Abstract
The spin-1/2 Heisenberg antiferromagnet on an anisotropic triangular lattice (ATL) is an archetypal spin system hosting exotic quantum magnetism and dimensional crossover. However, the progress in experimental research on this field has been limited due to the scarcity of ideal model materials. Here, we show that rhenium oxyhalides A3ReO5X2, where spin-1/2 Re6+ ions form a layered structure of ATLs, allow for flexible chemical substitution in both cation A2+ (A = Ca, Sr, Ba, Pb) and anion X− (X = Cl, Br) sites, leading to seven synthesizable compounds. By combining magnetic susceptibility and high-field magnetization measurements with theoretical calculations using the orthogonalized finite-temperature Lanczos method, we find that the anisotropy \({J}^{{\prime} }/J\) ranges from 0.25 to 0.45 depending on the chemical composition. Our findings demonstrate that A3ReO5X2 is an excellent platform for realizing diverse effective spin Hamiltonians that differ in the strength of the anisotropy \({J}^{{\prime} }/J\) as well as the relevance of perturbation terms such as the Dzyaloshinskii-Moriya interaction and interlayer exchange coupling.
Similar content being viewed by others
Introduction
Frustrated quantum magnets have long drawn considerable attention due to the possibility of realizing quantum spin-liquid (QSL)1 and fractional quasi-particle excitations2. Although recent advances in analytical and numerical approaches to describe many-body quantum physics have promoted our understanding of various magnetic phenomena, many issues remain unresolved3, highlighting the need for further experimental insights. To this end, it is desirable to develop model compounds with a simple effective spin Hamiltonian, an accessible energy scale (i.e., temperature and magnetic field), and a broad tunability of perturbative terms as well as exchange couplings through chemical substitution.
The spin-1/2 Heisenberg antiferromagnet on a triangular lattice is a prototypical frustrated spin system to explore exotic ground states4,5,6. A related derivative is the anisotropic triangular lattice (ATL) magnet, where two distinct nearest-neighbor antiferromagnetic (AFM) exchange couplings, \({J}^{{\prime} {\prime}}\) and \({J}^{{\prime} }\), act along the intrachain and interchain directions, respectively7,8,9,10,11,12,13,14,15,16,17,18,19,20,21,22,23. By varying the ratio \({J}^{{\prime} }/J\), this model provides an interpolation between a regular triangular lattice (\({J}^{{\prime} }/J=1\)) and a set of decoupled one-dimensional (1D) chains (\({J}^{{\prime} }/J=0\)), with known ground states of the 120∘ long-range order (LRO)24,25 and the Tomonaga–Luttinger liquid (TLL)26,27, respectively. Theoretically, the TLL–like gapless QSL phase is predicted to be stable over a wide parameter range of \(0 < {J}^{{\prime} }/J\lesssim 0.6\)12,16,21, as a manifestation of dimensional reduction driven by geometrical frustration15. On the other hand, an alternative scenario based on an analytical renormalization group study proposes a collinear AFM ground state in this \({J}^{{\prime} }/J\) regime14. The nature of the ground state in the intermediate region \(0.6\lesssim {J}^{{\prime} }/J\lesssim 0.8\) also remains controversial. Some theoretical studies suggest a direct transition from the TLL-like QSL to a spiral LRO7,13,18,19,21, while others propose the emergence of an intermediate phase such as a gapped QSL12,16.
Experimentally, two types of compounds have been intensively studied as candidates for the ATL quantum antiferromagnet: Cs2CuX4 (X = Cl, Br)28,29,30,31,32,33,34,35,36,37,38,39,40,41,42 and organic Mott insulators represented by κ-(BEDT-TTF)2Cu2(CN)343,44,45,46,47,48,49,50. The magnetic properties of Cs2CuX4 have been unveiled in detail thanks to relatively weak AFM exchange couplings: J/kB = 4.3 K and \({J}^{{\prime} }/J=0.30\) (J/kB = 14.9 K and \({J}^{{\prime} }/J=0.41\)) for X = Cl (Br)36, where kB is the Boltzmann constant. However, Cs2CuX4 undergoes a magnetic transition into an incommensurate spiral LRO at low temperatures28,39 due to the presence of the Dzyaloshinskii-Moriya (DM) interaction17, which interfere with the observation of essential properties expected for the ideal ATL quantum antiferromagnet. For the organic Mott insulators, the exchange couplings are much stronger, on the order of several hundred kelvin10,43,44,45,46, making the accurate estimation of \({J}^{{\prime} }/J\) elusive. The contribution of multi-spin exchange and spin-lattice coupling can be important in the organic salts10, as suggested from a pressure-induced insulator-metal transition47,48 and a magnetic-field-induced AFM transition reminiscent of a spin-Peierls phase49, respectively.
Compared to the aforementioned compounds, recently-discovered rhenium oxychlorides A3ReO5Cl2 (A = Ca, Sr, Ba)51,52,53,54,55,56 potentially hold an advantage in the search for low-temperature magnetism of the ATL quantum antiferromagnet. The Re6+ ion has a 5d1 electronic configuration, and the unique crystal field resulting from the surrounding mixed anions causes the dxy orbital to become the lowest-energy level without degeneracy. As a consequence, A3ReO5Cl2 can be regarded as a spin-1/2 Heisenberg system with quenched orbital angular momentum. \({J}^{{\prime} }/J\) is estimated to be 0.32, 0.43, and 0.47 for A = Ca, Sr, and Ba, respectively, based on theoretical fits to the temperature dependence of magnetic susceptibility using high-temperature series expansion52,53. A3ReO5Cl2 exhibits TLL-like characteristics indicative of one-dimensionality at low temperatures, as evidenced by several experimental observations such as the Bonner–Fisher-like magnetic susceptibility57, large T-linear magnetic heat capacity52,53, and spinon and triplon excitations in inelastic neutron scattering (INS)54 and Raman spectra56. The frustration factor, defined as f ≡ ∣ΘW∣/TN, where ΘW and TN represent a Weiss temperature and an ordering temperature, respectively, is larger in A3ReO5Cl2 than in Cs2CuX452,53. This suggests that additional interactions, aside from J and \({J}^{{\prime} }\), play a less significant role in A3ReO5Cl2 than in Cs2CuX4. Further development of chemical substitutes for A3ReO5Cl2, along with the evaluation of their effective spin models, should open up the route for a systematic understanding of the fundamental properties of the ATL quantum antiferromagnet.
