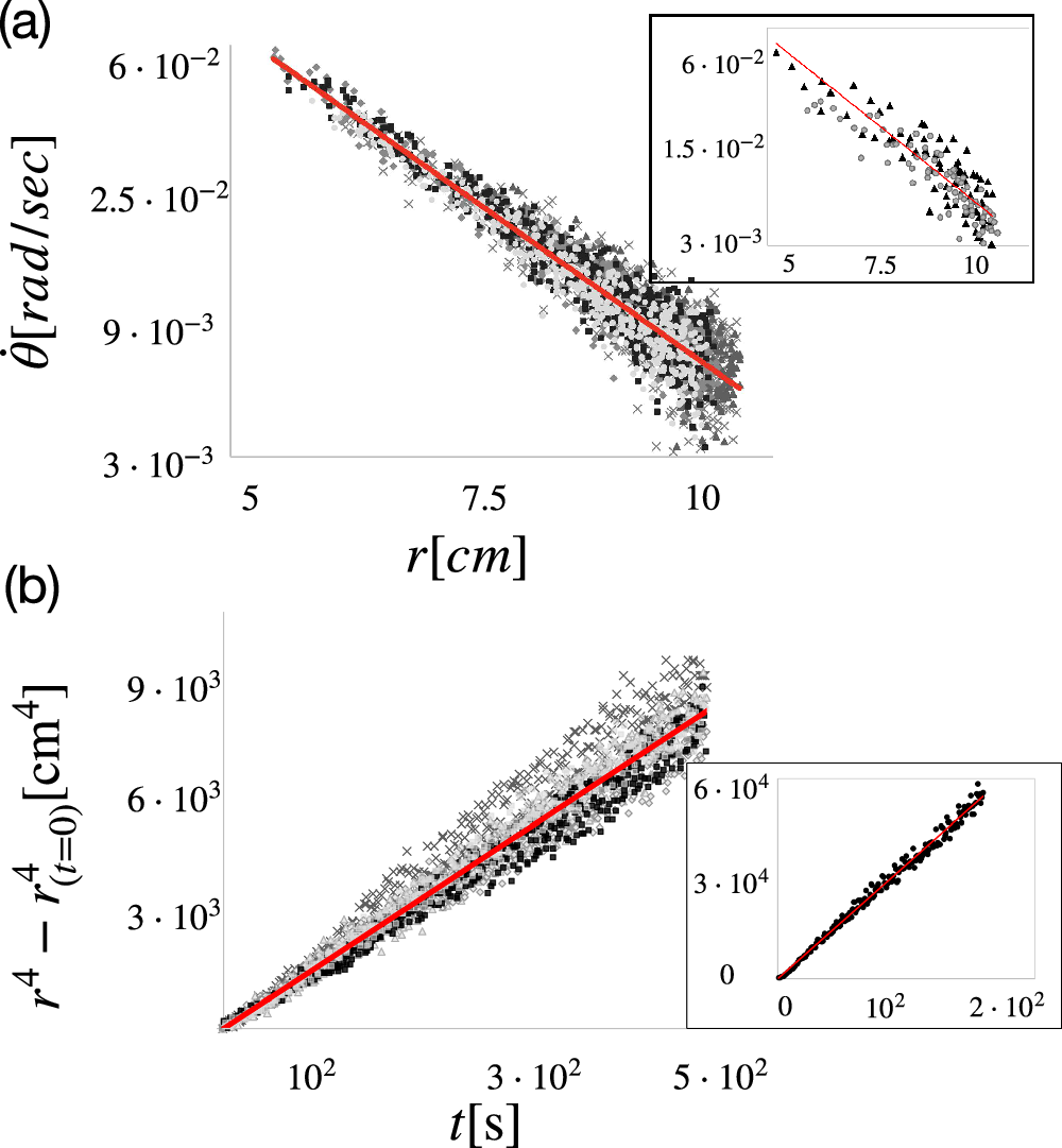
Fig. 2: Scaling of flows of two same-sign rotors.
From: Hydrodynamic spin-pairing and active polymerization of oppositely spinning rotors

Main plots (insets) are from the high (low) viscosity bath. a Orbit angular velocity as a function of distance for two same-sign rotors in a log-log plot. Overlay of five (two) experiments at different shades of gray. Solid red lines mark the analytical prediction of \(\dot{\theta }\propto 1/{r}^{3}\) (Eq. (6)). b Distance to the fourth power versus time for the same experiments of two same-sign rotors. The red solid lines are linear fits, verifying Eq. (5). Source data are provided as a Source Data file.