Abstract
The synthesis of allylic amines through an outer-sphere nucleophilic substitution mechanism involving electrophilic allyl copper(III) complexes with soft amines represents an uncharted territory in catalysis. This study introduces a radical-based approach for the generation of allylic copper(III) complexes, enabling the efficient synthesis of allylic amines in the presence of alkyl/aryl amines. Through copper photocatalysis, we demonstrate a radical-induced small-ring opening process that produces allylic amines featuring skipped double bonds, while simultaneously achieving highly regioselective 1,4-carboamination of 1,3-dienes with high E/Z selectivity. Mechanism studies substantiate the radical-mediated formation of allylic copper complexes and provide evidence for the involvement of outer-sphere nucleophilic substitution at allylic copper(III) complexes.
Similar content being viewed by others
Introduction
Allyl amines constitute a pivotal structural motif ubiquitously present in pharmaceuticals, agrochemicals, and natural products, while also serving as versatile building blocks in synthetic organic chemistry1,2,3,4. Among established synthetic methodologies, transition-metal-catalyzed allylic substitution reactions, particularly Tsuji-Trost reactions, have emerged as a robust platform for constructing diverse allyl amines through π-allyl metal intermediates that mediate carbon-nitrogen bond formation5,6. This catalytic approach addresses a key limitation of traditional allylation methods using allyl (pseudo)halides, wherein uncatalyzed conditions often lead to uncontrolled over-allylation when employing simple alkyl/aryl amines as nucleophiles. Noble-metal based systems, especially palladium system, dominate current Tsuji-Trost methodologies (Fig. 1a)7,8,9,10. While copper-catalyzed processes involving CuIII/I redox cycles have been proposed as mechanistically distinct alternatives to the conventional two-electron PdII/I catalytic paradigm11,12,13, the direct synthesis of allylic amines via nucleophilic substitution at allylic Cu(III) complexes remains unexplored14, highlighting a critical research gap in the application of copper catalysis to this fundamental transformation.
a C-N bond formation via η3 allyl metal complex. b Facilitated inner-sphere reductive elimination of copper(III) complex. c Strategy to achieve C-N bond formation via allyl copper complex and rational design of radical pathways. d Optimal condition to access allylic amines via two or three-component reactions at 0.1 mmol scale. TMG Tetramethylguanidine, TBAI tetrabutylammoniumiodide. aisolated yield, b5 mmol.
Copper catalysis has emerged as one of the most powerful methods for facilitating C-C and C-heteroatom cross-coupling reactions15,16,17,18,19. High-valent organocopper complexes are often proposed as intermediates in these metal-catalyzed processes, although they are rarely isolated11,12,13,20. The proposed Cu(III) intermediates exhibit high reactivity but typically elude detection. Consequently, they play a crucial role in the formation of C-C and C-heteroatom bonds during the final step, which involves the release of coupling products via inner-sphere reductive elimination of copper(III) intermediates (Fig. 1b). The oxidation addition of the C(sp3)-X bond to a Cu(I) species is generally regarded as the rate-limiting step in copper-catalyzed cross-coupling reactions of alkyl electrophiles. Such reactions often necessitate the pre-coordination of a deprotonated-nucleophile (Nu−) to form a Cu(I)-Nu complex before C(sp3)-X bond activation can occur. For example, recently, several significant advances have been made in copper catalysis to activate C(sp3)-X bond for alkynylation21,22, arylation23,24,25, amination26,27, etherification28. Similarly, in the allylation process, the generation of allylation products proceeds through an inner-sphere reductive elimination step involving allyl-Cu(III)-Nu complexes when using “hard” nucleophiles29,30,31,32,33,34,35. However, this paradigm presents inherent limitations when using soft nucleophiles such as alkyl or aryl amines, as it requires the use of a very strong base for the deprotonation of NuH.
We therefore hypothesized a Cu(I) complex, devoid of pre-coordination to the deprotonated-nucleophile (Nu−), could facilitate the radical generation of allylic Cu(III) intermediates through oxidative addition to C(sp3)-X bonds, thereby enabling efficient Tsuji-Trost-type allylic aminations. Our strategy leverages the unique photoredox properties of pyridyl-carbene (Py-NHC) Cu(I) complexes, which facilitate alkyl halide activation via halogen atom transfer (XAT) to generate alkyl radicals and Cu(II) intermediates36. Through rational design of radical pathways, we envisioned two distinct routes to allylic Cu(III) species: (1) radical induced cyclobutane ring-opening rearrangements37,38,39, and (2) radical addition of transient alkyl radicals to 1,3-dienes40,41,42 (Fig. 1c). Subsequent radical rebound to Cu(II) centers would generate allylic Cu(III) complexes primed for nucleophilic substitution by amines, thereby establishing a unified platform for divergent allylic amine synthesis43.
