Abstract
Achieving strong nonlinear optical (NLO) responses in atomically thin layered materials is essential for advanced nanoscale photonic and on-chip integrated optoelectronic technologies. However, most materials with large second-order susceptibility (\({\chi }^{(2)}\)) operate only over narrow wavelength ranges, with rare reports in the mid-infrared (MIR) region. Topological engineering provides a promising strategy to enhance NLO responses. Here, we demonstrate that Weyl semiconductor tellurium (Te) nanoflakes exhibit giant second harmonic generation (SHG) across an ultrabroadband infrared range (1.2-5.0 μm), including the challenging MIR region, achieving conversion efficiency two orders of magnitude greater than GaSe. The extracted \({\chi }^{(2)}\) spectrum reveals a prominent peak of 5.0 ± 0.4 nm V-1 at 2.2-μm excitation and two shoulders, attributable to three two-photon resonances with interband transitions near three different Weyl cones, indicating topological enhancement of SHG. The giant, anisotropic, ultrabroadband SHG in Te nanoflakes promises unprecedented versatility for MIR frequency conversion and advanced MIR nonlinear optical devices.
Similar content being viewed by others
Introduction
Second harmonic generation (SHG), a second-order nonlinear optical (NLO) process that refers to coherently combining two photons into one photon with twice of energy, occurs for crystals with broken inversion symmetry1. SHG plays a pivotal role in various applications, such as frequency conversion, coherent light generation, nonlinear auto and cross-correlations, optical signal processing and imaging2,3,4. For miniature optoelectronic and all-photonic device applications, particularly in on-chip integration, conventional NLO bulk crystals are usually not applicable due to their three-dimensional covalent bonding nature, large light-matter interaction volumes, and complex phase-matching requirements. In contrast, atomically thin layered materials, such as transition metal chalcogenides (TMDCs), offer a promising alternative owing to their bond-free integration capabilities, unique van der Waals interfaces, tunable nonlinearity and relaxed phase-matching conditions due to their atomic thickness5,6,7,8. However, it remains a challenge to achieve high nonlinear conversion efficiency with atomically thin layered materials due to limited light-matter interaction length, and a larger second-order NLO susceptibility (\({\chi }^{(2)}\)) is urgently demanded to achieve high conversion efficiency for on-chip photonic circuits. Previous studies on SHG from atomically thin layered materials, such as MoS2 (refs. 9,10), WSe2 (refs. 6,11), PbSe2 (ref. 12), and NbIO2 (ref. 13), have demonstrated high SHG susceptibility, up to 190 pm V−1 at 1050 nm in NbIO2 benefiting from exciton resonance effects. However, these studies have been limited to the visible to near-infrared (NIR) wavelength region, and very limited solutions are available in the mid-infrared (MIR) region, a spectral range that is crucial for remote sensing, gas sensing, autonomous driving, night vision, and astronomy14,15. In addition, suitable atomically thin layered materials with larger \({\chi }^{(2)}\) in MIR are highly desirable in realizing ultracompact integrated photonic and optoelectronic devices for various applications, such as MIR photodetection utilizing frequency up conversion16,17, MIR to telecom band light signal processing modules in free-space optical communication systems18, and MIR/NIR dual band supercontinuum light sources for sensing over optical coherence tomography in biomedicine19.
In parallel, it has been theoretically proposed and experimentally explored that various NLO responses can be enhanced by the Berry phase in topological materials, which promises a new technical route toward high-efficiency nonlinear conversion materials. Early theoretical work proposed that general NLO effects, including second-order responses, such as shift current and SHG, as well as third-order responses, such as the NLO Hall effect and Kerr rotations, can be described through topological quantities involving the Berry connection and Berry curvature using Floquet formalism20 and the response can possibly be enhanced by the Berry phase when the optical transition matches specific states that are topologically nontrivial. Experimentally, since 2019, the topological enhancement of the shift current response has already been demonstrated by photocurrent measurements on Weyl semimetals, such as TaAs (ref. 21) and TaIrTe4 (ref. 22), when the optical transitions are in the vicinity of the Weyl nodes. A similar attempt at SHG in the Weyl semimetal TaAs occurred even earlier, back to 2017, when experiments showed a large \({\chi }^{(2)}\) of 7.2 nm V−1 at 1.5 eV (ref. 23). However, later, photon-energy-dependent measurements demonstrated a relatively large SHG response at 1.5 eV arising from the high-energy tail of the resonance at 0.7 eV, which ruled out the direct connection between the enhanced SHG response and low-energy Weyl Fermions24. Following these studies, SHG measurements of the newly established Weyl semiconductor tellurium (Te) in the NIR region (0.7–2.5 μm) have shown the best infrared performance among the reported atomically thin layered materials, with \({\chi }^{(2)}\) reaching 5.58 nm V−1 at 2.3 μm, but experimentally, the measurement by Fu et al. is limited to NIR region or falls at the near infrared boundary of MIR wavelength range25. In terms of data interpretation, an inappropriate intraband model is used in Fu et al.’s work to describe the large SHG response to the topological nature of Te, which should be dominated by interband transitions in their measurement range. In addition, their numerical analysis has substantial discrepancy with previous calculations20,26,27. These deficiencies in experiment and interpretation undermined the claim regarding the correlation between the large SHG response and the numerically calculated Berry curvature dipole of Te. To date, the impact of the topological nature on the large SHG of topological materials remains elusive, especially for wavelengths further into the MIR region.
