Fig. 3: Nanomechanical response to a drive modulated with a video signal at a symbol rate Rsym = 106 Hz.
From: A few-layer graphene nanomechanical resonator driven by multifrequency digital signals

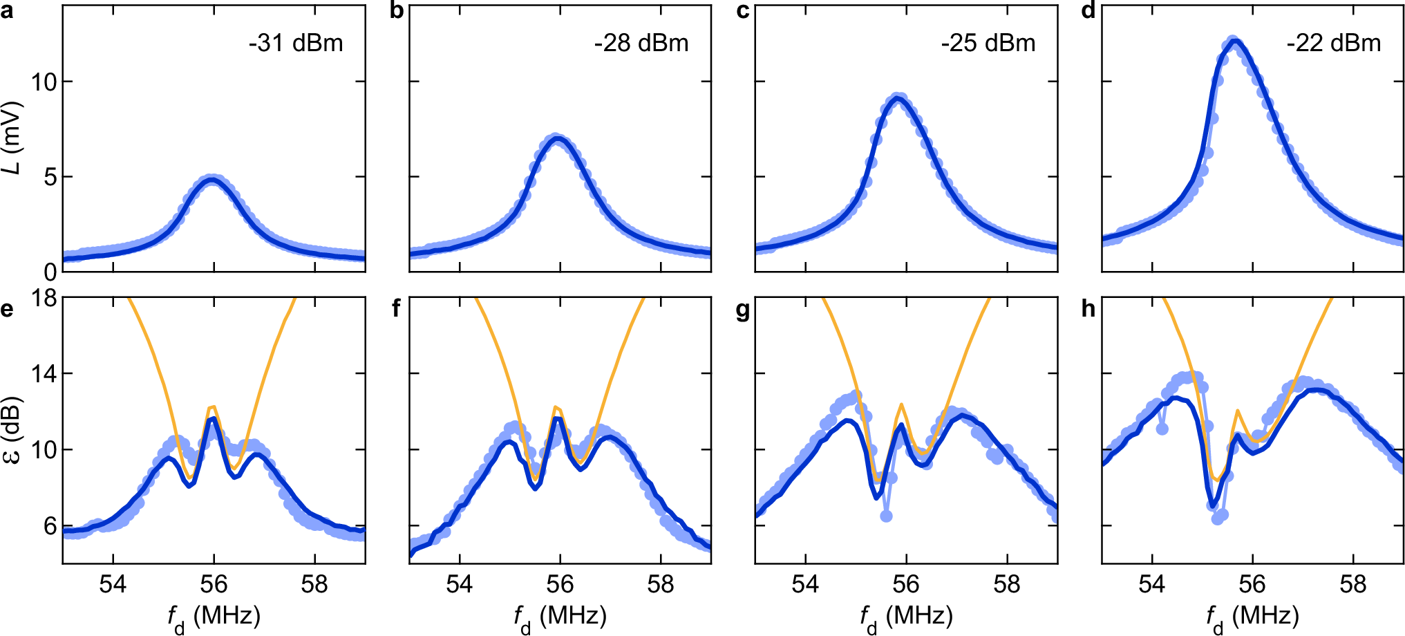
a–d Time-averaged vector length L of the discrete symbol components Iout and Qout as a function of drive frequency fd. The standard deviation of the measurements is ≃ 0.4 mV, which is comparable to the size of the dots. e–h Reciprocal of the error vector magnitude, ε(fd). Drive power at the gate is Pd = − 31 dBm (a, e), − 28 dBm (b, f), − 25 dBm (c, g), and − 22 dBm (d, h). Dots represent measured data [note: measurement noise in (f) is slightly higher than in (e), (g), and (h)]. Blue (orange) solid lines represent calculated traces with noise on (off). The gate voltage is \({V}_{{{{\rm{g}}}}}^{{{{\rm{dc}}}}}=13\) V in all panels. Source data are provided as a Source Data file.