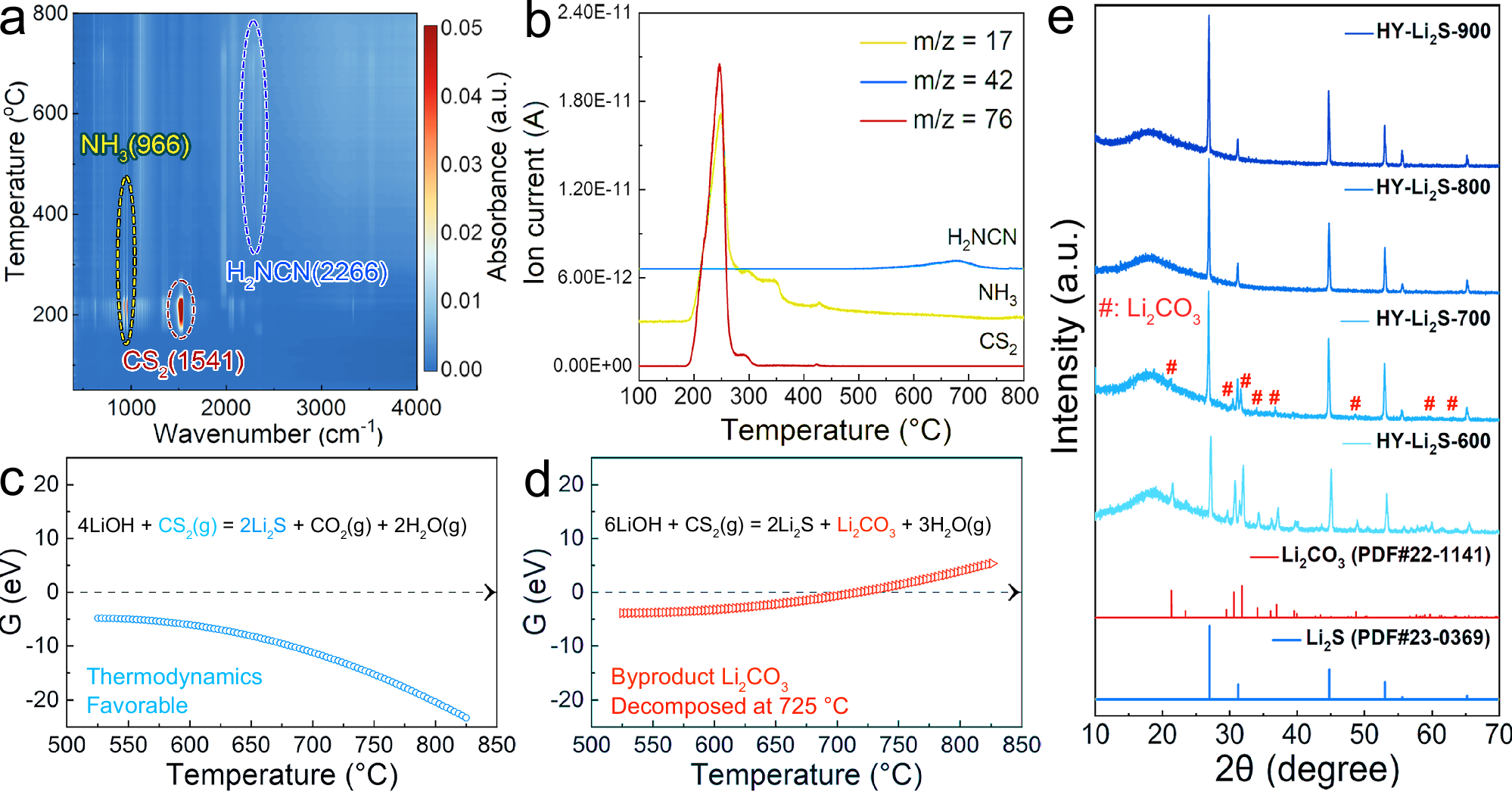
Fig. 2: Mechanistic studies on this metathesis reaction at different reaction temperatures.
From: Advancing sulfide solid electrolytes via green Li2S synthesis

a Online coupled TG/DTA-FTIR spectra of the thermolysis of thiourea under an Ar atmosphere. b Online coupled TG/DTA-MS spectra of ion fragments of identified gases evolved from thiourea under an Ar atmosphere. c ΔG of the sulfurization reaction between CS2 and LiOH with CO2 as byproduct by DFT calculation. d ΔG of the sulfurization reaction between CS2 and LiOH, with Li2CO3 as a byproduct by DFT calculation. e XRD patterns of the products from the solvent-free metathesis reaction at different synthesis temperatures.