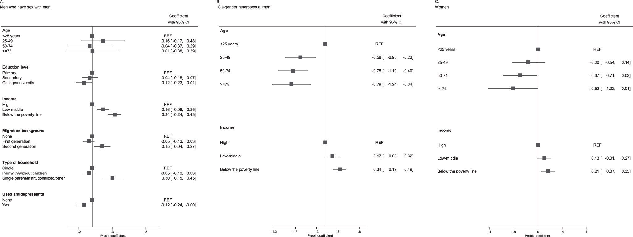
Fig. 1: Socio-demographic,-economic, and health related determinants of having a detectable viral load.

For MSM, age, education level, migration background, type of household, income, receival of social welfare, year of HIV diagnosis, stage at HIV diagnosis, use of antidepressants, and use of anti-psychotic medication were included in the initial multivariable model. For cisgender heterosexual men, age, education level, migration background, type of household, income, year of HIV diagnosis, and use of antidepressants were included in the initial multivariable model. For women, age, migration background, type of household, and income were included in the initial multivariable model. The grey square indicated the probit coefficient; the lines indicate the corresponding 95% confidence interval. Numbers in each category with the outcome can be found in Supplementary Table 2. All coefficients from the univariable and multivariable Heckman probit regression models can also be found in Supplementary Table 3. CI confidence interval, REF reference category. A Men who have sex with men. B Cis-gender heterosexual men. C Women.