Here, we report physical properties of four novel Re-based quantum ATL antiferromagnets, A3ReO5Br2 (A = Ca, Sr, Ba) and Pb3ReO5Cl2. These compounds are (nearly) isostructural with A3ReO5Cl2 (Fig. 1a–c) and exhibit one-dimensional character at low temperatures as well51,52,53. We also investigate magnetization processes of all the seven A3ReO5X2 families in pulsed high magnetic fields of up to 130 T58. On the basis of theoretical calculations using the orthogonalized finite-temperature Lanczos method (OFTLM)22,59, \({J}^{{\prime} }/J\) is found to vary between 0.25 and 0.45 from compound to compound. We propose that, considering the difference in their crystal structures and spatial distributions of electronic density, A3ReO5X2 can be categorized into three groups in terms of an effective spin Hamiltonian (Fig. 1d): (1) A = Ca with the DM interaction, (2) A = Pb with the relatively strong interlayer exchange coupling, and (3) A = Sr and Ba with no dominant perturbations.
a Two kinds of crystal structures. Ca3ReO5X2 crystallizes in Type I with the space group Pnma (left), whereas the system with A = Sr, Ba, and Pb crystallizes in Type II with the space group Cmcm (right). b Schematic of an anisotropic triangular lattice (ATL), where upward and downward ReO5 square pyramids running along the b (a) direction are alternately arranged along the c direction in the Type I (II) structure. Exchange couplings between nearest-neighbor and next-nearest-neighbor Re ions with the bond length d and \({d}^{{\prime} }\) are defined as J and \({J}^{{\prime} }\), respectively. The illustrations in panels (a) and (b) are drawn with VESTA software80. c Plots of d and \({d}^{{\prime} }\) for the seven compounds. Elements of A and X are written next to each marker. The data of A3ReO5Cl2 (A = Ca, Sr, Ba) are taken from refs. 51,53. d Summary of effective spin Hamiltonians with the ATL quantum Heisenberg model. The anisotropy \({J}^{{\prime} }/J\) for each compound is revealed in the present work and displayed in the left axis. The DM interaction and interlayer exchange coupling dominate the low-temperature magnetism for A = Ca and Pb, respectively, whereas there are no significant effects of such perturbations for A = Sr and Ba.
Results
Crystal structures
We first present the crystal structures of newly synthesized compounds: Ca3ReO5Br2 (CROB), Sr3ReO5Br2 (SROB), Ba3ReO5Br2 (BROB), and Pb3ReO5Cl2 (PROC). Regarding the previously reported oxychlorides, Ca3ReO5Cl2 (CROC) crystallizes in an orthorhombic structure with the space group Pnma (No. 62)51, whereas Sr3ReO5Cl2 (SROC) and Ba3ReO5Cl2 (BROC) with the space group Cmcm (No. 63)53, as depicted in Fig. 1a. Hereafter, we refer to these two structures as Type I and Type II, respectively. Both structures consist of alternating layers of A3ReO5 and Cl slabs. The coordination numbers of the A2+ ions are 5 or 6 in the Type I structure, whereas they are 8 or 9 in the Type II structure. This difference arises due to the smaller ionic radius of Ca2+ (1.00 Å in the 6-fold coordination) compared to Sr2+ and Ba2+ (1.26 and 1.42 Å, respectively, in the 8-fold coordination). We find that the substitution of Cl− (ionic radius 1.81 Å) with Br− (ionic radius 1.96 Å) does not impact the original crystal structure; CROB crystallizes in Type I, while SROB and BROB crystallize in Type II. PROC also crystallizes in Type II (the ionic radius of Pb2+ is 1.29 Å in the 8-fold coordination). Further details on the crystal structures are provided in Supplementary Note 2.
An ATL composed of magnetic Re6+ ions is depicted in Fig. 1b. The ReO5 square pyramids, which point upward and downward alternately along the interchain direction, do not share any oxygen ions. Consequently, each Re6+ ion is well separated from one another by more than 5 Å. Figure 1c compares the lengths of the nearest-neighbor and next-nearest-neighbor Re–Re bonds, d and \({d}^{{\prime} }\), respectively, among all the seven A3ReO5X2 compounds. In common with A = Ca, Sr, and Ba, the substitution of Cl with Br leads to the elongation of both d and \({d}^{{\prime} }\); the increase rates are 1.4% and 0.7% for A = Ca, 1.2% and 1.7% for A = Sr, and 1.4% and 1.5% for A = Ba, respectively.
One dimensionality of the low-temperature magnetism
Next, we show the basic physical properties of A3ReO5Br2 (A = Ca, Sr, Ba) and PROC. Figure 2a–d shows the temperature dependence of magnetization divided by a magnetic field M/H measured at 7 T. All the M/H data above 150 K are well fitted by the Curie–Weiss law M/H = C0/(T − ΘW) + χ0, where C0 is the Curie constant, and χ0 is the temperature-independent term, as shown by black lines in Fig. 2a–d. The fitting parameters and the effective magnetic moment μeff calculated from C0 are listed in Table 1. The obtained χ0 is comparable to the diamagnetic contribution of core electrons χdia for each compound: χdia = −1.76 × 10−4, −2.02 × 10−4, −2.24 × 10−4 and −2.18 × 10−4 cm3 mol−1 for CROB, SROB, BROB, and PROC, respectively. The reduction of μeff from 1.73 μB expected for the pure S = 1/2 case would be attributed to the effect of the spin-orbit interaction, which cancels the spin and orbital angular momentum with each other in the 5d1 electronic configuration.
Temperature dependence of the magnetic susceptibility M/H measured at 7 T (left axis) and the inverse susceptibility \({(M/H-{\chi }_{0})}^{-1}\) (right axis), where a T-independent component χ0 is subtracted, for CROB (a), SROB (b), BROB (c), and PROC (d). The black lines represent the Curie–Weiss law, i.e., M/H = C/(T − ΘW) + χ0, fitted to the experimental data between 150 and 400 K. Heat capacity divided by temperature C/T as a function of T below 100 K for CROB (e), SROB (f), BROB (g), and PROC (h). The inset of each panel displays a C/T versus T2 plot, where the black line represents a fitting C/T = α + βT2 to the experimental data between 2 and 10 K for CROB and SROB, between 2 and 4 K for BROB, and between 7 and 10 K for PROC.
The large negative Weiss temperatures indicate the dominance of AFM exchange interactions in these compounds. The smaller value of ∣ΘW∣ for BROB (ΘW = − 17.2(2) K) compared to CROB (−36.5(2) K) and SROB (−37.4(4) K) can be attributed to the relatively long Re–Re bond lengths, d and \({d}^{{\prime} }\), in BROB (Fig. 1c). This trend is common with the A3ReO5Cl2 case: ΘW = −37.8(1), −49.5(1) and −21.6(1) K for CROC, SROC, and BROC, respectively52,53. Furthermore, the substitution of Cl with Br leads to a decrease in ∣ΘW∣; the decrease rates are 3.4%, 24.4%, and 20.4% for A = Ca, Sr, and Ba, respectively. The much smaller decrease rate for A = Ca compared to A = Sr and Ba would be due to the difference in their crystal structures, as mentioned above (Fig. 1a).
On further cooling below 100 K, all the M/H–T curves gradually deviate from the Curie–Weiss behavior and exhibit a broad peak around 10–20 K (Fig. 2a–d), signaling the development of AFM short-range correlations. In the ATL Heisenberg antiferromagnet with moderate anisotropy \({J}^{{\prime} }/J\), a dimensional crossover from 2D to 1D, i.e., the so-called one-dimensionalization, is expected at low temperatures, where the interchain zigzag couplings \({J}^{{\prime} }\) are effectively canceled out due to geometrical frustration, and consequently a TLL-like disordered state would be realized52,53,54,55,56.
