that the peptide sequence hIS203 of PPV-06 did not include any T-cell epitopes, as evidenced by the lack of T-cell proliferation in response to the corresponding peptide. No autoreactive T-cells against the IL-6-derived peptide or against IL-6 were induced following vaccination. T-cell responses were observed only after stimulation with CRM197 or the hIS203-CRM197 conjugate, as evidenced by IFNγ-secreting cells (Supplementary Table 1), demonstrating a Th1-oriented immune response.
KOOS evolution
Despite the small sample size, changes in KOOS scores from baseline to week 42 were evaluated across the three groups. Although not statistically significant, both PPV-06 groups showed a trend towards improvement compared to the placebo (Supplementary Figs. 3, 4), especially in the Quality of Life and Symptoms subscales.
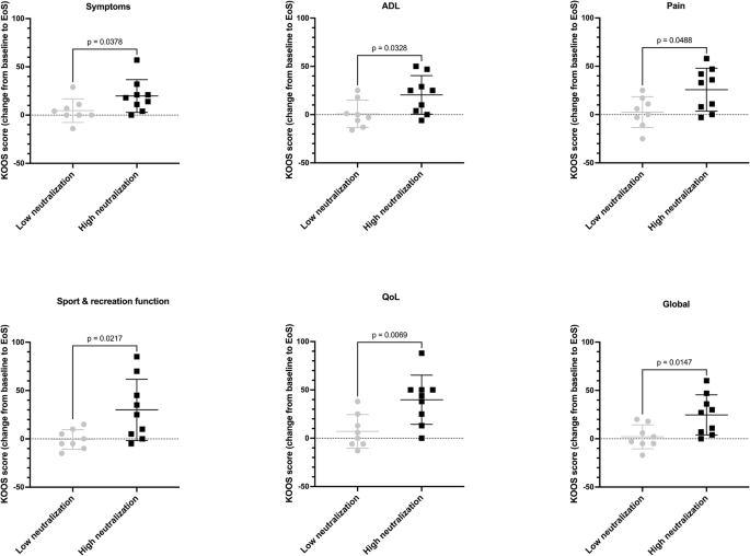
An exploratory analysis also examined whether the strength of the anti-IL-6 neutralizing antibody response at week 42 influenced KOOS score trajectories. Figure 5 shows that participants with higher IL-6 neutralizing capacity (both PPV-06 treated groups combined) after three injections experienced significantly greater improvements across all KOOS subscales (p < 0.05).
Participants from the 10 µg PPV‑06 and 50 µg PPV‑06 groups were pooled, and participants with IL-6 neutralizing capacity above the median (n = 9) were compared to those with IL-6 neutralizing capacity below the median (n = 8). The lines represent the mean ± SD. Mann-Whitney test (two-tailed p-value) was used to analyze the statistical difference between groups. Source data are provided as a Source Data file. ADL Activity of Daily Living, QoL Knee-related Quality of Life.
Other exploratory markers
Osteoarthritis exploratory biomarkers, C-reactive protein metabolite (CRPM), collagen 1, 2, and 3 metabolites (C1M, C2M, C3M), ARGS, and PRO-C2 were measured in the serum of each participant at baseline, week 12, 24, 32, and 42. No significant variation in relation to the baseline could be evidenced when comparing the groups (Supplementary Fig. 5b), and this may be explained by the fact that these markers were statistically investigated in large cohorts29. As per the inclusion criteria, all participants had knee effusion detected by ultrasound at screening. At the end of the study visit, knee effusion was not detected for two participants in the PPV-06 low-dose group and three participants in the placebo group. Overall, there was no significant difference in the proportion of participants with knee effusion in the PPV-06 groups as compared to the placebo at the end of the study (Supplementary Table 2).
