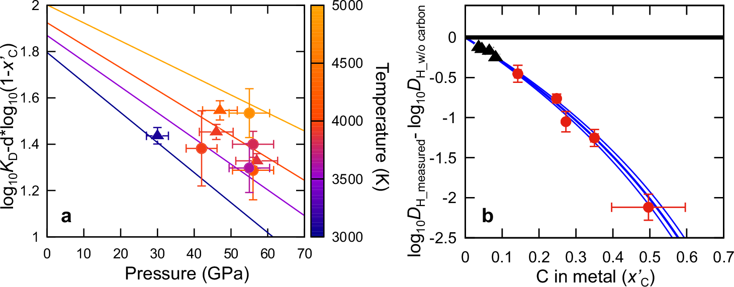
Fig. 3: Partitioning of hydrogen.

a Pressure and temperature dependence of the exchange coefficient KD for metal-silicate partitioning of hydrogen after correcting for the effect of carbon (Eq. 3). Blue (3000 K), purple (3500 K), orange (4000 K), and yellow lines (5000 K) show isotherms. b Reduction in metal/silicate partition coefficient D of hydrogen (molar basis) as a function of carbon concentration in liquid metal. Circles, this study; triangles, Tagawa et al4. Error bars represent one standard deviation.