Figure 2e–h shows the temperature dependence of heat capacity divided by temperature C/T for each compound. We also display C/T versus T2 plots in each inset. For A3ReO5Br2, C/T exhibits a linear T2 dependence at low temperatures with a finite intercept, consistent with gapless spin excitations expected in a TLL-like disordered state. In addition, a hump structure appears around 5 K in the C/T–T curve of BROB (Fig. 2g). This anomaly is more likely to reflect the entropy release associated with the development of magnetic short-range correlations rather than a transition into magnetic LRO, since the magnetic susceptibility exhibits a peak at a distinct temperature of Tp ≈ 8 K (Fig. 2c). By fitting the C/T–T2 curve to the equation C/T = α + βT2, where the first and second terms originate from magnetic and phonon contributions, respectively, in a temperature range between 2 and 10 K for CROB and SROB and between 2 and 4 K for BROB, we obtain the values α and β for each compound as summarized in Table 1 (Note that the estimation of β for BROB has an uncertainty of ~±30% depending on the fitting range). In the 1D chain limit (\({J}^{{\prime} }=0\)), the T-linear contribution to the heat capacity is given by 2RT/3J57, where R is the gas constant, so that α is inversely related to J. Indeed, α in BROB is much larger than those in CROB and SROB. This is compatible with the much weaker exchange couplings J in BROB, as suggested from a smaller value of ∣ΘW∣. Furthermore, we find that α in A3ReO5Br2 is a bit larger than that in the oxychloride counterpart A3ReO5Cl252,53 (Table 1). This tendency also agrees with the decrease of ∣ΘW∣ by the substitution of Cl with Br. In contrast, C/T approaches zero toward the low-temperature limit for PROC. This is owing to the occurrence of a magnetic LRO at TN = 6.6 K, as discussed below. Accordingly, we perform a linear fit to the C/T–T2 curve of PROC between 7 and 10 K (Table 1). The magnitudes of α and ∣ΘW∣ in PROC are both intermediate between those in CROC and SROC.
High-field magnetization processes
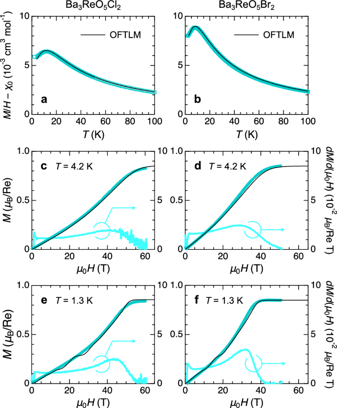
Here, we move on to the in-field properties of all the seven A3ReO5X2 families, which are useful for estimating the strengths of J and \({J}^{{\prime} }\). Figure 3 summarizes the magnetization data of BROC and BROB. The magnetic susceptibility data for BROC (Fig. 3a) are taken from ref. 53, and those for BROB (Fig. 3b) are identical to Fig. 2c. The M–H curves in Fig. 3c–f represent quasi-isothermal processes obtained using a non-destructive pulsed magnet (for additional data, see Supplementary Note 3). The saturation field at 1.3 K is μ0Hsat = 55(1) T for BROC and 42(1) T for BROB. The M–H curves exhibit a concave shape followed by an inflection point immediately below Hsat, which is a typical behavior of low-dimensional quantum magnets. The experimental saturation moment is approximately 0.84 and 0.85 μB/Re for BROC and BROB, respectively. These values are in good agreement with the effective magnetic moments μeff estimated from the Curie–Weiss fits (Table 1).
Panels (a) and (b) show the temperature dependence of the magnetic susceptibility measured at 7 T53, where a T-independent component χ0 is subtracted. Panels c–f show quasi-isothermal magnetization curves in the field-increasing process measured at 4.2 K (c, d) and 1.3 K (e, f) using a non-destructive pulsed magnet. Here, the field derivative of the magnetization dM/d(μ0H) is displayed in the right axis. Experimental curves are shown by cyan lines, and theoretical curves fitted to each experimental data are shown by black lines. Theoretical M–H curves represent isothermal curves at temperatures corresponding to the experimental ones. The fitting parameters for each compound are summarized in Table 2.
Figure 4 summarizes the magnetization data of CROC, CROB, SROC, SROB, and PROC. The magnetic susceptibility data for CROC (Fig. 4a) and SROC (Fig. 4c) are taken from refs. 52 and 53, respectively. Those for CROB (Fig. 4b), SROB (Fig. 4d), and PROC (Fig. 4e) are identical to Fig. 2a, b, and d, respectively. The M–H curves in Fig. 4f–j represent quasi-adiabatic processes with the initial temperature of Tini = 5 K obtained using a single-turn coil system. The absolute values of M are calibrated using the M–H curves at 4.2 K obtained in a non-destructive pulsed magnet (Supplementary Note 3). For all the M–H curves, an inflection point indicative of the saturation is observed at μ0Hsat = 83(3) T for CROC, 78(3) T for CROB, 95(5) T for SROC, 80(5) T for SROB, and 115(5) T for PROC.
Panels a–e show the temperature dependence of the magnetic susceptibility measured at 7 T52,53, where a T-independent component χ0 is subtracted. Panels f–j show quasi-isentropic magnetization curves in the field-increasing (solid lines) and field-decreasing (dashed lines) processes measured at the initial temperature of Tini = 5 K using a single-turn coil megagauss generator. The field derivative of the magnetization dM/d(μ0H) in the field-decreasing process is displayed in the right axis. Experimental curves are shown by colored lines, and theoretical curves fitted to each experimental data are shown by black lines. Theoretical M–H curves represent isentropic curves for Tini = 5 K. The fitting parameters for each compound are summarized in Table 2.
Comparison with theoretical calculations based on the OFTLM
The accurate estimation of J and \({J}^{{\prime} }\) in the quantum ATL antiferromagnet is generally challenging. One might consider achieving this by relating the Weiss temperature and the saturation field to the exchange interactions using the equations \({\Theta }_{{{{\rm{W}}}}}=-(J/2+{J}^{{\prime} })\) and \(g{\mu }_{{{{\rm{B}}}}}{H}_{{{{\rm{sat}}}}}=2J{(1+{J}^{{\prime} }/2J)}^{2}\), respectively10,36. However, the experimentally-determined ΘW tends to underestimate the actual value, especially for small \({J}^{{\prime} }/J\), even when performing the Curie–Weiss fit to the magnetic susceptibility data in a high-temperature range10. Besides, Hsat is also highly temperature-dependent.
Recently, the OFTLM was developed59 and applied to the calculation of the magnetic susceptibility and magnetization process in the quantum ATL antiferromagnet22. This technique has an advantage over the standard FTLM60 in accurately evaluating the magnetic entropy at low temperatures, which is crucial for the calculation of the adiabatic magnetization process22. Here, we adopt the OFTLM to the Hamiltonian of the quantum ATL antiferromagnet in a magnetic field,
where Si denotes a spin-1/2 operator localized on the ATL, 〈i, j〉 and 〈i, k〉 indicate pairs of neighboring sites along the intrachain and interchain directions, respectively, and h is a magnetic field applied along the z axis. Further details of the calculation are found in the Method section. Importantly, the peak temperature of the magnetic susceptibility Tp normalized to J shifts to a higher temperature side as \({J}^{{\prime} }/J\) decreases10,22. Thanks to this feature, the strengths of J and \({J}^{{\prime} }\) can be uniquely determined once we reveal experimental values of the Landé g-factor, Tp, and Hsat, which are listed in Table 2. Here, we set the g-value using a relation \({\mu }_{{{{\rm{eff}}}}}=g\sqrt{S(S+1)}\) with S = 1/2, where μeff is estimated from the Curie–Weiss fit (Table 1).