In this study, we disclose a copper-photocatalyzed paradigm enabling two complementary approaches to allylic amines involving outer-sphere nucleophilic substitution mechanism at allylic copper(III) intermediates. The first approach provides access to synthetically challenging skipped dienyl amines44 through two-component reaction from cyclobutyl methyl iodides and amines. The second method achieves stereoselective 1,4-carboamination of 1,3-dienes using alkyl iodides as carbon sources, delivering functionalized allylic amines with high E/Z selectivity (up to 19:1). Notably, our system demonstrates good functional group tolerance across diverse amine substrates (alkyl, aryl) and electrophilic partners, underscoring its broad synthetic utility. Mechanistic investigations combining kinetic experiments and DFT calculations reveal the involvement of an outer-sphere nucleophilic substitution to form C-N bond at allylic copper(III) complex.
Results
Optimization of photoinduced copper-catalyzed allylic amines synthesis
At the outset of this investigation, to streamline the optimization process, we selected a two-component reaction as the model system for synthesizing allylic amines featuring skipped double bonds. This transformation is proposed to proceed via a radical-induced ring-opening mechanism, generating an allylic radical intermediate that subsequently forms the allylic copper(III) complex. The reaction employed an in situ-generated Py-NHC-Cu(I) complex36 as the catalyst, 1-(iodomethyl)−3-methylenecyclobutane (1) as the allylic radical precursor, and para-methyl aniline (2a) as the nucleophile. A comprehensive screening of reaction parameters, including the copper source, ligand, solvent, base, and additives, was conducted to identify the optimal conditions (Supplementary Tables 1–6). Notably, while the choice of base and solvent significantly influenced the reactivity (Supplementary Tables 2 and 3), control experiments (Supplementary Table 6 & Fig. 1a) revealed that the ligand, light, and copper source were indispensable for maintaining catalytic activity. It is important to emphasize that excess iodide anion plays a critical role in maintaining high reactivity for the formation of skipped dienyl amine 3a (Fig. 1d, Entries 1-8). The additional iodide likely suppresses ligand exchange with the aniline nucleophile 2a in the presence of TMG base, thereby preventing the direct coupling between substrate 2a and alkyl radical 1a without ring-opening (Supplementary Table 1). After systematic optimization, the following conditions were identified as optimal: Py-NHC ligand (L1), CuI as the copper source, 1,1,3,3-tetramethylguanidine (TMG) as the base, and dimethylacetamide (DMA) as the solvent. Under these conditions, the target allylic amines 3a, 3b, and 6 were obtained in excellent isolated yields of 85%, 93%, and 98%, respectively, with high stereoselectivity (E/Z = 14/1) for 6 (Fig. 1d). we also run the reaction at 5 mmol scale to deliver final product 3b in 92% yield without compromising the reactivity.
Substrate scope
Various N-nucleophiles were tested to investigate the generality of the cascade C-C bond cleavage/C-N coupling reactions (Fig. 2). Aniline-type nucleophiles with different functional groups demonstrated compatibility, yielding the desired products (7-11) in good to excellent yields. Notably, compounds bearing free hydroxyl groups (9, 10) did not inhibit reactivity and were transformed efficiently into the corresponding products without any detectable formation of undesired C-O coupling side products. Under optimal conditions, N-alkyl anilines were efficiently converted to the corresponding 1,4-skipped dienyl amines (12). Both primary and secondary alkyl amines, including cyclic and acyclic varieties, exhibited excellent reactivity (13-24). Functional groups such as ester (15, 17), amide (19) and chlorine (21) were well tolerated in these reactions. Furthermore, some pharmaceutical molecules and their fragments were also subjected to optimal conditions, providing the corresponding products in high yield (19-24). Various heterocycles, including pyridinone (19), pyridine (21), dibenzothiazepine (22), furan (23), and free indole (24), proved to be compatible with this approach.
The reactions were run using N-nucleophiles (0.1 mmol,1.0 equiv) and alkyl iodides (0.15 mmol, 1.5 equiv). a50 mol% CuI was used. bN-nucleophiles (0.2 mmol) and alkyl iodides (0.1 mmol) were used.
We subsequently evaluated the scope of the reactions using a diverse array of cyclobutyl alkyl iodides with various substitutions (Fig. 2). Substrates featuring functionalized substitutions on the cyclobutyl ring displayed high reactivity, yielding products (25-44) with good to excellent yields. Functional groups such as trifluoromethyl (27, 29), fluoride (28, 32), chloride (33), and cyanide (39) were compatible with the cascade reactions. Alkyl iodides containing unsaturated double (36) and triple bonds (37) effectively generated the corresponding polyene and polyenyne, respectively, within our catalytic system. Notably, products 39 and 40, which contain conjugated double bonds, were compatible under optimal conditions and could be isolated as pure compounds without the formation of byproducts through radical addition to the conjugated double bond. Substrates with substitutions on the double bonds can result in the formation of E/Z isomer products due to radical induced non-selective C–C bond cleavage (41, 42). Secondary iodide proceeded well, yielding product (43) with moderate regioselectivity. Steroid derivative iodide (44) can perform very well in standard conditions.