Even before the demonstration of large SHG in the NIR region, Te has received widespread attention because of its high carrier mobility, intriguing topological properties, excellent environmental stability and photoresponse in the MIR region28. The nanoflakes, belonging to the P3121 or P3221 space group, maintain broken inversion symmetry regardless of thickness, in contrast to 2H-stacked TMDCs, which exhibit reversed inversion symmetry between odd and even layers. The band structure of Te nanoflakes reveals a topological electronic structure with multiple Weyl nodes, in agreement with angle-resolved photoemission spectroscopy (ARPES)29,30,31,32, magneto-transport33,34 and optical measurements35,36, establishing Te as a Weyl semiconductor. In addition, multiple experiments have already shown strong NLO effects of Te in the visible and NIR ranges25,37,38,39.
Here, we reinvestigate the SHG responses of Te nanoflakes with fundamental excitation wavelengths ranging from the NIR region (1.2 μm) to the MIR region (5.0 μm), revealing the intrinsically giant, highly anisotropic and ultrabroadband SHG response. The conversion efficiency of Te nanoflakes is two orders of magnitude greater than that of GaSe, a prominent atomical thin layered nonlinear NIR material40. The spectrum of extracted \({\chi }^{(2)}\) shows three local maximums that match the major transitions at the vicinity of the three Weyl cones. Benefiting from the joint contribution from three different Weyl cones in conduction and valance band, Te exhibits a large topologically enhanced SHG response over a broad wavelength range covering both NIR and MIR, providing an ideal on-chip SHG crystal. Our numerical calculation of \({\chi }^{(2)}\) shows consistency with experimental results when appropriate Fermi level and scattering rate at high excitation energies are incorporated. Overall, these findings not only directly provide a highly efficient SHG conversion materials in the MIR region, particularly in the context of on-chip integration, but also pave an alternative route for exploring stronger NLO responses through topological engineering of quantum matters.
Results
Basic characterization and anisotropic SHG repsonses
The Te nanoflakes used in our work were synthesized by a hydrothermal method and then transferred onto SiO2 (285 nm)/Si substrates through a drop-casting process (see Methods for synthesis details). Figure 1a displays the crystal structure of Te, where the one-dimensional (1D) helical atomic chains are arranged in a parallel assembly interconnected by van der Waals forces, stretching in the c-direction30. The crystallographic c-axis of the Te nanoflake can be identified from the long edge in the optical image and was further confirmed by polarization-dependent Raman spectroscopy. These basic characterizations of the Te nanoflake are presented in Supplementary Note 1.
a The crystal structure of Te flake viewed along the c-direction (top) and a-direction (bottom). b Schematic diagram of the experimental setup for SHG measurements, with the red and blue double arrows indicating the polarizations of the fundamental beam (\({{\rm{\omega }}}\)) and SHG beam (\(2{{\rm{\omega }}}\)), both aligned parallel to the crystal a-axis. c Normalized SHG spectra at different fundamental wavelengths ranging from 1.2 μm to 5.0 μm. d Optical image of the Te nanoflakes. Red and blue arrows are along the crystallographic a- and c-axes, respectively. Scale bar: 50 μm. e Normalized SHG intensity map of the same Te nanoflake, with an excitation power of 200 μW and a peak intensity of 15 GW cm−2 at 2 μm. f A typical power dependence of SHG intensity under 4-μm excitation plotted on a logarithmic scale; a linear fit with a slope of 1.93 supports the quadratic dependence characteristic of the SHG. g Polarization state of SHG signals under different linearly polarized excitations. α denotes the angle of the polarization direction of the fundamental beam relative to the crystal a-axis, as illustrated in Fig. (d). Solid lines are the best-fit curves using the Supplementary Equation (12) derived from symmetry analysis.
To explore the second-order NLO properties of Te in the MIR region, we performed SHG measurements with excitation wavelengths ranging from 1.2 µm (1.03 eV) to 5.0 µm (0.25 eV), and the longest wavelength corresponds to the transition below the optical bandgap of Te (~0.36 eV). All measurements were performed with the back-reflection geometry shown in Fig. 1b, and the polarization of the fundamental beam was set perpendicular to the crystallographic c-axis, unless otherwise specified. For SHG signals above 1.24 eV, a cooled silicon charge-coupled device (CCD) is used to detect the SHG signal; for SHG signals below 1.24 eV, a cooled single-cell InGaAs detector is used instead, with a detection efficiency much lower than that of the cooled silicon CCD. Despite the limitations of the InGaAs detector, the SHG spectra still exhibit a good signal-to-noise ratio over the SHG spectrum range from 2.1 μm to 5.0 μm, as measured on an 18-nm Te nanoflake due to the giant SHG response Fig. 1c. The clear SHG signal implies that Te may possess a very large and broadband second-order NLO response in the MIR. Furthermore, a confocal scanning modality is used to obtain spatial mapping of the SHG intensities over an individual Te nanoflake Fig. 1d, e, further confirming the perfect single-crystalline quality and uniform thickness of the sample. Figure 1f shows the typical power-dependent SHG intensity under 4-μm excitation, which can be linearly fitted with a slope of 1.93, indicating the quadratic nature of the second-order NLO process. Figure 1g shows that the polarization direction of the SHG from Te nanoflakes is always linearly polarized along the a-axis regardless of the polarization of the fundamental excitation. In addition, the SHG intensity shows strong anisotropy with respect to the linear polarization direction of the fundamental beam, and only the linear polarization component along the crystallographic a-axis contributes to the SHG. These polarization characteristics of SHG with more thorough polarization-dependent measurements are consistent with the symmetry analysis of Te presented in Supplementary Note 2.