For BROC and BROB, all the magnetization data can be simultaneously reproduced by theoretical curves with a single parameter set, as shown in Fig. 3: J/kB = 20 K and \({J}^{{\prime} }/J=0.40\) for BROC, and J/kB = 14 K and \({J}^{{\prime} }/J=0.45\) for BROB. \({J}^{{\prime} }/J\) for BROB is almost the same with that for BROC. This is reasonable given that the increase rates of d and \({d}^{{\prime} }\) by the substitution of Cl with Br are almost the same. No signatures of a 1/3-magnetization plateau are observed for both compounds in contrast to the theoretical M–H curves at 1.3 K. Note that in the OFTLM calculations, the finite-size effects are pronounced at low temperatures of kBT/J < 0.222, leading to fluctuations in the theoretical M–H curves for T = 1.3 K on the low-field side below the 1/3-magnetization plateau, as shown in Fig. 4e, f. We infer that the appearance of the 1/3-magnetization plateau is blurred by averaging over the M–H curves on randomly-oriented polycrystals in the present experiments using polycrystalline powder samples. Indeed, a previous ESR experiment on a CROC single crystal revealed a weak anisotropy: g = 1.88, 1.85 and 1.92 for H∥a, b, and c, respectively54.
Similarly, we calculate magnetic susceptibility and adiabatic magnetization curves for the rest five compounds, as shown in Fig. 4. The exchange parameter set which can reproduce the M/H–T curve as well as the saturation field Hsat is obtained for each compound as follows: J/kB = 42 K and \({J}^{{\prime} }/J=0.25\) for CROC, J/kB = 39.5 K and \({J}^{{\prime} }/J=0.25\) for CROB, J/kB = 47 K and \({J}^{{\prime} }/J=0.35\) for SROC, J/kB = 40 K and \({J}^{{\prime} }/J=0.25\) for SROB, and J/kB = 46.5 K and \({J}^{{\prime} }/J=0.35\) for PROC. The deviation between the experimental M–H curves and theoretical ones in the high-field region would be mainly due to the imperfect background subtraction in the experimental data (Note that the detection sensitivity of the magnetization pickup coil is significantly reduced near the maximum field). Given that the error in the experimental Hsat is ~±5 T, the error in the estimated value of \({J}^{{\prime} }/J\) is at most ±0.05.
Magnetic phase transition in Ca3ReO5Br2 and Pb3ReO5Cl2
The ground state of the ATL quantum antiferromagnet is highly sensitive to weak perturbations such as the DM interaction and interlayer exchange couplings17. Cs2CuCl4 undergoes a magnetic transition into a spiral LRO phase with a magnetic propagation vector of q = (0, 0.475, 0)28, which is attributed to a combined effect of magnetic frustration and the DM interaction34. As for A3ReO5X2, the DM interaction is prohibited for A = Sr, Ba, and Pb with the Type II structure (Supplementary Note 4), whereas this is not the case for A = Ca with the Type I structure. Indeed, a neutron scattering experiment on CROC confirmed the appearance of a spiral LRO with q = (0, 0.465, 0) below TN = 1.13 K52,54. Therefore, a similar magnetic transition is expected for CROB, which is isostructural with CROC. Figure 5a shows the temperature dependence of C/T measured down to 0.24 K for CROB. A clear lambda-shaped peak is observed at TN = 1.15 K, indicating a second-order transition. Figure 5b illustrates the DM vectors in one ATL layer allowed for the Type I structure (space group Pnma)17. As discussed in ref. 17, the c component of the DM vector on the intrachain bond Dc and the a component on the diagonal bond \({D}_{a}^{{\prime} }\) are most relevant in the ground state selection. For Cs2CuCl4, it is proposed that the contribution of \({D}_{a}^{{\prime} }\) is significant30, resulting in the spiral moment lying almost within the bc plane28. On the other hand, a recent electron-spin-resonance (ESR) study suggested that the intrachain DM interaction Dc is the primary source for stabilizing the spiral LRO in CROC, as indicated by the observed shift of the soft mode in the disordered phase55. Despite the slightly weaker exchange interactions in CROB than in CROC, they exhibit nearly the same transition temperature, suggesting that the intrachain DM interaction is slightly enhanced in CROB due to the spin-orbit coupling.
a Temperature dependence of the heat capacity divided by temperature C/T measured at 0 T using 3He for CROB. b Schematic of symmetrically-allowed DM vectors in one ATL layer in CROB17. Di (\({D}_{i}^{{\prime} }\)) (i = a, b, c) indicates the i component of the DM vector on the J (\({J}^{{\prime} }\)) bond. In the neighboring ATL layer, all the DM components except for Dc orient in the opposite direction. Temperature dependence of the magnetic susceptibility M/H measured at various magnetic fields (c) and the heat capacity divided by temperature C/T at 0 and 7 T (d) for PROC. The inset of panel c shows a magnetization curve at 2 K measured in a static magnetic field. The gray dashed line is a guide for the eye to clarify the slope change of the magnetization curve. e Schematic of the Wannier orbitals around the Pb/Sr and Re atoms for PROC (top) and BROC (bottom) revealed by the first-principles calculations. The paths of intralayer exchange \({J}^{{\prime} }\) and interlayer exchange \({J}^{{\prime\prime}}\) and \({J}^{{\prime\prime} {\prime} }\) couplings are depicted by red arrows. The illustrations in panels (b) and (e) are drawn with VESTA software80.
In addition, we observe a magnetic transition at TN = 6.6 K for PROC. As shown in Fig. 5c, the M/H–T curve at 0.1 T exhibits a sudden drop below TN, indicating an AFM phase transition. M/H below TN gradually rises with increasing an applied magnetic field up to 7 T, suggesting a spin-flop transition (see also the M–H curve at 2 K shown in the inset of Fig. 5c). The C/T–T curve exhibits a broad lambda-shaped anomaly indicative of a second-order transition, as shown in Fig. 5d. This anomaly persists at almost the same temperature until 7 T, indicating that the AFM or field-induced spin-canted phases are robust against a higher magnetic field. The magnetic contribution of C is found to be proportional to T3 below TN (Supplementary Note 5), suggesting the presence of 3D magnetic correlations, i.e., interlayer exchange couplings. This is confirmed by the first-principles calculations: the strengths of interlayer exchange couplings, \({J}^{{\prime\prime}}\) and \({J}^{{\prime\prime} {\prime} }\), defined as shown in Fig. 5e, are estimated to \({J}^{{\prime\prime}}\)/J = 0.006 and \({J}^{{\prime\prime} {\prime} }/J=0.190\) for PROC, whereas both \({J}^{{\prime\prime}}\)/J and \({J}^{{\prime\prime} {\prime} }/J\) are much smaller than 0.01 for other compounds (Supplementary Note 6). The relatively strong \({J}^{{\prime\prime} {\prime} }\) coupling can be attributed to the electron hopping via Pb 6p orbital.