We moved to investigate the scope of three-component reactions to access allylic amines (Fig. 3). The catalytic system demonstrated broad substrate compatibility, effectively accommodating primary, secondary, and tertiary alkyl iodides, all exhibiting good to excellent reactivity with high E/Z ratios. A variety of functional groups—including esters, ethers, carbonyls, thiol ethers, Boc (t-butoxy carbonyl), heterocycles, free alcohols, and tosylates—were well tolerated (45-56). Furthermore, complex alkyl iodides were successfully employed as radical sources, ultimately leading to the production of 1,4-carboamination compounds (57-59) under consistent catalytic conditions. Next, we investigated both cyclic and acyclic dienes with varying substitutions (60-66). Mono-substituted acyclic dienes exhibited good compatibility, yielding desired products with favorable regioselectivity and stereoselectivity (60-62). Dienes with additional substitutions also effectively produced final products, albeit resulting in worse stereoselectivity (64-66).
The reactions were run using N-nucleophiles (0.1 mmol, 1.0 equiv), 1,3-dienes (0.3 mmol, 3.0 equiv) and alkyl iodides (0.15 mmol, 1.5 equiv). The ratio of the two isomers (E and Z) is provided inside parentheses right after the compound’s yield unless otherwise noted. dr diastereoisomer ratio.
Both primary and secondary alkyl amines, as well as aromatic amines, proved to be suitable nucleophiles for generating final 1,4-carboamination products (67-73) with good yields (Fig. 4). The catalytic process was also applicable to pharmaceutical derivative amines, yielding 1,4-carbonaminated products (74-78) in high yield. These results clearly indicate that three-component reactions are quite general for accessing allylic amines through the nucleophilic substitution of the allyl copper complex within the catalytic cycle. We also explored the use of carboxylic acids as nucleophiles under the standard conditions (79-86). Notably, a variety of both alkyl and aromatic carboxylic acids proved to be effective participants in the three-component reactions.
The reactions were run using N/O-nucleophiles (0.1 mmol, 1.0 equiv), 1,3-dienes (0.3 mmol, 3.0 equiv) and alkyl iodides (0.15 mmol, 1.5 equiv). The ratio of the two isomers (E and Z) is provided inside parentheses right after the compound’s yield unless otherwise noted.
Further application and transformation
Under the standard reaction conditions, various substrates with different ring sizes were evaluated (Fig. 5a). Notably, the highly strained three-membered ring substrate 87 reacted efficiently to afford the desired product 90 in good yield. Interestingly, these same conditions unexpectedly converted lactone derivative 88 to allylic amide 91, albeit in low yield. Particularly impressive was the transformation of substrates containing a bicyclo[3.1.0] scaffold, which provided the corresponding product 92 in excellent yield (85%). However, substrates featuring less strained five- or six-membered rings failed to undergo the desired transformation under these conditions.
a Reactions of cyclic alkyl iodides (with various ring sizes) with amines under standard conditions. b The chemical transformation of skipped dienes. 9-BBN 9-Borabicyclo[3.3.1]nonane. DIPEA N,N-Diisopropylethylamine.
Furthermore, 1,4-skipped dienyl amines are not only significant components of alkaloids but can also be transformed into other valuable compounds. These amines are amenable to various derivatization reactions (Fig. 5b). For instance, selective borylation of the terminal double bond facilitates the formation of a versatile boronate ester building block, which can be easily converted into a free alcohol (93) or undergo Suzuki coupling to introduce an aryl group (94). The acyl-Claisen and benzyne Aza-Claisen reactions of allylic amines represent powerful methodologies for reconstructing functionalized amines. The resulting dienyl amines exhibited high reactivity in forming new diene compounds (95, 96) through both acyl-Claisen and benzyne Aza-Claisen reactions.
Mechanism studies
To gain insight into the copper catalytic cycle, we focused on a two-component reaction to explore the underlying mechanisms. This section examines key catalytic steps, including the electron transfer process, the formation of radical fragments, the generation of radical species from the allylic copper complex, and nucleophilic substitution, utilizing both experimental methods and DFT calculations.
Investigation of single electron transfer process between photoexcited copper complex with alkyl iodide
Ultraviolet-visible absorption experiments confirmed that the in-situ generated Py-NHC Cu(I) complex, formed from CuI, PyNHC, and TMG, serves as the active light-harvesting species, with additional reactants not affecting the absorption spectra (Supplementary Fig. 3). Subsequently, we measured transient absorption (TA) spectra over nanosecond to sub-microsecond timescales to investigate the electron transfer process between copper catalyst and alkyl iodide 1. Notably, we observed that the long-lived (2 μs) 3MLCT state of the Cu(I) complex can be quenched by the corresponding alkyl iodide (1) (Fig. 6a, b). The plot of the triplet excited state lifetime against the alkyl iodide concentration demonstrates non-linear Stern-Volmer quenching behavior (Fig. 6c), which aligns with the inner-sphere electron transfer process involving an exciplex formed between the 3MLCT state Cu(I) complex and the alkyl iodide36.
a Two-dimensional pseudo-color nanosecond TA spectra of the in-situ generated copper complex. (λpump = 355 nm) b TA kinetics at 440 nm of the in-situ generated copper complex. c TA lifetime plotted as a function of the quencher concentration. Bars represent mean ± SD (n = 20; individual data points are plotted). d Radical trapping experiment. e Studies of radical induced ring-opening process. f Plausible intermediates involved in reaction.