Giant broadband SHG responses
To compare the SHG conversion efficiencies, we conducted reference SHG measurements on exfoliated GaSe flakes and bulk TaAs in the same setup. GaSe is a well-known layered material with a large second-order NLO coefficient in the MIR region40,41,42, and TaAs is a bulk Weyl semimetal that exhibits large second-order NLO polarizability according to previous reports23. However, SHG signals from neither GaSe flakes nor TaAs in the MIR region (2.5 μm-5.0 μm) are detectable in our SHG measurement setup due to the limited excitation power of the fundamental light from the difference frequency generation (DFG) system (~1.5 mW) with 250 kHz repetition rate and the notably lower efficiency of the InGaAs detector compared to a silicon CCD. This suggests that Te possesses a much larger second-order NLO effect than GaSe and TaAs. For shorter-wavelength fundamental excitation (below 2.1 μm), the SHG from GaSe and TaAs is measurable in our setup with a silicon CCD. A comparison of the SHG spectra between the 18-nm-thick Te nanoflake and as-exfoliated 20-nm-thick GaSe flake on the same substrate, together with bulk TaAs with a fundamental excitation wavelength of 2 μm are presented in Fig. 2a. The results show that the SHG signal of Te is 2–3 orders larger than those of GaSe and TaAs. More comparisons between Te and GaSe flakes with fundamental excitation wavelength from 1.2 μm to 2.4 μm are presented in Fig. 2b. The ratio shows a clear increasing trend with the fundamental wavelength, and exceeds two orders of magnitude for fundamental wavelengths longer than 1.4 μm. The absolute SHG conversion efficiency \(({\eta }_{{SHG}})\), defined as the ratio between the power of the generated SHG and the power of the fundamental beam, is calculated to be ~0.002% for Te nanoflakes with a peak excitation intensity of 15 GW cm−2 at 2 μm (see Supplementary Note 3 for details). This conversion efficiency is comparable to the value of the best SHG conversion efficiency material NbOI2 in the NIR region13 and is orders of magnitude greater than the values previously reported for other nonlinear 2D materials (Supplementary Table 1).
a Comparison of SHG spectra between 18-nm Te nanoflake, as-exfoliated 20-nm GaSe and bulk TaAs (~3 mm thick) at 2-μm excitation. b The ratio (\({I}_{{{\rm{Ratio}}}}\)) of SHG intensities between an 18-nm Te nanoflake (\({I}_{{{\rm{Te}}}}\)) and an as-exfoliated 20-nm GaSe (\({I}_{{{\rm{GaSe}}}}\)) in the NIR region on the same substrate. Error bars represent the standard deviations from multiple measurements. c SHG spectra of Te nanoflakes as a function of thickness, ranging from 18 nm to 47 nm. d Thickness-dependent SHG intensity of Te and exfoliated GaSe, at wavelengths of 1.2 μm, 1.6 μm, and 2.0 μm with the same excitation power. The solid lines (Te) and dashed lines (GaSe) represent the corresponding fit curves obtained by Eq. (1). Error bars indicate standard deviations from measurements on multiple samples with the same thickness. e Comparison of the second-order NLO susceptibility \(\chi\)(2) between Te nanoflakes and other reported NLO materials. The detailed values are shown in Supplementary Table 1.
Although the thicknesses of the Te and GaSe used for comparison are very close, the direct comparison in Fig. 2b is not fair as the SHG response of both materials strongly depends on the sample thickness due to the interference effect of the flake. As shown in Fig. 2c, the SHG signal of Te has a clearly monotonic decrease dependence on the thickness. In the next, we extract the \({\chi }^{(2)}\) of the Te nanoflakes from a four-layer structure (air/Te/SiO2/Si) by applying the transfer matrix method and Green function technique (see details in Supplementary Note 4) to get the flake thickness (d) dependence of the SHG intensity I2ω (d) as43:
where \({I}_{\omega }\) is the intensity of the fundamental light with the angular frequency \(\omega\), \({\lambda }_{2\omega }\) is the SHG wavelength, \({\varepsilon }_{0}\) is the vacuum permittivity, \(c\) is the speed of light in vacuum, and \({R}_{\omega }\) (\({R}_{2\omega }\)) represents the reflectivity of the whole structure at \(\omega\) (\(2\omega\)). According to Eq. (1), the measured SHG intensity \({I}_{2\omega }\) depends on the sample thickness due to the interference effect, and the SHG susceptibility \({\chi }^{(2)}\) is a function of the light wavelength only, independent of the sample thickness. Figure 2d shows the SHG intensity from a series of Te nanoflakes with different thicknesses ranging from 18 to 47 nm and a series of GaSe flakes with different thicknesses ranging from 10 to 30 nm, measured under 1.2, 1.6 and 2-μm excitations and the excitation polarization is optimized for the largest SHG response. Taking \({\chi }^{(2)}\) as a fitting parameter, the experimental data are well fitted, as shown by the solid curves in Fig. 2d, providing the fitting values of \({\chi }^{(2)}\) to be 0.7 ± 0.08 nm V−1, 2.5 ± 0.08 nm V−1, 3.5 ± 0.23 nm V−1 for 1.2-μm, 1.6-μm and 2-μm excitation, respectively. We further extracted the \({\chi }^{(2)}\) spectrum of Te nanoflakes from the NIR to MIR region (1.2 μm–5.0 μm), shown as the red star in Fig. 2e. Our results are mostly consistent with Fu’s reported \({\chi }^{(2)}\) values in the overlap wavelength region (1.2–2.5 μm)25, which supports the reliability of both measurements in the NIR region. The large \({\chi }^{(2)}\) of Te nanoflakes in the MIR wavelength region address the scarcity of reports on SHG of 2D materials in this spectrum region, and the large \({\chi }^{(2)}\) of Te nanoflakes in such an ultrabroad wavelength range sets it apart from other NLO materials, with more comparisons presented in Supplementary Table 1. Notably, our measurement extends to the wavelength range with the fundamental photon energy below the optical bandgap of Te nanoflakes (~ 0.36 eV, corresponding to 3.4 μm), where the SHG conversion could be substantially improved due to negligible optical absorption. This is critical for application in transmission geometry with thick materials, when the absorption becomes the major limiting factor for SHG.