Absence of magnetic LRO down to 60 mK in Ba3ReO5Cl2
As the DM interaction is absent and the interlayer exchange couplings are negligibly weak, A3ReO5X2 with A = Ba or Sr may serve as an ideal ATL quantum antiferromagnet, in which magnetic LRO is theoretically not predicted12,16,21. This scenario is supported by muon spin relaxation (μSR) measurements on BROC down to 60 mK, as shown in Fig. 6a (see Supplementary Note 7 for additional data at higher temperatures). When cooled below 1 K in zero magnetic field, a gradual increase of the spin relaxation rate was observed. However, the spin relaxing behavior is not accompanied by spin precession, which typically indicates magnetic ordering, and the spin depolarization is recovered when a relatively weak longitudinal magnetic field of 10 mT is applied. More notably, the time spectra measured under longitudinal fields cannot be adequately described by the conventional dynamical Kubo–Toyabe (KT) function. We therefore employ the so-called undecouplable Gaussian KT function61 (solid lines in Fig. 6a), a model that accounts for dynamical local spin fluctuations arising from sporadic breakdowns of the spin-singlet state (Supplementary Note 7). Our analysis reveal that the μSR time spectra observed below 1 K can be interpreted as a slowing down of local spin fluctuations with decreasing temperature. These results strongly suggest the presence of a dynamically fluctuating local magnetic field persisting down to the lowest measured temperature of 60 mK, rather than a static internal magnetic field.
a μSR time spectra measured at 60 mK under longitudinal fields of 0, 2, 5, and 10 mT. The solid lines represent the undecouplable Gaussian Kubo–Toyabe (uGKT) relaxation functions fitted to the corresponding experimental data. Each dataset and its fitted curve are shown in the same color. b Color contour map of INS intensities as a function of wavevector Q, measured at 4 K with an incident neutron energy of Ei = 9.70 meV. c Constant-Q cuts of panel (b), sliced at ∣Q∣ = [0.35, 0.45], [0.45, 0.55], [0.55, 0.65], [0.65, 0.75], [0.75, 0.85], and [0.85, 0.95] Å−1 (the average ∣Q∣ value is indicated in the graph). Each Plot is vertically shifted by 0.2 for clarity.
To confirm the TLL-like behavior, INS experiments were performed on a polycrystalline sample of BROC. Figure 6b shows the INS intensity map as a function of wavevector ∣Q∣, measured at Ei = 9.70 meV at 4 K. The INS intensity is concentrated around ∣Q∣ = 0.6–0.7 Å−1, indicating the development of short-range AFM correlations. This feature is consistent with expectations for a 1D antiferromagnet, where powder-averaged spin excitation spectrum exhibits a prominent gapless character above ∣Q0∣ = π/d, where d is the intrachain atomic distance. For BROC, ∣Q0∣ of 0.54 Å−1 obtained from d = 5.79 Å53 well agrees with the position of the observed gapless excitation. In addition, a signature of weak dispersion along the interchain direction is observed. As shown in the constant-Q cuts of the INS spectra in Fig. 6c, the intensity peak slightly shifts toward higher energy transfer at ∣Q∣ < 0.6 Å−1. This trend is also observed in measurements at higher Ei, confirming its intrinsic origin (Supplementary Note 8). In a purely 1D antiferromagnet, constant-Q cuts are expected to show a broad peak at a fixed energy transfer of πJ/2, where the spinon density of states is maximal. The peak position and its shift are reproduced by simulating the spin excitation spectrum based on the Random phase approximation2,54 (Supplementary Note 8). The exchange parameters J and \({J}^{{\prime} }/J\) are estimated to be 21 K and 0.25, respectively. The value of J is in good agreement with that obtained from the magnetization measurements (Table 2). On the other hand, the simulation tends to underestimate \({J}^{{\prime} }/J\); the values of 0.15 for CROC54 and 0.25 for BROC are roughly 60% of those listed in Table 2. This discrepancy may be attributed to the renormalization effect on \({J}^{{\prime} }\), which is neglected in the simulation.
Discussion
We demonstrate that all three previously reported compounds A3ReO5Cl2 (A = Ca, Sr, Ba)51,53 can accommodate the substitution of Cl with Br. The halide substitution results in the elongation of both d and \({d}^{{\prime} }\) in the ATL composed of Re6+ ions (Fig. 1c). These elongations lead to a weakening of the exchange couplings J and \({J}^{{\prime} }\), as indicated by the decrease in ∣ΘW∣ and the increase in α ( ∝ J−1) (Table 1). Notably, this tendency is in contrast with another model compound of an ATL quantum antiferromagnet Cs2CuCl4, where the substitution of Cl with Br leads to the enhancement of J and \({J}^{{\prime} }\)36. We also reveal that the anisotropy \({J}^{{\prime} }/J\) in A3ReO5X2 ranges from 0.25 to 0.45, although the low-temperature magnetism is commonly characterized by one-dimensionalization irrespective of the types of the A cation and X anion. The halide substitution does not significantly modify \({J}^{{\prime} }/J\) for A = Ca and Ba, while a substantial decrease in \({J}^{{\prime} }/J\) (from 0.35 to 0.25) is found for A = Sr (Table 2). This can be attributed to a relatively larger increase in \({d}^{{\prime} }\) (~1.7%) compared to d (~1.2%) for A = Sr (Fig. 1c).
The most fascinating aspect of A3ReO5X2 is the controllability of perturbative interactions, which is responsible for selecting the ground state (Fig. 1d). CROC and CROB (Group 1) undergo a magnetic transition at TN = 1.1352 and 1.15 K (Fig. 5a), respectively, driven by the uniform DM interaction allowed by the crystallographic symmetry. Further ESR studies are needed to quantitatively evaluate the strength of the DM interaction relative to the exchange couplings in CROB34,55,62. The DM-induced incommesurate spiral order is expected as the ground state of CROC54 and CROB. Theoretically, the application of a magnetic field on the ATL quantum antiferromagnet with the DM interaction can induce successive phase transitions associated with the emergence of versatile LRO phases, such as commensurate AFM and incommensurate cone phases, aside from the low-field spiral and forced ferromagnetic phases14,17. Indeed, Cs2CuCl4 exhibits multiple phase transitions for H∥b and c33, and notably, the phase diagram becomes more complicated under pressure37. While the interchain DM interaction \({D}_{a}^{{\prime} }\) plays a crucial role in determining the magnetic structure of Cs2CuCl4, it is the intrachain DM interaction Dc that is expected to be more relevant for the magnetic structures of CROC and CROB. Comprehensive magnetization measurements on CROC and CROB single crystals below TN will provide direct insight into the role of the interchain DM interaction in shaping the field-induced phases of ATL quantum antiferromagnets. PROC (Group 2) undergoes a magnetic transition at TN = 6.6 K due to the interlayer exchange couplings via the Re–O–Pb–O–Re superexchange path, which arises from the hybridization of the O 2p and Pb 6p orbitals. The exchange paths of the interlayer \({J}^{{\prime\prime}}\) and \({J}^{{\prime\prime} {\prime} }\) couplings in PROC (Fig. 5e) are more complex than those considered in the previous theoretical work17. It is necessary to construct a new theoretical model in line with the spin Hamiltonian of PROC. The rest four A3ReO5X2 compounds with A = Sr or Ba (Group 3) are close to the ideal ATL quantum antiferromagnet free from the interlayer exchange and DM interactions. Since \({J}^{{\prime} }/J\) for these compounds is smaller than 0.6, their ground states are expected to be a TLL-like gapless QSL12,16,21. The diversity in \({J}^{{\prime} }/J\) values (0.25–0.45) offers an excellent opportunity to meticulously investigate the impact of magnetic frustration on the TLL state. Our μSR experiments confirm the absence of a magnetic transition down to 60 mK in BROC. TLL-like behavior is also observed in the INS spectra obtained from polycrystalline BROC samples. A detailed characterization of magnetic excitations, such as the search for triplon, in the disordered ground state, using single-crystalline BROC with a relatively higher \({J}^{{\prime} }/J\) ratio (\({J}^{{\prime} }/J\approx 0.40\)), would be essential for elucidating the nature of the spin liquid state in the 2D quantum antiferromagnet.