Radical formation and capture reactions
The experiment using 2,2,6,6-tetramethylpiperidiny-l-oxide (TEMPO) as the radical trapper confirmed the formation of the cyclobutyl methyl radical from alkyl iodide 1, which reacted with TEMPO to form adduct (97). The TEMPO adduct of the 1,4-skipped dienyl radical was not observed, resulting in the complete inhibition of the reaction. This suggests that the radical-induced cyclobutyl ring-opening process can barely compete with the direct radical coupling with TEMPO. (Fig. 6d). To further investigate the radical-induced ring-opening process, the neutral radical trapper diphenyl disulfide was introduced as an additive to the reaction mixture, resulting in the formation of three products: the direct coupling product (100), the ring-opening C-S coupling product (101), and the desired 1,4-skipped dienyl amines (3b, 12, or 102) (Fig. 6e). These results demonstrate that the cyclobutyl methyl radical can undergo ring-opening to generate the 1,4-skipped dienyl radical, which is available for subsequent C-N couplings. Furthermore, we noted a decrease in the yield of skipped dienyl amines, as the nucleophilicity of the substrates diminished. Thus, the nucleophilic substitution step was involved in C-N bond formation process via possible four electrophilic intermediates, i.e., allylic cation 103_Int, alllylic iodide 104_Int, π-allylcopper complex 105_Int, and σ-allylcopper complex 106_Int (Fig. 5f).
Exploration of the nucleophilic substitution step for C-N couplings
To gain insight into the nucleophilic substitution process, we conducted kinetic studies on the reaction of PhNHMe (88) and alkyl iodide (1) (Fig. 7a). The kinetics revealed a zeroth-order dependence on alkyl iodide (1), while the reaction exhibited first-order dependence on both the copper catalyst and the amine (98) (Fig. 7b, c). This suggests that both the copper catalyst and the amine are involved in the turnover-limiting step, specifically the nucleophilic substitution step. Subsequently, we performed kinetic experiments to evaluate the electronic effects of para-substitution in N-methyl anilines (98X) as the nitrogen source (Fig. 7d). The negative slope (ρ = −0.853) of the Hammett plot indicates that stronger nucleophilic amines increase the rate of N-nucleophilic attack in C–N coupling reactions. The small negative ρ value also suggests that the substitution step follows an SN2 mechanism rather than an SN1 mechanism; otherwise, a ρ value less than −5 would be expected45. Additionally, the calculated oxidation potential of the skipped dienyl radical is 0.94 V versus Ag/AgCl, while the reduction potential of the Cu(II) complex is 0.48 V versus Ag/AgCl, consistent with the cyclic voltammogram measurements (0.41 V vs Ag/AgCl) (Fig. 7e). Thus, the skipped dienyl radical is unlikely to undergo single electron oxidation by the Cu(II) complex. Collectively, these results support the conclusion that the nucleophilic substitution occurs via an SN2 mechanism.
a Reaction Kinetic studies of PhNHMe. b Reaction Kinetic studies of CuI and PyNHC. c Reaction Kinetic studies of alkyl iodide (1) d Hammett plots of reaction components. e Redox potential of intermediates.
Density functional theory calculations
We aimed to elucidate the nucleophilic addition step involved in the formation of C–N bonds using density functional theory (DFT) calculations (Fig. 8). Based on experimental data and literature36, it was demonstrated that Py-NHC-Cu(I) abstracts the iodide atom from compound 1 under irradiation with a 410 nm LED, generating a Cu(II) complex and the allylic radical 1a’ (Fig. 6). Therefore, our calculations were initiated from the Py-NHC-Cu(II) complex and the allylic radical 1a’. The Cu(II) complex captures the skipped dienyl radical, resulting in the formation of an 18-electron saturated σ-allylcopper complex (IntA1). The σ-allylcopper complex (IntA1) readily undergoes an outer-sphere SN2 reaction via a 7-membered ring transition state (TSA), overcoming an energy barrier of 10.2 kcal/mol to form the final product. However, IntA1 preferentially isomerizes to the thermodynamically more stable π-allylcopper complex (Int_b1), which then participates in a barrier-free outer-sphere SN2 reaction to afford the product (Supplementary Fig. 14). These computational findings are consistent with kinetic experimental data using 2b as the nucleophile, which exhibited zeroth-order dependence on nucleophile concentration (Supplementary Fig. 7). Notably, the generation of allylic iodide (IntA1→Int_a1, 10.6 kcal/mol), which could potentially consume the N-nucleophile, is still less favorable than the catalytic allylic substitution pathway (IntA1 → TS_b→Int_b1→IntA3). Additionally, inner-sphere pathways involving Cu(III) intermediates for C-N bond formation require traversing a higher-energy transition state (TSA, ΔG‡ = 12.3 kcal/mol, Supplementary Fig. 13), supporting the favorability of the outer-sphere SN2 catalytic route.
The solvent effects of N,N-dimethylacetamide by the PCM model was included. The energies are given in kcal/mol.