Discussion
The primary objective of this Phase 1 trial was to evaluate the safety of PPV-06 at 10 µg and 50 µg. PPV-06 was well tolerated in participants with KOA, with AE frequencies comparable between the PPV-06-treated groups and the placebo. The majority of the reported TEAEs were of mild to moderate intensity and common to vaccines. Taken together, these data demonstrate a favorable safety profile for PPV-06 active immunotherapy. PPV-06 active immunotherapy elicited an anti-IL-6 antibody response in both treatment groups, which decreased over time without further booster injection, showing that there is no self-maintenance of the humoral response with circulating IL-6. These results were confirmed by the absence of T-cell proliferation following stimulation with the IL-6-derived peptide or IL-6. The induced anti-IL-6 antibodies effectively neutralized the binding of IL-6 to its receptors, and analysis of the correlation between IL-6 and hsCRP in the three groups revealed a clear impact of the anti-IL-6 immunization on the IL-6/hsCRP balance.
A trend towards improvement was observed in KOOS score subscales in PPV-06 treated participants. However, the limited number of participants precludes definitive conclusions. Notably, KOOS questionnaires were completed at baseline and week 42, more than six months after the last booster injection. It would have been more informative to carry out the second questionnaire at week 24, just at the peak of anti-IL-6 antibodies (Fig. 3a), when maximal blocking action is expected. Nonetheless, at week 42, participants with higher IL-6 neutralizing capacity had significantly better KOOS scores outcomes than those with lower capacity.
Overall, the findings from this first-in-human study demonstrate that the active immunotherapy strategy targeting the self-protein IL-6 presents a good safety profile and effectively modulates IL-6 biological activity. This Phase 1 clinical study thus demonstrates the potential of PPV-06 active immunotherapy for the treatment of patients with inflammatory KOA and encourages further testing in Phase 2 clinical trials. Furthermore, given the pathogenic implications of low-grade inflammation in many human diseases, the results of this first clinical trial pave the way for the extension of this therapeutic approach to new medical applications.
Methods
Study design and ethics
This study (ClinicalTrials.gov: NCT04447898) was a randomized, double-blind, placebo-controlled trial spanning 42 weeks, involving participants with knee inflammatory osteoarthritis. The trial protocol is provided as a Supplementary Note in the Supplementary Information file. Participants were enrolled at Cochin Hospital - Assistance Publique-Hôpitaux de Paris (France), specifically at the Clinical Investigation Center Cochin-Pasteur, from February 2021 to January 2023.
Written informed consent was obtained from each participant before enrollment, meeting the European Union General Data Protection Regulation requirements. The protocol was conducted in accordance with the Declaration of Helsinki and French law for research involving human participants (known as Loi Jardé) and was approved by the committee for the protection of people engaged in research ‘C.P.P IDF VII’.
Trial population
Participants were adults diagnosed with primary KOA, fulfilling the classification criteria of the American College of Rheumatology and Radiographic criteria for Osteoarthritis.
The inclusion criteria were age > 40; Kellgren-Lawrence grade ≥ 2; clinical signs of knee effusion confirmed by ultrasound investigation, a Body Mass Index (BMI) of 18 to 32 kg/m2, and a pain score of 20 or greater on a 0–100 Numeric Rating Scale (NRS). The pain score criterion was initially set at ≥ 40, but during the course of the study, this threshold was lowered to 20 to better reflect the clinical reality of participants with KOA. Indeed, the etiology of pain in KOA is multifactorial and does not always correlate with the degree of structural damage. Potential participants meeting all other inclusion criteria reported pain scores below 40 despite having clinically significant KOA. Retaining a threshold of 40 would have excluded these participants and compromised the representativeness of the study population.
Importantly, as safety was the primary endpoint of this phase 1 clinical trial, lowering the pain score threshold was deemed appropriate to ensure inclusion of symptomatic participants while minimizing unnecessary exclusions, without compromising the study’s safety objectives. Main exclusion criteria encompassed administration of NSAIDs within two weeks of baseline; oral administration of prednisone or intra-articular corticosteroid injection or bolus intramuscular or intravenous treatment with corticosteroids within three months of baseline; treatment with biologics such as anti-TNFα, anti-IL-6 within three months of baseline and anti-CD20 within six months of baseline; planned knee surgery before screening or during the study period; knee surgery within the year preceding baseline, HIV or hepatitis (B and C) infection; diagnosis or history of any inflammatory arthritis; neurological disorders affecting the lower limbs; history of malignancy within the past five years; uncontrolled congestive heart failure or hypertension, and a history of allergic reaction to any constituents of the study drug.