Methods
Sample preparation
Polycrystalline samples of A3ReO5X2 (A = Ca, Sr, Ba, Pb; X = Cl, Br) and an isostructural nonmagnetic compound Pb3WO5Cl2 were synthesized by conventional solid-state reaction. AO, AX2, and ReO3 (WO3) were mixed in a molar ratio of 2:1:1 in an argon-filled glovebox. The mixture was pressed into a pellet and wrapped in gold foil, and then sealed in an evacuated quartz tube. All the samples were sintered twice with an intermediate grinding step. The sintering conditions for each compound are listed in Supplementary Table S1. Single crystals of A3ReO5Br2 (A = Ca, Sr, Ba) with a size of ~50 μm were grown by partially melting a stoichiometric mixture in an evacuated quartz tube at 1050, 1030, 900 ∘C for 20 h for A = Ca, Sr, and Ba, respectively.
X-ray diffraction measurement and structural analysis
The synthesized polycrystalline samples were characterized by X-ray diffraction (XRD) measurements using a Rigaku RINT-2500 diffractometer with Cu Kα radiation. All samples used for physical property measurements were confirmed to be single phase without any noticeable impurities. The crystal structures of Ca3ReO5Br2 and Sr3ReO5Br2 were determined by single-crystal XRD measurements using a Rigaku R-AXIS RAPID IP diffractometer with monochromated Mo Kα radiation. The structures were solved by direct methods and refined by full-matrix least-squares methods on ∣F2∣ using the SHELXL2013 software. The crystal structure of Ba3ReO5Br2 was determined by powder XRD measurements using a Rigaku SmartLab diffractometer with Cu Kα1 radiation monochromated by a Ge(111)-Johansson-type monochromator. The structure of Pb3ReO5Br2 was determined by powder XRD using synchrotron radiation (wavelength λ = 0.4013 Å) on BL02B2 at a synchrotron facility SPring-8 in Japan. Rietveld refinements for Ba3ReO5Br2 and Pb3ReO5Cl2 were performed using the RIETAN-FP program63, based on the structural model of Ba3ReO5Cl253. All measurements were performed at room temperature.
Physical property measurements
Magnetization measurements up to 7 T were performed using a commercial magnetometer (MPMS-3, Quantum Design). Heat capacity measurements were performed in zero field by a thermal relaxation method using a commercial cryostat equipped with a superconducting magnet (PPMS, Quantum Design) down to 2 K and by a quasi-adiabatic heat-pulse method in a 3He cryostat down to 0.24 K. Magnetization measurements up to ~60 T and ~130 T were performed by the induction method using a non-destructive pulsed magnet (~4 ms duration) and a horizontal single-turn coil system (~8 μs duration)58, respectively. Polycrystalline samples were used in all the magnetization measurements. A3ReO5Br2 (A = Ca, Sr, Ba) single crystals and Pb3ReO5Cl2 polycrystalline samples were used in the heat capacity measurements.
Muon spin relaxation experiment
μSR experiments were performed at the muon D1 area of the Materials and Life Science Experimental Facility (MLF) at J-PARC, Japan. Polycrystalline samples of Ba3ReO5Cl2 were glued onto a silver plate sample holder using GE varnish and mounted on a dilution refrigerator for cooling. The sample was irradiated with a surface muon beam that was nearly 100% polarized along the beam axis. A time histogram of decay positron events, corresponding to the muon lifetime of ~2.2 μs, was recorded using detectors in the μSR spectrometer. The asymmetry of decay events between the forward and backward counters, which is proportional to the muon spin polarization, was recorded and converted into a time-dependent spin polarization. A longitudinal magnetic field of up to 10 T was applied along the beam axis using a Helmholtz coil installed in the μSR spectrometer. For zero-field measurements, the magnetic field near the sample was actively maintained below 10 μT by using a triaxial correction coil and four triaxial fluxgate magnetometers, which monitored the local magnetic environment to compensate for stray fields originating from beamline magnets and other sources.
Inelastic neutron scattering experiment
Inelastic neutron scattering (INS) experiments were performed using the cold-neutron disk chopper spectrometer AMATERAS installed in the MLF64. We used polycrystalline samples of Ba3ReO5Cl2 with the weight of 11.63 g. To reduce absorption at low-scattering angles, the polycrystalline samples were shaped in 9 platelike blocks with the dimension of 8.8 × 8.8 × 3.5 mm3. Incident neutrons were set 11∘ away from the perpendicular direction of the plane. Incident neutron energies were set to Ei = 20.9, 9.70, 5.57, and 3.61 meV (ΔE = 0.85, 0.29, 0.13, and 0.070 meV, respectively) and Ei = 42.1, 15.2, 7.75, and 4.69 meV (ΔE = 1.0, 0.28, 0.12, and 0.068 meV, respectively) using repetition multiplication65. The sample was cooled down to 4K using a bottom-loading closed-cycle referigerator. All the data collected were analyzed using the software suite UTSUSEMI66. The effect of absorption is corrected from a density estimated from the weight and the dimension67. The observed spectra were fitted by the weakly coupled 1D model based on the random phase approximation2,54. See Supplementary Note 8 for details68,69,70.