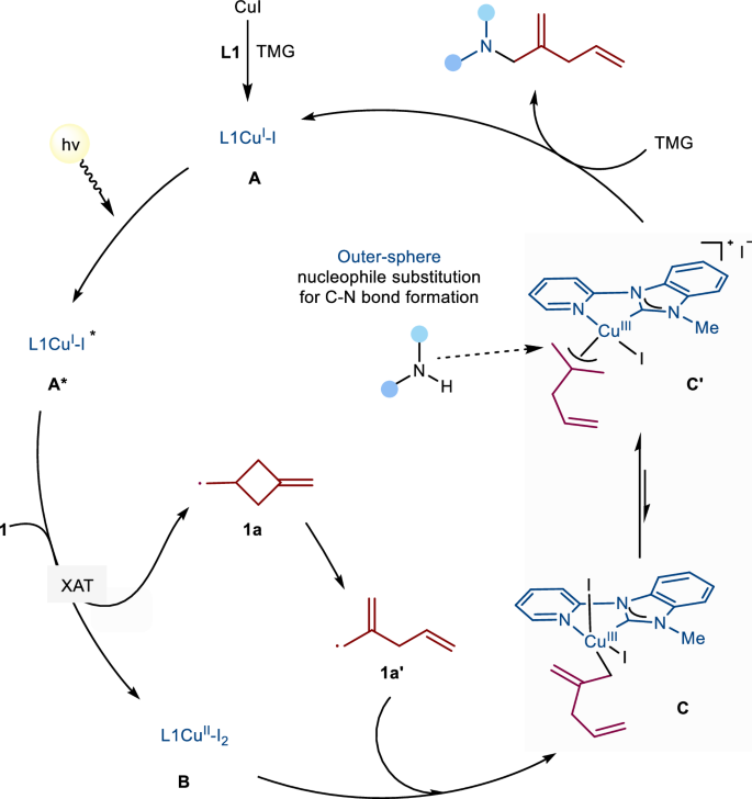
Proposed mechanism
Based on comprehensive experimental investigations, DFT calculations, and supporting literature36, we propose a plausible integrated reaction mechanism as depicted in Fig. 8. The catalytic cycle initiates with the in situ formation of a Py-NHC copper(I) complex (A), which undergoes photoexcitation under blue LED irradiation to form the excited-state complex A*. This activated species coordinates with the alkyl iodide substrate and abstracts the iodide moiety via an inner-sphere single electron transfer process36,46,47 (Fig. 6a–c). The resulting alkyl radical intermediate (1a) subsequently undergoes radical fragmentation to generate an allylic radical species (1a’) (Fig. 6d–f). The allylic radical 1a’ then coordinates with the copper(II) complex B to form allylic copper intermediates C or C’ (Fig. 7 & 8). DFT calculations coupled with kinetic studies suggest that intermediate C’ preferentially undergoes outer-sphere nucleophilic substitution to facilitate C-N bond formation43, ultimately releasing the final product while regenerating the copper complex A in Fig. 9. Nevertheless, alternative mechanistic pathways, including inner-sphere nucleophilic substitution, cannot be ruled out, particularly when employing different nucleophilic partners in three-component reactions. For example, in three-component reaction systems employing TMG (1,1,3,3-tetramethylguanidine) as a base to deprotonate nucleophiles (e.g., carboxylic acids)48,49,50, the reaction mechanism might shifts toward an inner-sphere nucleophilic substitution pathway (Supplementary Fig. 15). This alternative mechanism operates stereoselectively, preferentially yielding products with E-configuration (Supplementary Fig. 16 and 17). Additionally, for the outer-sphere SN2 reaction proceeding via the allylic copper(III) intermediate pathway with amines as nucleophiles, the thermodynamically favored π-allylcopper complex acts as the key intermediate CuIII-yita3E in Supplementary Fig. 18, dictating the selective formation of E isomers via a barrier-less route.
TMG Tetramethylguanidine. XAT Halogen-Atom Transfer.
Discussion
In this study, we developed a photocopper catalysis system for the synthesis of allylic amines through C–N coupling via outer-sphere nucleophilic substitution at allylic copper(III) complexes. The photoexcited copper(I) complex effectively abstracts the iodide atom from alkyl iodides, generating the corresponding alkyl radicals. These radicals subsequently convert into allylic radicals via radical rearrangement and addition to conjugated 1,3-dienes, ultimately recombining with the Cu(II) complex to form allylic copper(III) intermediates. The C–N bond formation through the outer-sphere SN2 pathway may inspire the development of new copper catalysis methods. The broad substrate scope exhibited in our experiments highlights the practical applicability of this copper catalytic system, particularly its effectiveness in coupling pharmaceutical derivatives. Given the versatility of our system, we anticipate considerable interest from the medicinal chemistry, synthetic chemistry, and catalysis communities.
