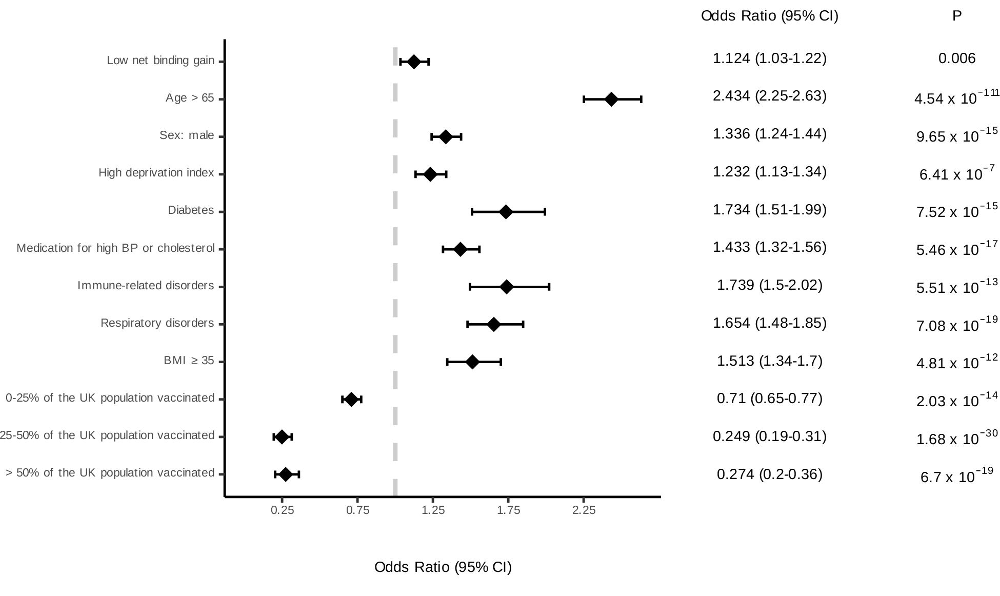
Fig. 4: HLA-binding gain after C > U mutations is associated with COVID-19 severity.
From: C > U mutations generate immunogenic peptides in SARS-CoV-2

Patients gaining a lower number of HLA-bound peptides/mutation (1st quartile, n = 4240 individuals) are more likely to have severe disease (n = 4549; total number of individuals: 16,974). The forest plot summarizes covariates of the logistic regression model, including sociodemographic and clinical factors that potentially affect COVID-19 disease outcome. The vaccination prevalence categories indicate the percentage of fully vaccinated individuals in the UK population at the time when the first positive test was reported for the patient; the odds ratios are calculated compared to COVID-19 cases of the dataset prior to the start of mass vaccination. See Methods for detailed information on the variables. BP represents blood pressure, and BMI indicates body mass index. The odds ratio with a 95% confidence interval is indicated. P-values of two-sided Z statistics are shown.