Orthogonalized finite-temperature Lanczos method
The finite-temperature Lanczos method (FTLM) is useful for the analysis of frustrated quantum spin systems60, though the orthogonalized finite-temperature Lanczos method (OFTLM) is a more accurate method than the standard FTLM, particularly at low temperatures22,59. In the OFTLM, we first calculate several low-lying exact eigenvectors \(\left\vert {\Psi }_{i,m}\right\rangle\) with NV levels, where we define the order of the corresponding eigenvalues {Ei,m} as \({E}_{0,m}\le {E}_{1,m}\le \cdots \le {E}_{{N}_{V}-1,m}\). By using a normalized random initial vector with \({S}_{{{{\rm{tot}}}}}^{z}=m\), \(\left\vert {V}_{r,m}\right\rangle\), we calculate the modulated random vector
with normalization
The partition function of the OFTLM is obtained as follows:
where Msat is the saturation magnetization, \({N}_{{{{\rm{st}}}}}^{(m)}\) is the dimension of the Hilbert subspace with \({S}_{{{{\rm{tot}}}}}^{z}=m\), R denotes the number of random samplings of the OFTLM, ML denotes the dimension of the Krylov subspace, β is the inverse temperature 1/kBT, and \(\left\vert {\psi }_{j,m}^{r}\right\rangle\) [\({\epsilon }_{j,m}^{(r)}(h)\)] are the eigenvectors (eigenvalues) in the ML-th Krylov subspace with \({S}_{{{{\rm{tot}}}}}^{z}=m\). The energy E(T, h)OFTL, magnetization M(T, h)OFTL, magnetic susceptibility χ(T)OFTL, and magnetic entropy Smag(T, h)OFTL are obtained as follows:
Since the last terms in Eqs. (4)–(7) are exact values, they are more accurate than those obtained using the standard FTLM, particularly at low temperatures.
In the adiabatic processes, the entropy remains constant while the temperature changes. The temperature under the adiabatic processes can be determined based on the following relationship with h:
where \({S}_{{{{\rm{mag}}}}}{({T}_{{{{\rm{ini}}}}},0)}_{{{{\rm{OFTL}}}}}\) corresponds to the initial entropy, and Tini represents the initial temperature. We solved Eq. (9) for T using the Newton–Raphson method, and then substituted the obtained T into Eq. (6) to calculate the magnetization under the adiabatic processes.
We performed OFTLM calculations for a cluster of 36 sites under periodic boundary conditions with R = 10, NV = 4, and ML = 100. Our calculations have revealed that there are almost no finite-size effects in the magnetization for kBT/J > 0.1 and in the magnetic susceptibility for kBT/J > 0.222. Therefore, the analysis of the magnetic susceptibility and magnetization curves in this study is sufficiently accurate.
First-principles calculations
First-principles calculations are performed based on density functional theory (DFT) using the program package Quantum ESPRESSO71, which employs plane waves and pseudopotentials to describe the Kohn–Sham orbitals and the crystalline potential, respectively. We set the plane-wave cutoff for a wave function to 120 Ry, suitable for the optimized norm-conserving pseudopotentials72 provided in the SG15 pseudopotential library73. The exchange and correlation effect is described with the Perdew–Burke–Ernzerhof functional74 based on the generalized gradient correction. We perform the Brillouin-zone integral on 5 × 10 × 5 (10 × 10 × 5) k-point grids for the charge-density calculation of the Type I (Type II) structure by using the optimized tetrahedron method75. The fluctuated position of halogen atoms is fixed to the middle of the fluctuation to make the structure suitable for the DFT calculation. We computed the maximally localized Wannier function (MLWF)76 associated with the 5dxy orbitals of the Re atoms. The onsite screened Coulomb integral (U) is computed with the constrained random phase approximation (cRPA)77. For the calculations of MLWF and cRPA, we use the RESPACK78 program package. The susceptibility for the screened Coulomb interaction in Type I (II) materials is computed with 878 (439) empty bands whose upper limit is 35 eV from the Fermi level. The plane-wave cutoff for the susceptibility is set to 12 eV.
Data availability
The datasets generated during and/or analyzed during the current study are available in the Figshare repository, [https://doi.org/10.6084/m9.figshare.30280678]. The data from the first-principles calculations are available in the ARIM-mdx data repository [https://arim.mdx.jp/nextcloud/index.php/s/Q4TRDdnSYArfo38]79.
References
Balents, L. Spin liquids in frustrated magnets. Nature 464, 199 (2010).
Kohno, M., Starykh, O. A. & Balents, L. Spinons and triplons in spatially anisotropic frustrated antiferromagnets. Nat. Phys. 3, 790 (2007).
Norman, M. R. Colloquium: herbertsmithite and the search for the quantum spin liquid. Rev. Mod. Phys. 88, 041002 (2016).
Ma, J. et al. Static and dynamical properties of the spin-1/2 equilateral triangular-lattice antiferromagnet Ba3CoSb2O9. Phys. Rev. Lett. 116, 087201 (2016).
Dai, P.-L. et al. Spinon Fermi surface spin liquid in a triangular lattice antiferromagnet NaYbSe2. Phys. Rev. X 11, 021044 (2021).
Ortiz, B. R. et al. Quantum disordered ground state in the triangular-lattice magnet NaRuO2. Nat. Phys. 19, 943 (2023).
Weihong, Z., McKenzie, R. H. & Singh, R. R. P. Phase diagram for a class of spin-\(\frac{1}{2}\) Heisenberg models interpolating between the square-lattice, the triangular-lattice, and the linear-chain limits. Phys. Rev. B 59, 14367 (1999).
Chung, C.-H., Voelker, K. & Kim, Y. B. Statistics of spinons in the spin-liquid phase of Cs2CuCl4. Phys. Rev. B 68, 094412 (2003).
Yunoki, S. & Sorella, S. Resonating valence bond wave function for the two-dimensional fractional spin liquid. Phys. Rev. Lett. 92, 157003 (2004).
Zheng, W., Singh, R. R. P., McKenzie, R. H. & Coldea, R. Temperature dependence of the magnetic susceptibility for triangular-lattice antiferromagnets with spatially anisotropic exchange constants. Phys. Rev. B 71, 134422 (2005).
Zheng, W., Fjærestad, J. O., Singh, R. R. P., McKenzie, R. H. & Coldea, R. Anomalous excitation spectra of frustrated quantum antiferromagnets. Phys. Rev. Lett. 96, 057201 (2006).
Yunoki, S. & Sorella, S. Two spin liquid phases in the spatially anisotropic triangular Heisenberg model. Phys. Rev. B 74, 014408 (2006).
Weng, M. Q., Sheng, D. N., Weng, Z. Y. & Bursill, R. J. Spin-liquid phase in an anisotropic triangular-lattice Heisenberg model: exact diagonalization and density-matrix renormalization group calculations. Phys. Rev. B 74, 012407 (2006).
Starykh, O. A. & Balents, L. Ordering in spatially anisotropic triangular antiferromagnets. Phys. Rev. Lett. 98, 077205 (2007).
Hayashi, Y. & Ogata, M. Possibility of gapless spin liquid state by one-dimensionalization. J. Phys. Soc. Jpn. 76, 053705 (2007).
Heidarian, D., Sorella, S. & Becca, F. Spin-\(\frac{1}{2}\) Heisenberg model on the anisotropic triangular lattice: from magnetism to a one-dimensional spin liquid. Phys. Rev. B 80, 012404 (2009).
Starykh, O. A., Katsura, H. & Balents, L. Extreme sensitivity of a frustrated quantum magnet: Cs2CuCl4. Phys. Rev. B 82, 014421 (2010).
Reuther, J. & Thomale, R. Functional renormalization group for the anisotropic triangular antiferromagnet. Phys. Rev. B 83, 024402 (2011).