Methods
General procedure for the two-component reactions to access allylic amines
To an oven-dried 10 mL reaction vial were added CuI (1.9 mg, 0.01 mmol, 10 mol% or 9.5 mg, 0.05 mmol, 50 mol%), PyNHC (3.6 mg, 0.01 mmol, 10 mol%), 1,1,3,3-Tetramethylguanidine (TMG) (23 μL, 0.18 mmol, 1.8 equiv), and DMA (1 mL) in a nitrogen-filled glove box. The resulting mixture was stirred for 10 min, followed by adding N-nucleophiles (0.1 mmol, 1.0 equiv) and alkyl iodides (0.15 mmol, 1.5 equiv) in sequence, and sealed with a screwed cap. The sealed vial was placed on a photo-reactor under irradiation of LEDs (410 nm, 6 W). The mixture was stirred at room temperature for 18 h, quenched with H2O, and extracted with ethyl acetate. The combined organic layers were dried over anhydrous Na2SO4, and concentrated in vacuo. The crude product was purified by silica gel column chromatography to afford the coupling product.
General procedure for three-component reactions to access allylic amines
To an oven-dried 10 mL reaction vial were added CuI (1.9 mg, 0.01 mmol, 10 mol%), PyNHC (3.6 mg, 0.01 mmol, 10 mol%), 1,1,3,3-tetramethylguanidine (TMG) (23 μL, 0.18 mmol, 1.8 equiv) and DMA (1 mL) in a nitrogen-filled glove box. The resulting mixture was stirred for 10 min, followed by adding N-nucleophiles (0.1 mmol, 1.0 equiv), 1,3-dienes (0.3 mmol, 3.0 equiv) and alkyl iodides (0.15 mmol, 1.5 equiv) in sequence, and sealed with a screwed cap. The sealed vial was placed on a photo-reactor under irradiation of LEDs (410 nm, 6 W). The mixture was stirred at room temperature for 18 h, quenched with H2O, and extracted with ethyl acetate. The combined organic layers were dried over anhydrous Na2SO4, and concentrated in vacuo. The crude product was purified by silica gel column chromatography to afford the coupling product.
References
Cernak, T., Dykstra, K. D., Tyagarajan, S., Vachal, P. & Krska, S. W. The medicinal chemist’s toolbox for late stage functionalization of drug-like molecules. Chem. Soc. Rev. 45, 546–576 (2016).
Marshall, C. M., Federice, J. G., Bell, C. N., Cox, P. B. & Njardarson, J. T. An Update on the nitrogen heterocycle compositions and properties of U.S. FDA-approved pharmaceuticals (2013-2023). J. Med. Chem. 67, 11622–11655 (2024).
Petruncio, G., Shellnutt, Z., Elahi-Mohassel, S., Alishetty, S. & Paige, M. Skipped dienes in natural product synthesis. Nat. Prod. Rep. 38, 2187–2213 (2021).
Xie, L. et al. Directed nickel-catalyzed regio- and diastereoselective arylamination of unactivated alkenes. Nat. Commun. 12, 6280 (2021).
Trost, B. M. & Van Vranken, D. L. Asymmetric transition metal-catalyzed allylic alkylations. Chem. Rev. 96, 395–422 (1996).
Trost, B. M. & Crawley, M. L. Enantioselective allylic substitutions in natural product synthesis. Top. Organomet. Chem. 38, 321–340 (2011).
Cheng, Q. et al. Iridium-catalyzed asymmetric allylic substitution reactions. Chem. Rev. 119, 1855–1969 (2019).
Qu, J. & Helmchen, G. Applications of iridium-catalyzed asymmetric allylic substitution reactions in target-oriented synthesis. Acc. Chem. Res. 50, 2539–2555 (2017).
Poli, G. et al. Transition Metal Catalyzed Enantioselective Allylic Substitution in Organic Synthesis (ed Kazmaier, U.) (Springer-Verlag Berlin Heidelberg, 2012).
Dutta, S., Bhattacharya, T., Werz, D. B. & Maiti, D. Transition-metal-catalyzed C-H allylation reactions. Chem 7, 555–605 (2021).
Hickman, A. J. & Sanford, M. S. High-valent organometallic copper and palladium in catalysis. Nature 484, 177–185 (2012).
Tang, X., Wu, W., Zeng, W. & Jiang, H. Copper-catalyzed oxidative carbon–carbon and/or carbon–heteroatom bond formation with O2 or internal oxidants. Acc. Chem. Res. 51, 1092–1105 (2018).
Liu, H. & Shen, Q. Well-defined organometallic Copper(III) complexes: Preparation, characterization and reactivity. Coord. Chem. Rev. 442, 213923 (2021).
Susse, L. & Stoltz, B. M. Enantioselective formation of quaternary centers by allylic alkylation with first-row transition-metal catalysts. Chem. Rev. 121, 4084–4099 (2021).
Hossain, A., Bhattacharyya, A. & Reiser, O. Copper’s rapid ascent in visible-light photoredox catalysis. Science 364, eaav9713 (2019).
Fu, G. C. Transition-metal catalysis of nucleophilic substitution reactions: a radical alternative to S(N)1 and S(N)2 processes. ACS Cent. Sci. 3, 692–700 (2017).
Sambiagio, C., Marsden, S. P., Blacker, A. J. & McGowan, P. C. Copper catalysed Ullmann type chemistry: from mechanistic aspects to modern development. Chem. Soc. Rev. 43, 3525–3550 (2014).