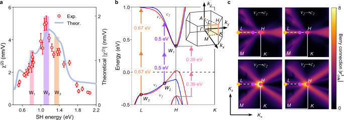
Figure 3a presents the second-harmonic (SH) photon energy dependence of the extracted \({\chi }^{(2)}\). Compared to Fu et al.’s work25, our experiment extends the excitation wavelength to the MIR region, which enables the observation of a more pronounced peak (noted as W2) of ~ 5 nm V−1 at 1.12 eV and two shoulders (noted as W3 and W1) of ~ 3.2 nm V−1 and 2.3 nm V−1 at 1.34 eV and 0.78 eV, respectively. Interestingly, the SH photon energies of these features coincide with the interband transition energies that involve the three Weyl points of Te. The band structure of Te was calculated by density functional theory (DFT) with the inclusion of spin-orbit coupling (SOC), which is the same as ref. 33. As shown in Fig. 3b, the strong SOC leads to spin-splitting in the energy bands, represented by the red and blue lines. Weyl nodes W2 and W3 are formed by crossings of spin-splitting valence bands along the highly symmetric H–L line, while W1 is formed by the crossing of spin-splitting conduction bands at the H point. Qualitatively, the SH photon energy of the peak W2 corresponds to the interband transition energy (between the highest valence bands and the lowest conduction bands) near the Weyl node W2 (E2 = 1.0 eV), while the shoulders W1 and W3 are associated with the interband transitions at W1 (E1 = 0.78 eV) and W3 (E3 = 1.34 eV), respectively. Such connections can also be verified by the \(k\) distribution of the Berry connections \({{{\bf{r}}}}_{{cv}{{\bf{k}}}}\) between a conduction band \(c\) and a valence band \(v\), which are key quantities for optical responses. For SHG, how the Berry connection is involved in the SHG susceptibility can be simply illustrated by an interband contribution for a two-band system (see Methods for details):
where \({v}_{{cc}{{\bf{k}}}}^{x}\) \(({v}_{{vv}{{\bf{k}}}}^{x})\) gives intraband velocity matrix elements, and \({{\rm{\tau }}}\) is a phenomenological relaxation time. Figure 3c presents the in-plane Berry connections (\(|{{{\boldsymbol{r}}}}_{{cv}{{\mathbf{ k}}}}^{\parallel }|=\sqrt{{|{r}_{{cv}{{\mathbf{ k}}}}^{x}|}^{2}+{|{r}_{{cv}{{\mathbf{ k}}}}^{y}|}^{2}}\)) between the lowest two conduction bands (c1, c2) and the highest two valence bands (v1, v2) in the plane of HKML, and shows extremely large amplitudes along the high symmetry H-L path due to the topological band structure. Simultaneously, the corresponding interband transition energies along the highly symmetric H–L line, involving multiple Weyl points, also precisely match the SH energy region exhibiting giant SHG responses. These features suggest that the enhanced SHG response is related to the topological electronic structure.
a The experimentally extracted \({\chi }^{(2)}\) spectrum of Te nanoflakes as a function of SH energy and the theoretically calculated result with Fermi energy \({E}_{f}=-10\) meV. The pink, purple and orange shaded areas labeled with W1, W2 and W3 mark a peak and two shoulders in the response spectrum, respectively. Error bars indicate standard deviations from measurements on multiple samples. b Schematic band structure of Te around the high-symmetry H and L points of the Brillouin zone with spin-orbit coupling. The inset shows the first Brillouin zone of Te crystal. The pink, purple and orange arrows mark the two-photon transition energies at three different Weyl nodes (W1, W2 and W3), which correspond to the three shade areas marked in (a). c The modulus of in-plane interband Berry connection (\({|{{\boldsymbol{r}}}}_{{cv}{{\boldsymbol{k}}}}^{{||}}|\)) between the highest two valence bands \({{\rm{\nu }}}={v}_{1}({blue}),{v}_{2}({red})\) and the lowest two conduction bands \({c=c}_{1}({red}),{c}_{2}({blue})\) in the LHKM plane of the Brillouin zone. The high symmetry points are marked. The horizontal and vertical axes are along the L-H and K-H directions, respectively; the color scale indicates the modulus of in-plane Berry connection.
To further investigate the connection between the giant broadband SHG response and topological Weyl bands, we perform numerical calculations of \({{{\rm{\chi }}}}^{\left(2\right)}\) for SHG of Te over the wavelength range in the measurements. Figure 4a presents a comparison between the experimental and calculated \({{{\rm{\chi }}}}^{\left(2\right)}\) values, and the details of the calculation approaches are presented in the Methods. We first perform a theoretical calculation for undoped Te, which is shown as the blue dashed curve in Fig. 4a and successfully replicate the results by Guo’s group (gray dashed curve)26, with minor differences likely stemming from variations in the \({{{\rm{\chi }}}}^{\left(2\right)}\) model and first-principle calculations. However, both theoretical results show substantial deviation with the experiments. It’s worth to note that our experimental results at high photon energies from 1.0 to 2.1 eV are consistent with those in Fu et al.’s work25 (as illustrated by the data in Fig. 2e), where the mechanism of SHG was understood by a Berry curvature dipole (BCD)- dominated SHG model based on intraband transitions. With regarding to the \({{{\rm{\chi }}}}^{\left(2\right)}\) calculations in Fu’s work25 (purple dashed curve in Fig. 4a), it becomes quite questionable due to the inconsistency with both Guo’s work26 and ours. The BCD-dominated SHG model does not quite apply to the high excitation photon energy used in this experiment, which mainly corresponds to interband transitions. Furthermore, according to the photon energy dependence of our extended MIR experimental results, the BCD mechanism can also be ruled out, which will be further discussed in Supplementary Note 5.
