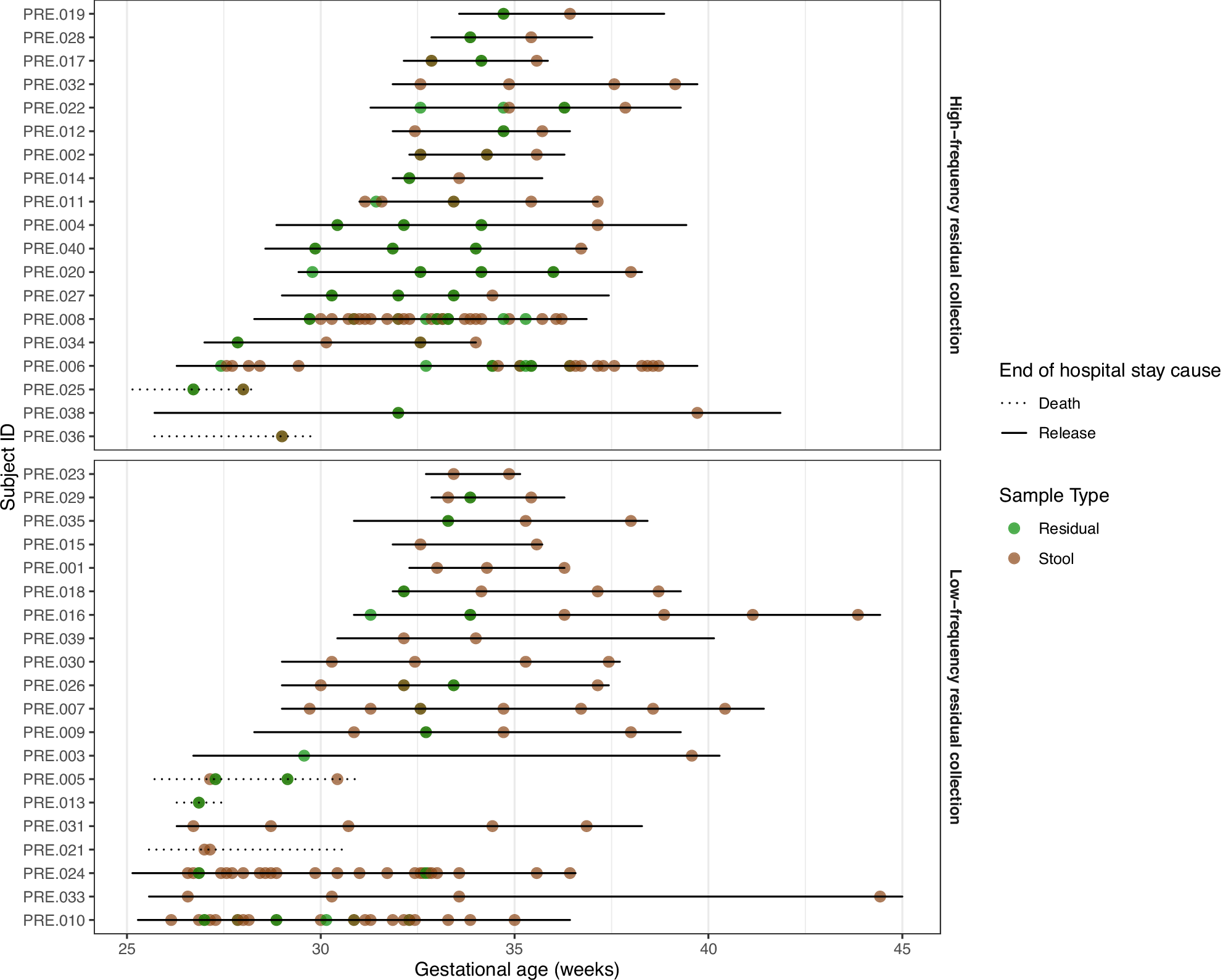
Fig. 1: Sample map showing the stool and gastric residual samples collected in the cohort.
From: Development of the preterm infant gut and gastric residuals microbiome

Subjects (y-axis) were divided into two groups (high- and low-frequency residual collection, top and bottom, respectively), lines represent the hospitalization period, across gestational age (x-axis), and dots represent sequenced stool (brown) and gastric-residual (green) samples. The line type represents the clinical outcome of each infant.