Yang, Q., Zhao, Y. & Ma, D. Cu-mediated Ullmann-type cross-coupling and industrial applications in route design, process development, and scale-up of pharmaceutical and agrochemical processes. Org. Process Res. Dev. 26, 1690–1750 (2022).
Dong, X. Y., Li, Z. L., Gu, Q. S. & Liu, X. Y. Ligand development for copper-catalyzed enantioconvergent radical cross-coupling of racemic alkyl halides. J. Am. Chem. Soc. 144, 17319–17329 (2022).
Luo, Y. et al. Oxidative addition of an alkyl halide to form a stable Cu(III) product. Science 381, 1072–1079 (2023).
Dong, X. et al. A general asymmetric copper-catalysed Sonogashira C(sp3)–C(sp) coupling. Nat. Chem. 11, 1158–1166 (2019).
Mo, X., Chen, B. & Zhang, G. Copper-catalyzed enantioselective Sonogashira type coupling of alkynes with α-bromoamides. Angew. Chem. Int. Ed. 59, 13998–14002 (2020).
Yang, C. T., Zhang, Z. Q., Liu, Y. C. & Liu, L. Copper-catalyzed cross-coupling reaction of organoboron compounds with primary alkyl halides and pseudohalides. Angew. Chem. Int. Ed. 50, 3904–3907 (2011).
Su, X. L. et al. Copper-catalyzed enantioconvergent cross-coupling of racemic alkyl bromides with azole C(sp2)−H bonds. Angew. Chem. Int. Ed. 60, 380–384 (2021).
Li, C., Chen, B., Ma, X., Mo, X. & Zhang, G. Light-promoted copper-catalyzed enantioselective alkylation of azoles. Angew. Chem. Int. Ed. 60, 2130–2134 (2021).
Chen, C., Peters, J. C. & Fu, G. C. Photoinduced copper-catalysed asymmetric amidation via ligand cooperativity. Nature 596, 250–256 (2021).
Chen, J. et al. Copper-catalyzed enantioconvergent radical C(sp3)–N cross-coupling of activated racemic alkyl halides with (Hetero)aromatic amines under ambient conditions. J. Am. Chem. Soc. 145, 14686–14696 (2023).
Chen, C. & Fu, G. C. Copper-catalysed enantioconvergent alkylation of oxygen nucleophiles. Nature 618, 301–307 (2023).
Hornillos, V., Pérez, M., Fananás-Mastral, M. & Feringa, B. L. Copper-catalyzed enantioselective allyl-allyl cross-coupling. J. Am. Chem. Soc. 135, 2140–2143 (2013).
McGrath, K. P. & Hoveyda, A. H. A multicomponent Ni-, Zr-, and Cu-catalyzed strategy for enantioselective synthesis of alkenyl-substituted quaternary carbons. Angew. Chem. Int. Ed. 53, 1910–1914 (2014).
Dabrowski, J. A., Gao, F. & Hoveyda, A. H. Enantioselective synthesis of alkyne-substituted quaternary carbon stereogenic centers through NHC-Cu-catalyzed allylic substitution reactions with (i-Bu)2(Alkynyl)aluminum reagents. J. Am. Chem. Soc. 133, 4778–4781 (2011).
Pérez, M. et al. Catalytic asymmetric carbon-carbon bond formation via allylic alkylations with organolithium compounds. Nat. Chem. 3, 377–381 (2011).
You, H., Rideau, E., Sidera, M. & Fletcher, S. P. Non-stabilized nucleophiles in Cu-catalysed dynamic kinetic asymmetric allylic alkylation. Nature 517, 351–355 (2015).
Zhang, Q., Zhou, S. W., Shi, C. Y. & Yin, L. Catalytic Asymmetric Allylic Substitution with Copper(I) Homo enolates Generated from Cyclopropanols. Angew. Chem. Int. Ed. 60, 26351–26356 (2021).
Harada, A., Makida, Y., Sato, T., Ohmiya, H. & Sawamura, M. Copper-catalyzed enantioselective allylic alkylation of terminal alkyne pronucleophiles. J. Am. Chem. Soc. 136, 13932–13939 (2014).
Luo, H. et al. In situ copper photocatalysts triggering halide atom transfer of unactivated alkyl halides for general C(sp3)-N Couplings. Nat. Commun. 15, 5647 (2024).
Huang, H.-M., Bellotti, P. & Glorius, F. Transition metal catalysed allylic functionalization reactions involving radicals. Chem. Soc. Rev. 49, 6186–6197 (2020).
Zhang, M.-M., Wang, Y.-N., Lu, L.-Q. & Xiao, W.-J. Light up the transition metal-catalyzed single-electron allylation. Trends Chem. 2, 764–775 (2020).
Wu, X. & Zhu, C. Recent advances in ring-opening functionalization of cycloalkanols by C–C σ-bond cleavage. Chem. Rec. 18, 587–598 (2018).
Huang, H.-M. et al. Catalytic radical generation of π-allylpalladium complexes. Nat. Catal. 3, 393–400 (2020).