a Comparison of the experimentally extracted \({\chi }^{(2)}\) and theoretically calculated \({\chi }^{(2)}\) of undoped Te as a function of SH energy. The blue, purple, and gray curves correspond to the theoretical results from this work, ref. 25, and ref. 26, respectively, while experimental points are illustrated with gray circles. b Comparison of the experimentally extracted \({\chi }^{(2)}\) and the theoretically calculated \({\chi }^{(2)}\) of Te at different Fermi levels. c Comparison of theoretically calculated \({\chi }^{(2)}\) with and without corrections for relaxation time in the high-energy range. d–f k-resolved SHG in the reciprocal plane surrounded by HKML for different SH photon energies 2ℏω = 0.78 eV (d), 1.12 eV (e), and 1.34 eV (f). Color scale indicates the absolute values of the symmetrized contribution to SHG (see Methods for details) at each k-point, the horizontal and vertical axes are along the L-H and K-H directions, respectively.
To capture the p-doping characteristics of Te nanoflakes44,45, we also performed the calculation with adjusting the Fermi level (Ef) to 10 meV below the valence band edge, and the results (red line in Fig. 4b) show improved alignment in the low-energy range (0.2–1.1 eV). This is likely due to a reduced probability of the interband resonance transition near the band gap, resulting from the Pauli blocking effects induced by the p-doping with Ef below the valence band edge. In the high photon energy range (1.2–2.1 eV), a better match with our experimental results, as shown in Fig. 4c, can be phenomenologically obtained by adopting corrections to the relaxation time (\({{\rm{\tau }}}\)), which reflects the very different relaxation processes for carriers with different energies. In the high energy range, the electron relaxation time is greatly reduced due to larger electronic density of states and more scattering channels via interaction with phonon and impurity, compared with that in the low energy range (Supplementary Note 6 provides a complete description). Our theoretical calculation, which is based on single-particle model and relaxation time approximation, primarily reflects how the band structure or the band topology contributes to the SHG. The similarity in the shape of the calculated \({\chi }^{\left(2\right)}\) spectrum and the experimental measurement indicates the importance of the band topology in SHG. We note that the differences in the amplitudes are primarily due to model simplifications, such as neglecting local fields and excitonic effects, as well as variations in experimental collection efficiency. Despite this, our approach has successfully captured the main physics and been widely used in the comparisons between experiments and theories13,23.
To reveal the physical mechanism for the huge SHG response, Fig. 4d–f shows the calculated k-resolved SHG in the LHK plane (see details in Methods) for three SH photon energies corresponding to the features of W1, W2, and W3. For different photon energies, the dominant contributions (hot spot) are all located between Weyl points W1 and W2 along the H-L line. Note that the hot spots do not exactly overlap with the Weyl points, thus the inconsistency between the corresponding interband optical transition energies at the hot spots and SH photon energies (which corresponds to the transition at those Weyl points) indicate that both the resonant and non-resonant transitions (on the basis of whether the transition energies match the photon energies) at different k points play crucial roles in the SHG responses, indicating a complicated wavevector dependence on the transition amplitude. However, the locations of these hot spots are aligned with the very large Berry connections around the Weyl points, which indicates the important influence of the band topology on the nonlinear optical responses. This corresponding relationship shows that the giant SHG response in the NIR to MIR regions is indeed the origin of the light matter interaction occurring around the robust huge Berry connection around the Weyl points.
In summary, Te, a Weyl semiconductor, is demonstrated experimentally to have prominent SHG efficiency over a broad wavelength range covering the MIR region, and the conversion efficiency is two orders of magnitude larger than that of GaSe, the best nonlinear crystal that was previously used for the MIR region, and its infrared conversion efficiency is also comparable with the best NIR materials. The giant broadband response of Te is attributed to the joint responses of three Weyl cones in the valence and conduction bands of Te through the match between the spectrum measurement and numerical simulation with sorted contributions from Weyl bands. The intrinsically giant, highly anisotropic, and ultrabroadband SHG response of Te nanoflakes offers unprecedented versatility and efficiency in MIR nonlinear conversion, particularly concerning on-chip integration. These results provide a convincing experiment and analysis that nails down the topologically enhanced SHG response and paves the way for exploring stronger NLO responses through topological quantum engineering.
Methods
Sample preparation
Te nanoflakes were grown through a hydrothermal method45,46. First, 3 g of polyvinylpyrrolidone (PVP, molecular weight = 58000) was dissolved in 32 mL of deionized (DI) water. Subsequently, 92 mg of Na2TeO3 was added to the PVP solution with continuous stirring. After that, 3.32 mL of ammonium hydroxide solution and 1.68 mL of hydrazine hydrate were added to the solution. After 5 min of magnetic stirring, the solution was transferred to a Teflon-lined stainless-steel autoclave and maintained at 180 °C for 10 h. The resulting product was washed with DI to remove any residual ions. Te nanoflakes were redispersed in ethyl alcohol and subsequently transferred onto a 285 nm SiO2/Si substrate via drop-casting.