Sex was not considered in the study design, and it was determined based on self-report.
Randomization and masking
Randomization was performed via an interactive web response system (IWRS), which allocated participant and treatment identification numbers with a 3:1 (PPV‑06:placebo) ratio. Participants, fulfilling all eligibility criteria, were assigned a treatment identification number to ensure adequate blinding. Before each injection, an authorized pharmacist logged into the IWRS to obtain the associated treatment number. The system was compliant with regulatory standards for secure access and data integrity.
This was a double-blind study in which treatment allocation was concealed from participants, investigators, biostatisticians, and site staff. All individuals responsible for administering the investigational drug or placebo were blinded and did not take part in any other research activities related to the clinical trial. The study comprised two ascending dose cohorts, each consisting of 12 participants. In cohort 1 (low dose group), nine participants were assigned to receive 10 µg of PPV-06 and three participants received a placebo. In cohort 2 (high dose group), nine participants were assigned to receive 50 µg of PPV-06, and three participants received a placebo. The doses refer to the net peptide amount of the drug product.
The cohorts were studied sequentially in ascending dose order. The initiation of cohort 2 occurred after the safety review board evaluated the safety data from cohort 1, following the enrollment of the last participant in cohort 1 and after the first four participants of cohort 1 had received two administrations each. The first participant was enrolled on February 17, 2021, and the last on March 25, 2022.
Procedures
The investigational drug or placebo was administered subcutaneously in a blinded manner at weeks 0, 4 and 16 (Fig. 1) followed by an additional 26-week period without treatment. After each immunization, participants were closely monitored for four hours at the hospital, and potential late-phase allergic reactions were evaluated via a phone call from the investigator the following day.
Primary outcome
Safety was assessed as the primary outcome, determined by the proportion of participants experiencing dose-limiting toxicities (DLT), which were defined as any occurrence, monitored in all participants receiving at least one dose of study treatment until the end of study (EoS), of grade 3 or higher treatment-emergent adverse events (TEAE) according to the Common Terminology Criteria for Adverse Events (CTCAE), that last more than 48 h and require corrective treatment, deemed to be related as probably or definitely to the study treatment. DLTs included events of special interest, such as anaphylactic shock, allergic reactions, and the occurrence of infections.
Key secondary outcomes
The key secondary objectives of the study were to assess additional indicators of safety, such as the occurrence of all adverse events (AE) and serious adverse events (SAE), including clinically significant abnormal hematological and biochemical values monitored throughout the study period.
Local tolerability was inspected and evaluated four hours after each injection at the hospital. Participants were asked, during the 7 days following the injection, to measure and record local reactions in an assessment notebook to ensure the absence of abscesses. The relationship of AEs and SAEs to the investigational product was determined and graded by the investigator.
Key secondary outcomes also involved quantifying levels of inflammatory biomarkers in the blood, such as interleukin-6 (IL-6) and high-sensitivity C-Reactive protein (hsCRP), and assessing the humoral and cellular immune responses following immunizations with PPV-06.
Serum samples were collected at baseline and weeks 4, 12, 16, 24, 32, and 42, and purified on protein A/G columns. Serum anti-IL-6 and anti-CRM197 antibody levels were measured at various timepoints by ELISA, with results reported as titers expressed in ELISA units (EU). Anti-IL-6 antibody levels were measured using the monoclonal antibody Olokizumab as the reference standard.
The ability of the purified antibodies to neutralize the binding of 2 ng/mL of hIL-6 to its receptors hgp130 and hIL-6Rα was measured using a modified ELISA28. Specific T-cell responses and polarization (Th1, Th2, and Th17) were assessed in vitro using IFNγ, IL-5, and IL-17 ELISPOT assays (Diaclone, C.T.L) and performed according to the manufacturer’s recommendations.
