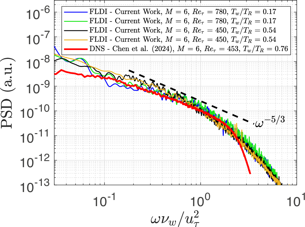
Fig. 7: FLDI measurement.
From: Hypersonic turbulent quantities in support of Morkovin’s hypothesis

Density-fluctuation spectra comparison between representative FLDI experiments and DNS results of similar conditions from Chen et al.76. Spectra are presented in inner-scaling normalization of the angular frequency. FLDI spectra, recorded upstream of KTV, indicate an equilibrium turbulent boundary layer.