SHG measurement
A 250 kHz Ti-Sapphire regenerative amplifier (RegA) is used to generate linearly polarized laser pulses at an 808 nm (1.53 eV) center wavelength with a 100-fs pulse duration. An 808 nm beam is used as the pump laser of an infrared optical parametric amplifier (OPA) to generate a signal (1.2–1.56 μm) and idler light (2.4–1.65 μm). The signal and the idler are used to pump a difference frequency generator (DFG) to generate MIR pulsed light centered at 2.5–5.0 μm. The pump light pulse duration is checked by autocorrelation measurements based on interferometric autocorrelation on a single-channel InGaAs or InSb photodetector. The fundamental beam is focused by a reflective objective with a numerical aperture of 0.5. The SHG signal is collected by the same lens and delivered to a spectrometer (Zolix Omni-λ 7528i) equipped with an electric-cooled Si CCD (Andor iDus 416) or a spectrometer (Princeton SP2500i) with a cooled single-channel InGaAs photodetector. The SHG signal above 1 μm (1.24 eV) is detected by an InGaAs photodetector with a lock-in amplifier phase-locked to an optical chopper that modulates the fundamental beam at a frequency of 521 Hz. The sample was fixed to an XY piezo-scanner stage for sample scanning. The excitation power was characterized by a power meter with an InGaAs integrating sphere sensor and a thermal power sensor. The polarization-dependent SHG measurement setup is presented in Supplementary Note 2. All our experiments were carried out at room temperature.
Numerical calculations
The perturbative microscopic expressions for the susceptibility of second harmonic generation is derived from the semiconductor Bloch equation, and the components \({\chi }^{\left(2\right){;xxx}}={\chi }^{\left(2\right)}\left(\omega \right)\) can be written as:
Here, \({w}_{0}=2\hslash \omega+i\hslash /\tau,{w}_{3}=\hslash \omega+i\hslash /\tau\) with the relaxation parameter \({{\rm{\tau }}}\), \({{\hslash }}{{{\rm{\omega }}}}_{{nm}{{\bf{k}}}}={\varepsilon }_{n{{\bf{k}}}}-{\varepsilon }_{m{{\bf{k}}}}\) gives the band energy difference between the n and m bands at the wave vector k point, \({f}_{n{{\mathbf{ k}}}}={\left[{e}^{({\varepsilon }_{n{{\bf{k}}}}-\mu )/{k}_{B}T}+1\right]}^{-1}\) gives the Dirac Fermi distribution at chemical potential \({{\rm{\mu }}}\) and temperature T, \({{{\bf{r}}}}_{{nm}{{\bf{k}}}}^{x}=\frac{{v}_{{nm}{{\bf{k}}}}^{x}}{-i{\omega }_{{nm}{{\bf{k}}}}}\) gives the x-component of the interband Berry connection, \({v}_{{nm}{{\bf{k}}}}^{x}\) is the velocity matrix element, and the symbol \({\left({P}_{{nm}{{\bf{k}}}}^{x}\left({w}_{3}\right)\right)}_{;{{{\bf{k}}}}^{x}}\) gives the invariant derivative defined in ref. 47. The square bracket in Eq. (4) refers to the commutation relation for matrices \({r}_{{{\bf{k}}}}^{x}\) and \({P}_{{{\bf{k}}}}^{x}\left({w}_{3}\right)\) with respect to the band indices (n, m) of \({r}_{{nm}{{\bf{k}}}}^{x}\) and \({P}_{{nm}{{\bf{k}}}}^{x}\left({w}_{3}\right)\). During our numerical calculation, 6 conduction bands and 12 valence bands are considered. Different from previous works25,26, our expressions count the effects of doping of the semiconductor. Equation (3) shows both the resonant (for band states satisfying \(2{{\hslash }}{{\rm{\omega }}}={{\hslash }}{{{\rm{\omega }}}}_{{nmk}}\) or \({{\hslash }}{{\rm{\omega }}}={{\hslash }}{{{\rm{\omega }}}}_{{nmk}}\)) or non-resonant (for other band states) optical transitions contribute to the second harmonic generation. In this expression, both the interband and intraband transitions are counted. For a nonlinear optical process, there exist many mixture terms, among which the full interband contributions (neglecting all covariant derivatives) can be easily identified. For a two-band system, the expression is shown in the Eq. (2).
Furthermore, \({S}_{{{\bf{k}}}}^{{xxx}}\) gives the contribution to the SHG at the k-point. Considering the symmetry operations in Te crystal, for a given k-point, we can identify the total contribution from the k-point and all of its symmetrized k-points by \({S}_{{{\bf{k}}}}^{{xxx}}-{S}_{{{\bf{k}}}}^{{xyy}}-{S}_{{{\bf{k}}}}^{{yxy}}-{S}_{{{\bf{k}}}}^{{yyx}}\), which are the quantities we plotted in Fig. 4c–e.
In our calculation, the electronic quantities \({\varepsilon }_{n{{\bf{k}}}}\), \({r}_{{nm}{{\bf{k}}}}\) and \({v}_{{nm}{{\bf{k}}}}\) are obtained from a model based on Maximally localized Wannier functions, extracted from Wannier90 package48 combined with first principle calculation from VASP, which is the same as ref. 33.
Data availability
All the data supporting the findings of this study are available within this article and its Supplementary Information. Source Data file has been deposited in Figshare under accession code https://doi.org/10.6084/m9.figshare.30227206.v249.
References
Boyd R. W. Nonlinear optics 3rd e (Academic, 2008).