Huang, H. M. et al. Three-component, interrupted radical Heck/allylic substitution cascade involving unactivated alkyl bromides. J. Am. Chem. Soc. 142, 10173–10183 (2020).
Zhuang, K. et al. Cobalt-catalyzed carbon−heteroatom transfer enables regioselective tricomponent 1,4-carboamination. J. Am. Chem. Soc. 146, 8508–8519 (2024).
Du, X. et al. Copper-catalyzed enantioconvergent radical N -alkylation of diverse (hetero)aromatic amines. J. Am. Chem. Soc. 146, 9444–9454 (2024).
Chen, J. J. et al. Iron-catalysed alkenylzincation of allenes via electrophilicity reversal. Nat. Catal. 8, 178–186 (2025).
Ho, T. D. et al. Cu-catalyzed three-component alkene carboamination: mechanistic insights and rational design to overcome limitations. J. Am. Chem. Soc. 146, 25176–25189 (2024).
Luo, H., Yu, F. & Lin, L. Visible-light excited copper activating unactivated alkyl iodides for radical addition/cyclization to access oxindole derivatives. Org. Chem. Front. 11, 6380–6384 (2024).
Xu, Y. et al. Photoinduced copper-catalyzed radical Mizoroki–Heck reaction with unactivated alkyl iodide. Org. Lett. 27, 3566–3570 (2025).
Wang, P.-Z. et al. Photoinduced copper-catalyzed asymmetric three-component coupling of 1,3-dienes: an alternative to Kharasch–Sosnovsky reaction. Angew. Chem. Int. Ed. 60, 22956–22962 (2021).
Li, G.-Q. et al. Photoinduced copper-catalyzed asymmetric three-component radical 1,2-azidooxygenation of 1,3-dienes. Angew. Chem. Int. Ed. 63, e202405560 (2024).
Wang, L. et al. Cooperative Cu/azodiformate system-catalyzed allylic C–H amination of unactivated internal alkenes directed by aminoquinoline. Nat. Commun. 15, 1483 (2024).
Acknowledgements
The authors acknowledge financial support from the National Natural Science Foundation of China (No. 22371027) and State Key Laboratory of Elemento-Organic Chemistry, Nankai University (202409). K.W. acknowledges financial support from the Chinese Academy of Sciences (YSBR-007) and the New Cornerstone Science Foundation through the XPLORER PRIZE. M.G. acknowledges financial support from JSPS KAKENHI (Grant Numbers JP24H02219) in Transformative Research Areas (A) JP24A202 Integrated Science of Synthesis by Chemical Structure Reprogramming (SReP). The computation results in this work are the outcomes achieved through the MANABIYA (ACADEMIC) program conducted by Institute for Chemical Reaction Design and Discovery (ICReDD), Hokkaido University, which was established by World Premier International Research Initiative (WPI), MEXT, Japan. A part of the calculation results was computed at the Research Center for Computational Science, Okazaki, Japan (Project Number 22-IMS-C002) and the computer center of Kyoto University. The authors also acknowledge the assistance of Dr. Huihui Wan in DUT Instrumental Analysis Center for HRMS analysis.
Author information
Authors and Affiliations
Contributions
L.L. conceived the research project. L.L. and H.L. designed the catalytic reactions. H.L., Y.M. and F.Y. contributed to optimizing the coupling reactions and mechanistic studies. H.L., Y.M., F.Y. and S.X. performed experiments of catalytic reactions. Y.Y. and H.L. performed experiments of TA measurements and analysis. M.G., L.L., H.J. and Y.L. performed the calculation. L.L., K.W. and M.G. co-directed the research project. L.L., K.W., M.G., H.L., S.X. and Y.Y. prepared the manuscript. All authors contributed to discussions on the manuscript.
Corresponding authors
Ethics declarations
Competing interests
The authors declare no competing interests.
Peer review
Peer review information
Nature Communications thanks Shuyu Zhang, and the other, anonymous, reviewers for their contribution to the peer review of this work. A peer review file is available.
Additional information
Publisher’s note Springer Nature remains neutral with regard to jurisdictional claims in published maps and institutional affiliations.
Rights and permissions
Open Access This article is licensed under a Creative Commons Attribution 4.0 International License, which permits use, sharing, adaptation, distribution and reproduction in any medium or format, as long as you give appropriate credit to the original author(s) and the source, provide a link to the Creative Commons licence, and indicate if changes were made. The images or other third party material in this article are included in the article’s Creative Commons licence, unless indicated otherwise in a credit line to the material. If material is not included in the article’s Creative Commons licence and your intended use is not permitted by statutory regulation or exceeds the permitted use, you will need to obtain permission directly from the copyright holder. To view a copy of this licence, visit http://creativecommons.org/licenses/by/4.0/.
About this article
Cite this article
Luo, H., Yang, Y., Ma, Y. et al. Light-driven radical copper-catalyzed allylic amination via allylic copper intermediates. Nat Commun 16, 10425 (2025). https://doi.org/10.1038/s41467-025-64951-5
Received:
Accepted:
Published:
Version of record:
DOI: https://doi.org/10.1038/s41467-025-64951-5