Harada, K. Numerical study of incommensurability of the spiral state on spin-\(\frac{1}{2}\) spatially anisotropic triangular antiferromagnets using entanglement renormalization. Phys. Rev. B 86, 184421 (2012).
Starykh, O. A., Jin, W. & Chubukov, A. V. Phases of a triangular-lattice antiferromagnet near saturation. Phys. Rev. Lett. 113, 087204 (2014).
Ghorbani, E., Tocchio, L. F. & Becca, F. Variational wave functions for the \(S=\frac{1}{2}\) Heisenberg model on the anisotropic triangular lattice: spin liquids and spiral orders. Phys. Rev. B 93, 085111 (2016).
Morita, K. Isothermal and adiabatic magnetization processes of the spin-\(\frac{1}{2}\) Heisenberg model on an anisotropic triangular lattice. Phys. Rev. B 105, 064428 (2022).
Yu, Y., Li, S., Isk, S. & Gul, E. Magnetic phases of the anisotropic triangular lattice Hubbard model. Phys. Rev. B 107, 075106 (2023).
Bernu, B., Lecheminant, P., Lhuillier, C. & Pierre, L. Exact spectra, spin susceptibilities, and order parameter of the quantum Heisenberg antiferromagnet on the triangular lattice. Phys. Rev. B 50, 10048 (1994).
White, S. R. & Chernyshev, A. L. Neél order in square and triangular lattice Heisenberg models. Phys. Rev. Lett. 99, 127004 (2007).
Endoh, Y., Shirane, G., Birgeneau, R. J., Richards, P. M. & Holt, S. L. Dynamics of an \(S=\frac{1}{2}\), one-dimensional Heisenberg antiferromagnet. Phys. Rev. Lett. 32, 170 (1974).
Tennant, D. A., Perring, T. G., Cowley, R. A. & Nagler, S. E. Unbound spinons in the S = 1/2 antiferromagnetic chain KCuF3. Phys. Rev. Lett. 70, 4003 (1993).
Coldea, R. et al. Neutron scattering study of the magnetic structure of Cs2CuCl4. J. Phys. Condens. Matter 8, 7473 (1996).
Coldea, R., Tennant, D. A., Tsvelik, A. M. & Tylczynski, Z. Experimental realization of a 2D fractional quantum spin liquid. Phys. Rev. Lett. 86, 1335 (2001).
Coldea, R. et al. Direct measurement of the spin hamiltonian and observation of condensation of magnons in the 2D frustrated quantum magnet Cs2CuCl4. Phys. Rev. Lett. 88, 137203 (2002).
Coldea, R., Tennant, D. A. & Tylczynski, Z. Extended scattering continua characteristic of spin fractionalization in the two-dimensional frustrated quantum magnet Cs2CuCl4 observed by neutron scattering. Phys. Rev. B 68, 134424 (2003).
Radu, T. et al. Bose-Einstein condensation of magnons in Cs2CuCl4. Phys. Rev. Lett. 95, 127202 (2005).
Tokiwa, Y. et al. Magnetic phase transitions in the two-dimensional frustrated quantum antiferromagnet Cs2CuCl4. Phys. Rev. B 73, 134414 (2006).
Povarov, K. Y., Smirnov, A. I., Starykh, O. A., Petrov, S. V. & Shapiro, A. Y. Modes of magnetic resonance in the spin-liquid phase of Cs2CuCl4. Phys. Rev. Lett. 107, 037204 (2011).
Smirnov, A. I., Povarov, K. Y., Petrov, S. V. & Shapiro, A. Y. Magnetic resonance in the ordered phases of the two-dimensional frustrated quantum magnet Cs2CuCl4. Phys. Rev. B 85, 184423 (2012).
Zvyagin, S. A. et al. Direct determination of exchange parameters in Cs2CuBr4 and Cs2CuCl4: high-field electron-spin-resonance studies. Phys. Rev. Lett. 112, 077206 (2014).
Zvyagin, S. A. et al. Pressure-tuning the quantum spin Hamiltonian of the triangular lattice antiferromagnet Cs2CuCl4. Nat. Commun. 10, 1064 (2019).
Schulze, E. et al. Evidence of one-dimensional magnetic heat transport in the triangular-lattice antiferromagnet Cs2CuCl4. Phys. Rev. Res. 1, 032022(R) (2019).
Ono, T. et al. Magnetization plateau in the frustrated quantum spin system Cs2CuBr4. Phys. Rev. B 67, 104431 (2003).
Ono, T. et al. Magnetization plateaux of the S = 1/2 two-dimensional frustrated antiferromagnet Cs2CuBr4. J. Phys. Condens. Matter 16, S773 (2004).
Tsujii, H. et al. Thermodynamics of the up-up-down phase of the \(S=\frac{1}{2}\) triangular-lattice antiferromagnet Cs2CuBr4. Phys. Rev. B 76, 060406(R) (2007).
Fortune, N. A. et al. Cascade of magnetic-field-induced quantum phase transitions in a Spin-1/2 triangular-lattice antiferromagnet. Phys. Rev. Lett. 102, 257201 (2009).
Shimizu, Y., Miyagawa, K., Kanoda, K., Maesato, M. & Saito, G. Spin liquid state in an organic Mott insulator with a triangular lattice. Phys. Rev. Lett. 91, 107001 (2003).
Kandpal, H. C., Opahle, I., Zhang, Y.-Z., Jeschke, H. O. & Valentí, R. Revision of model parameters for κ-type charge transfer salts: an ab initio study. Phys. Rev. Lett. 103, 067004 (2009).
Koretsune, T. & Hotta, C. Evaluating model parameters of the κ- and β’-type Mott insulating organic solids. Phys. Rev. B 89, 045102 (2014).
Yoshida, Y. et al. Spin-disordered quantum phases in a quasi-one-dimensional triangular lattice. Nat. Phys. 11, 679 (2015).
Komatsu, T., Matsukawa, N., Inoue, T. & Saito, G. Realization of superconductivity at ambient pressure by band-filling control in κ-(BEDT-TTF)2Cu2(CN)3. J. Phys. Soc. Jpn. 65, 1340 (1996).
Kato, R., Kashimura, Y., Aonuma, S., Hanasaki, N. & Tajima, H. A new molecular superconductor \({\beta }^{{\prime} }\)-Et2Me2P[Pd(dmit)2]2 (dmit = 2-thioxo-1,3-dithiole-4,5-dithiolate). Solid State Commun. 105, 561 (1998).
Shimizu, Y. et al. Magnetic field driven transition between valence bond solid and antiferromagnetic order in a distorted triangular lattice. Phys. Rev. Res. 3, 023145 (2021).
Powell, B. J., Kenny, E. P. & Merino, J. Dynamical reduction of the dimensionality of exchange interactions and the “spin-liquid” phase of κ–(BEDT–TTF)2X. Phys. Rev. Lett. 119, 087204 (2017).
Hirai, D. et al. "Visible” 5d orbital states in a pleochroic oxychloride. J. Am. Chem. Soc. 139, 10784 (2017).
Hirai, D., Nawa, K., