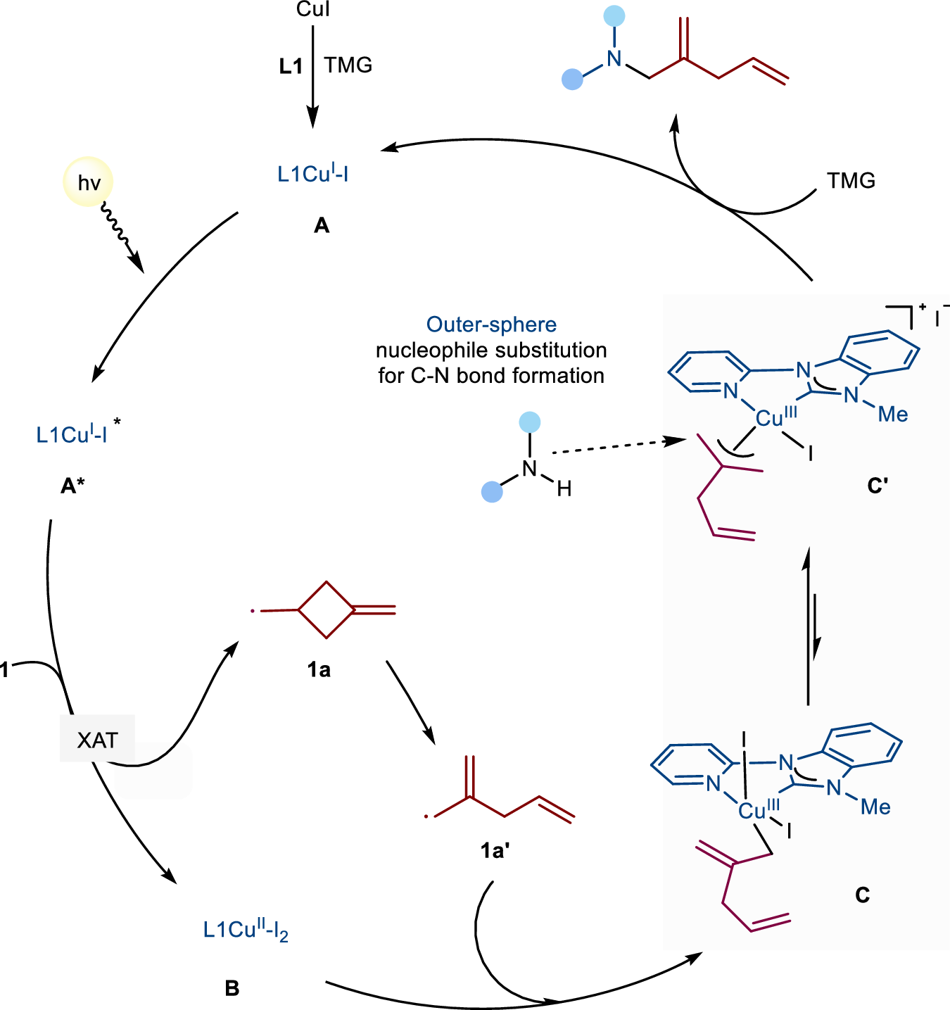
Fig. 9: Proposed plausible mechanism for photocopper catalysis.
From: Light-driven radical copper-catalyzed allylic amination via allylic copper intermediates

TMG Tetramethylguanidine. XAT Halogen-Atom Transfer.
From: Light-driven radical copper-catalyzed allylic amination via allylic copper intermediates

TMG Tetramethylguanidine. XAT Halogen-Atom Transfer.