Exploratory outcomes
Several exploratory outcomes were analyzed, notably the Knee Injury and Osteoarthritis Outcome Score (KOOS)—a self-administered questionnaire widely recognized for the clinical follow-up of OA30. This score evaluates five domains: pain (nine items), symptoms (seven items), activities of daily living (17 items), sport and recreation function (five items), and knee-related quality of life (four items). Each domain is scored individually using a five-point Likert scale (0 = no problems, 4 = extreme problems). Each of the five scores is calculated as the sum of the responses to the items, and then transformed to a 0–100 scale, where zero indicates extreme knee problems and 100 indicates no knee problems. A global score was also calculated, based on the ratio between the sum of the response scores for all items for a participant and the maximum possible score. Changes from baseline, based on the knee with inflammatory knee OA of each participant (and the knee with greater inflammation in cases of bilateral knee OA), were assessed and correlated with anti-IL-6 neutralizing antibody production at week 42.
Osteoarthritis exploratory biomarkers were quantified in serum by ELISA (CRPM, C1M, C3M) or by chemiluminescence immunoassay (C2M, ARGS, and PRO-C2) (Nordic Bioscience, Herlev, Denmark) at baseline, weeks 12, 24, 32, and 42. Additionally, the presence of synovial inflammation was evaluated at screening and at the end of the study, based on the detection of joint effusion by ultrasound.
Statistical analysis
A formal sample size calculation was not conducted. The sample size of 24 participants, 12 per cohort, was based on prior experience with active immunotherapy safety and immunogenicity evaluation, typical for early-phase clinical studies.
The Full Analysis Population (FAS) included all randomized participants who received at least one dose of study treatment. Analyses for this population were conducted according to each participant’s original randomization assignment.
The Safety Population also included all randomized participants who received at least one dose of study treatment, but these participants were analyzed according to the actual treatment they received. For the placebo, participants from cohorts 1 and 2 were combined into a single placebo group.
Demographic and baseline characteristics were analyzed using the FAS; other analyses used the Safety Population. Analyses were conducted with SAS® software version 9.4. No hypotheses were tested, and the analyses were descriptive.
Continuous variables are presented as the number of observations (n), mean and/or median, Q1, Q3, standard deviation (SD), and range (i.e., minimum and maximum). Categorical variables are presented using frequencies and percentages.
Antibody production was expressed as geometric mean titers (GMT), and the change from baseline (GMFR, 95% CI) was calculated. Data acquisition and analysis were performed with SoftMax® Pro Software (Molecular Devices).
Neutralization capacity of the antibodies was expressed as mean percentage inhibition with SD.
Additional exploratory analyses were conducted using Prism version 10.4.1 (GraphPad Software Inc.). Changes from baseline in KOOS scores were compared between groups using the Mann-Whitney test. The correlation between IL-6 and hsCRP levels in each group was evaluated using Spearman’s correlation test.
Reporting summary
Further information on research design is available in the Nature Portfolio Reporting Summary linked to this article.
Data availability
The data that support the findings of this study are available on request from the corresponding authors, FR and JFZ. The raw data are protected and are not publicly available due to data privacy laws. The data used to generate all the tables and figures in this study are provided in the Source Data file. Source data are provided with this paper.
References
Steinmetz, J. D. et al. Global, regional, and national burden of osteoarthritis, 1990–2020 and projections to 2050: a systematic analysis for the Global Burden of Disease Study 2021. Lancet Rheumatol. 5, e508–e522 (2023).
Singh, A. et al. Aging and inflammation. Cold Spring Harb. Perspect. Med. 14, a041197 (2024).
Knights, A. J., Redding, S. J. & Maerz, T. Inflammation in osteoarthritis: the latest progress and ongoing challenges. Curr. Opin. Rheumatol. 35, 128–134 (2023).
Grebenciucova, E. & VanHaerents, S. Interleukin 6: at the interface of human health and disease. Front. Immunol. 14, 1255533 (2023).
Gavrilov, L. A. & Gavrilova, N. S. Evolutionary theories of aging and longevity. Sci. World J. 2, 339–356 (2002).
Latourte, A. et al. Systemic inhibition of IL-6/Stat3 signalling protects against experimental osteoarthritis. Ann. Rheum. Dis. 76, 748–755 (2017).
Ryu, J.-H. et al. Interleukin-6 plays an essential role in hypoxia-inducible factor 2α-induced experimental osteoarthritic cartilage destruction in mice. Arthritis Rheum. 63, 2732–2743 (2011).
Sahu, N., Viljoen, H. J. & Subramanian, A. Continuous low-intensity ultrasound attenuates IL-6 and TNFα-induced catabolic effects and repairs chondral fissures in bovine osteochondral explants. BMC Musculoskelet. Disord. 20, 193 (2019).
Wu, X. et al. Interleukin-6 from subchondral bone mesenchymal stem cells contributes to the pathological phenotypes of experimental osteoarthritis. Am. J. Transl. Res. 10, 1143–1154 (2018).
Ferrucci, L. et al. The origins of the age-related proinflammatory state. Blood 105, 2294–2299 (2005).
Wei, J., Xu, H., Davies, J. L. & Hemmings, G. P. Increase of plasma IL-6 concentration with age in healthy subjects. Life Sci. 51, 1953–1956 (1992).
Livshits, G. et al. Interleukin-6 is a significant predictor of radiographic knee osteoarthritis: the Chingford Study. Arthritis Rheum. 60, 2037–2045 (2009).
Stannus, O. et al. Circulating levels of IL-6 and TNF-α are associated with knee radiographic osteoarthritis and knee cartilage loss in older adults. Osteoarthr. Cartil. 18, 1441–1447 (2010).
Goekoop, R. J. et al. Low innate production of interleukin-1beta and interleukin-6 is associated with the absence of osteoarthritis in old age. Osteoarthr. Cartil. 18, 942–947 (2010).
Berenbaum, F. Osteoarthritis as an inflammatory disease (osteoarthritis is not osteoarthrosis!). Osteoarthr. Cartil. 21, 16–21 (2013).
Imamura, M. et al. Serum levels of proinflammatory cytokines in painful knee osteoarthritis and sensitization. Int. J. Inflamm. 2015, 1–8 (2015).
Orita, S. et al. Associations between proinflammatory cytokines in the synovial fluid and radiographic grading and pain-related scores in 47 consecutive patients with osteoarthritis of the knee. BMC Musculoskelet. Disord. 12, 144 (2011).
Fleischmann, R. M. et al. A phase II trial of lutikizumab, an anti–interleukin-1α/β dual variable domain immunoglobulin, in knee osteoarthritis patients with synovitis. Arthritis Rheumatol. 71, 1056–1069 (2019).
Richette, P. et al. Efficacy of tocilizumab in patients with hand osteoarthritis: double blind, randomised, placebo-controlled, multicentre trial. Ann. Rheum. Dis. 80, 349–355 (2021).
Assier, E., Bessis, N., Zagury, J.-F. & Boissier, M.-C. IL-1 Vaccination is suitable for treating inflammatory diseases. Front. Pharmacol. https://doi.org/10.3389/fphar.2017.00006 (2017).
Ratsimandresy, R. A., Rappaport, J. & Zagury, J.-F. Anti-cytokine therapeutics: history and update. Curr. Pharm. Des. 15, 1998–2025 (2009).
Le Buanec, H. et al. TNF kinoid vaccination-induced neutralizing antibodies to TNF protect mice from autologous TNF-driven chronic and acute inflammation. Proc. Natl Acad. Sci. 103, 19442–19447 (2006).
Houssiau, F. A. et al. IFN-α kinoid in systemic lupus erythematosus: results from a phase IIb, randomised, placebo-controlled study. Ann. Rheum. Dis. 79, 347–355 (2020).
Bertin-Maghit, S. M. et al. Improvement of collagen-induced arthritis by active immunization against murine IL-1beta peptides designed by molecular modelling. Vaccine 23, 4228–4235 (2005).
Capini, C. J. et al. Active immunization against murine TNFalpha peptides in mice: generation of endogenous antibodies cross-reacting with the native cytokine and in vivo protection. Vaccine 22, 3144–3153 (2004).
Ratsimandresy, R. A. et al. Active immunization against IL-23p19 improves experimental arthritis. Vaccine 29, 9329–9336 (2011).
Desallais, L. et al. Targeting IL-6 by both passive and active immunization strategies prevents bleomycin-induced skin fibrosis. Arthritis Res. Ther. 16, R157 (2014).
Desallais, L. et al. Immunization against an IL-6 peptide induces anti-IL-6 antibodies and modulates the Delayed-Type Hypersensitivity reaction in cynomolgus monkeys. Sci. Rep. 6, 19549 (2016).