Willner, A. E., Khaleghi, S., Chitgarha, M. R. & Yilmaz, O. F. All-optical signal processing. J. Lightwave Technol. 32, 2287219 (2014).
Manaka, T., Lim, E., Tamura, R. & Iwamoto, M. Direct imaging of carrier motion in organic transistors by optical second-harmonic generation. Nat. Photonics 1, 581–584 (2007).
Sun, Z. et al. Giant nonreciprocal second-harmonic generation from antiferromagnetic bilayer CrI3. Nature 572, 497 (2019).
Jiang, T. et al. Gate-tunable third-order nonlinear optical response of massless Dirac fermions in graphene. Nat. Photonics 12, 430–436 (2018).
Seyler, K. L. et al. Electrical control of second-harmonic generation in a WSe2 monolayer transistor. Nat. Nanotechnol. 10, 407–411 (2015).
Wang, Y. et al. Direct electrical modulation of second-order optical susceptibility via phase transitions. Nat. Electron. 4, 725–730 (2021).
Sun, Z., Martinez, A. & Wang, F. Optical modulators with 2D layered materials. Nat. Photonics 10, 227–238 (2016).
Clark, D. J. et al. Near bandgap second-order nonlinear optical characteristics of MoS2 monolayer transferred on transparent substrates. Appl. Phys. Lett. 107, 131113 (2015).
Shree, S. et al. Interlayer exciton mediated second harmonic generation in bilayer MoS2. Nat. Commun. 12, 6894 (2021).
Wang, G. et al. Giant enhancement of the optical second-harmonic emission of WSe2 monolayers by laser excitation at exciton resonances. Phys. Rev. Lett. 114, 097403 (2015).
Yu, J. et al. Giant nonlinear optical activity in two-dimensional palladium diselenide. Nat. Commun. 12, 1083 (2021).
Abdelwahab, I. et al. Giant second-harmonic generation in ferroelectric NbIO2. Nat. Photonics 16, 644–650 (2022).
Liang, G. Z. et al. Mid-infrared photonics and optoelectronics in 2D materials. Mater. Today 51, 294–316 (2021).
Soref, R. Mid-infrared photonics in silicon and germanium. Nat. Photonics 4, 495–497 (2010).
Huang, K., Fang, J., Yan, M., Wu, E. & Zeng, H. Wide-field mid-infrared single-photon upconversion imaging. Nat. Commun. 13, 1077 (2022).
Jiang, S. H. et al. High-resolution mid-infrared single-photon upconversion ranging. Photonics Res 12, 1294–1302 (2024).
Zou, K. H. et al. High-capacity free-space optical communications using wavelength- and mode-division-multiplexing in the mid-infrared region. Nat. Commun. 13, 7662 (2022).
Xiong, H. et al. Proposal of on-chip ultrabroad supercontinuum generation ranging from visible to mid-infrared spectrum. J. Lightwave Technol. 42, 4892–4898 (2024).
Morimoto, T. & Nagaosa, N. Topological nature of nonlinear optical effects in solids. Sci. Adv. 2, e1501524 (2016).
Osterhoudt, G. B. et al. Colossal mid-infrared bulk photovoltaic effect in a type-I Weyl semimetal. Nat. Mater. 18, 471–475 (2019).
Ma, J. C. et al. Nonlinear photoresponse of type-II Weyl semimetals. Nat. Mater. 18, 476–481 (2019).
Wu, L. et al. Giant anisotropic nonlinear optical response in transition metal monopnictide Weyl semimetals. Nat. Phys. 13, 350–355 (2016).
Patankar, S. et al. Resonance-enhanced optical nonlinearity in the Weyl semimetal TaAs. Phys. Rev. B. 98, 165113 (2018).
Fu, Q. D. et al. Berry curvature dipole induced giant mid-infrared second-harmonic generation in 2D Weyl semiconductor. Adv. Mater. 35, 2306330 (2023).
Cheng, M. J., Wu, S. Q., Zhu, Z. Z. & Gao, G. Y. Large second-harmonic generation and linear electro-optic effect in trigonal selenium and tellurium. Phys. Rev. B. 100, 035202 (2019).
Sodemann, I. & Fu, L. Quantum nonlinear Hall effect induced by Berry curvature dipole in time-reversal invariant materials. Phys. Rev. Lett. 115, 216806 (2015).
Tong, L. et al. Stable mid-infrared polarization imaging based on quasi-2D tellurium at room temperature. Nat. Commun. 11, 2308 (2020).
Yin, C. H. et al. Evolution of magnetotransport properties of Weyl semiconductor Te crystals with different Fermi energy. Phys. Rev. B. 108, 195121 (2023).
Hirayama, M., Okugawa, R., Ishibashi, S., Murakami, S. & Miyake, T. Weyl node and spin texture in trigonal tellurium and selenium. Phys. Rev. Lett. 114, 206401 (2015).
Nakayama, K. et al. Band splitting and Weyl nodes in trigonal tellurium studied by angle-resolved photoemission spectroscopy and density functional theory. Phys. Rev. B. 95, 125204 (2017).
Gatti, G. et al. Radial spin texture of the Weyl fermions in chiral tellurium. Phys. Rev. Lett. 125, 216402 (2020).
Zhang, N. et al. Magnetotransport signatures of Weyl physics and discrete scale invariance in the elemental semiconductor tellurium. Proc. Natl Acad. Sci. Usa. 117, 11337–11343 (2020).
Qiu, G. et al. Quantum Hall effect of Weyl fermions in n-type semiconducting tellurene. Nat. Nanotechnol. 15, 585–591 (2020).
Ma, J. C. et al. Unveiling Weyl-related optical responses in semiconducting tellurium by mid-infrared circular photogalvanic effect. Nat. Commun. 13, 5425 (2022).
