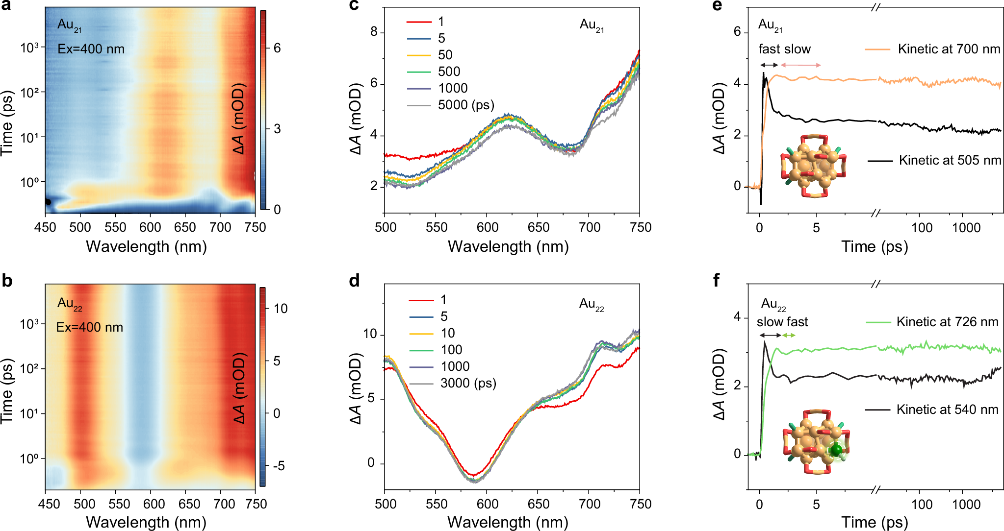
Fig. 3: Excited state dynamics of Au21 and Au22 nanoclusters dissolved in CH2Cl2.
From: Regulation of the photophysical dynamics of metal nanoclusters by manipulating single-point defects

Data map of femtosecond TA of a Au21 and b Au22 nanoclusters pumped at 400 nm. TA spectra of c Au21 and d Au22 nanoclusters at different time delays. TA kinetic traces selected at specific probe wavelengths of e Au21 and f Au22 nanoclusters.