Angelini, F. et al. Osteoarthritis endotype discovery via clustering of biochemical marker data. Ann. Rheum. Dis. 81, 666–675 (2022).
Roos, E. M. & Lohmander, L. S. The Knee injury and Osteoarthritis Outcome Score (KOOS): from joint injury to osteoarthritis. Health Qual. Life Outcomes 1, 64 (2003).
Acknowledgments
The authors are grateful to the participants and the medical staff who kindly participated in this study. This study was funded by Peptinov.
Author information
Authors and Affiliations
Contributions
F.R. was the principal investigator of the study. F.R., L.D., H.D., R.A., F.B., M.C.B., J.P.S., and J.F.Z. contributed to the study design. F.R., C.N., C.D., Q.K., M.M.L., and O.L. contributed to the data collection. F.R., L.D., J.P.S., and J.F.Z. contributed to the data analysis and interpretation. L.D., H.M., and B.R. contributed to the provision of study materials. G.M., F.L., and J.F.Z. contributed to the conjugate design. F.R., L.D., E.D., R.A., and J.F.Z. contributed to the writing - original draft. All the authors contributed to the writing, review, and editing. F.R. and L.D. had full access to all the data in the study and takes responsibility for the integrity of the data and the accuracy of the data analysis.
Corresponding authors
Ethics declarations
Competing interests
F.R. has received honoraria or consulting fees from Grunenthal, FIDIA, and KIOmed as well as from Peptinov. F.R. served on the advisory Board for Peptinov. F.B. has received honoraria or consulting fees from Grunenthal, GSK, Eli Lilly, Novartis, Pfizer, Servier, 4 P Pharma, Viatris, Zoetis, and Peptinov. F.B. served on a Data Safety Monitoring Board or advisory Board for AstraZeneca, Sun Pharma, and Nordic Bioscience. F.B. is stockholder of 4 P Pharma and 4Moving Biotech. M.C.B. served on the advisory Board for Peptinov. L.D., H.M., B.R., G.M., F.L., E.D., H.D., R.A., and J.P.S. are employees of Peptinov company. J.F.Z., as the founder of Peptinov, owns stocks of the company. C.N., C.D., Q.K., M.M.L.C., and O.L. have no relevant affiliations or financial involvement with any organization with a financial conflict with the subject matter or materials discussed in the manuscript. This includes employment, consultancies, honoraria, stock ownership or options, expert testimony, grants or patents received or pending, or royalties.
Peer review
Peer review information
Nature Communications thanks Guoqi Cai and the other, anonymous, reviewer(s) for their contribution to the peer review of this work. A peer review file is available.
Additional information
Publisher’s note Springer Nature remains neutral with regard to jurisdictional claims in published maps and institutional affiliations.
Supplementary information
Source data
Rights and permissions
Open Access This article is licensed under a Creative Commons Attribution-NonCommercial-NoDerivatives 4.0 International License, which permits any non-commercial use, sharing, distribution and reproduction in any medium or format, as long as you give appropriate credit to the original author(s) and the source, provide a link to the Creative Commons licence, and indicate if you modified the licensed material. You do not have permission under this licence to share adapted material derived from this article or parts of it. The images or other third party material in this article are included in the article’s Creative Commons licence, unless indicated otherwise in a credit line to the material. If material is not included in the article’s Creative Commons licence and your intended use is not permitted by statutory regulation or exceeds the permitted use, you will need to obtain permission directly from the copyright holder. To view a copy of this licence, visit http://creativecommons.org/licenses/by-nc-nd/4.0/.
About this article
Cite this article
Rannou, F., Desallais, L., Nguyen, C. et al. Safety and immunogenicity of PPV-06, an active anti-IL-6 immunotherapy targeting low-grade inflammation against knee osteoarthritis: a randomized, double-blind, placebo-controlled, clinical phase 1 study. Nat Commun 16, 9767 (2025). https://doi.org/10.1038/s41467-025-64710-6
Received:
Accepted:
Published:
Version of record:
DOI: https://doi.org/10.1038/s41467-025-64710-6




