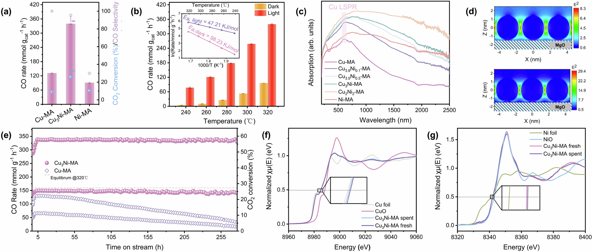
Fig. 3: Photothermal CO2 hydrogenation performance of the Cu3Ni-MA nanocatalyst.

a CO evolution rate over Cu3Ni-MA, Cu-MA, and Ni-MA. Reaction conditions: H2/CO2 ratio = 1:1, 50 sccm, 50 mg catalyst,t and full-spectrum with 1.4 W cm-2 light intensity without external heat. b Comparison of the CO evolution rates at different temperatures under light and dark conditions, and the corresponding Arrhenius plots with apparent activation energy (Ea) (inset). The error bars represent the s.d. of three independent measurements of the same catalyst. c UV-vis-NIR absorption spectra of Cu-MA, Cu3.9Ni0.1-MA, Cu3.5Ni0.5-MA, Cu3Ni-MA, Cu2Ni2-MA, and Ni-MA. d Simulated electric fields according to the actual distribution of Cu and Cu3Ni NPs supported on MgO. e Long-term stability test of Cu3Ni-MA and Cu-MA nanocatalysts under the same reaction conditions for catalytic performance tests. f Cu and g Ni K-edge XANES spectra of fresh and spent Cu3Ni-MA.