Zhuo, X. et al. Ultrafast dynamics of photoexcited carriers in tellurium in the vicinity of Weyl nodes. Phys. Rev. B. 110, 014311 (2024).
McFee, J. H., Boyd, G. D. & Schmidt, P. H. Redetermination of the nonlinear optical coefficients of Te and GaAs by comparison with Ag3SbS3. Appl. Phys. Lett. 17, 57–59 (1970).
Gan, X. T. et al. Giant and anisotropic nonlinear optical responses of 1D van der Waals material tellurium. Adv. Opt. Mater. 8, 2001273 (2020).
Wang, H. Q. et al. Anisotropic Raman scattering and intense broadband second-harmonic generation in tellurium nanosheets. Opt. Lett. 46, 1812–1815 (2021).
Zhou, X. et al. Strong second-harmonic generation in atomic layered GaSe. J. Am. Chem. Soc. 137, 7994–7997 (2015).
Tang, Y. H., Mandal, K. C., McGuire, J. A. & Lai, C. W. Layer- and frequency-dependent second harmonic generation in reflection from GaSe atomic crystals. Phys. Rev. B. 94, 125302 (2016).
Allakhverdiev, K. R., Yetis, M. Ö, Özbek, S., Baykara, T. K. & Salaev, E. Y. Effective nonlinear GaSe crystal: optical properties and applications. Laser Phys. 19, 1092–1104 (2009).
Song, Y. et al. Interference tunable second harmonic generation for two-dimensional materials in layered structures. Opt. Express 31, 19746–19753 (2023).
Cheng, B. et al. Topological field-effect transistor based on quasi-two-dimensional tellurium flakes. Phys. Rev. Appl. 17, 054044 (2022).
Wang, Y. X. et al. Field-effect transistors made from solution-grown two-dimensional tellurene. Nat. Electron. 1, 228–236 (2018).
Amani, M. et al. Solution-synthesized high-mobility tellurium nanoflakes for short-wave infrared photodetectors. ACS Nano 12, 7253–7263 (2018).
Aversa, C. & Sipe, J. E. Nonlinear-optical susceptibilities of semiconductors-results with a length-gauge analysis. Phys. Rev. B. 52, 14636–14645 (1995).
Pizzi, G. et al. Wannier90 as a community code: new features and applications. J. Phys. Condens. Matter 32, 165902 (2020).
Liang, D. et al. Topologically enhanced giant broadband second-harmonic generation in Weyl semiconductor tellurium. Figshare. https://doi.org/10.6084/m9.figshare.30227206.v2. (2025).
Acknowledgments
This project was supported by the National Key Research and Development Program of China (Grant Nos. 2021YFA1400100 [D.S.]) and the National Natural Science Foundation of China (Grant Nos. 62325401 [D.S.] and 12034001 [D.S.]). The authors would also like to acknowledge the National Key Research and Development Program of China (Grant Nos. 2020YFA0308800 [D.S.] and 2022YFA1204300 [A.L.P.]), the National Natural Science Foundation of China (Grant Nos. 12034003 [J.L.C.], 52221001 [A.L.P.], 62090035 [A.L.P.], 62250065 [D.S.], and 62227822 [D.S.]), the Open Fund of State Key Laboratory of Infrared Physics (Grant No. SITP-NLIST-ZD-2023-02 [D.S.]).
Author information
Authors and Affiliations
Contributions
D.S. conceived the idea and supervise the project. B.C. synthesized the Te nanoflakes under the supervision of C.G.Z.; D.L.L. performed the optical measurements and basic characterizations with the help from Y.L., X.Z., M.Y.Q., Z.P.F., S.Y.W., H.W.L., G.S.C. and Q.S.W under the supervision of A.L.P. and D.S.; W.M.W. performed the thickness simulation under the supervision of J.L.C.; J.L.C. performed the numerical calculation of Berry connection and SHG susceptibility; D.L.L., J.L.C. and D.S. wrote the manuscript with input and feedback from all of the authors.
Corresponding authors
Ethics declarations
Competing interests
The authors declare no competing interests.
Peer review
Peer review information
Nature Communications thanks Christiano de Matos and the other, anonymous, reviewer(s) for their contribution to the peer review of this work. A peer review file is available.
Additional information
Publisher’s note Springer Nature remains neutral with regard to jurisdictional claims in published maps and institutional affiliations.
Supplementary information
Rights and permissions
Open Access This article is licensed under a Creative Commons Attribution-NonCommercial-NoDerivatives 4.0 International License, which permits any non-commercial use, sharing, distribution and reproduction in any medium or format, as long as you give appropriate credit to the original author(s) and the source, provide a link to the Creative Commons licence, and indicate if you modified the licensed material. You do not have permission under this licence to share adapted material derived from this article or parts of it. The images or other third party material in this article are included in the article’s Creative Commons licence, unless indicated otherwise in a credit line to the material. If material is not included in the article’s Creative Commons licence and your intended use is not permitted by statutory regulation or exceeds the permitted use, you will need to obtain permission directly from the copyright holder. To view a copy of this licence, visit http://creativecommons.org/licenses/by-nc-nd/4.0/.
About this article
Cite this article
Liang, D., Qin, M., Liu, Y. et al. Topologically enhanced giant broadband second-harmonic generation in Weyl semiconductor tellurium. Nat Commun 16, 10393 (2025). https://doi.org/10.1038/s41467-025-65353-3
Received:
Accepted:
Published:
Version of record:
DOI: https://doi.org/10.1038/s41467-025-65353-3






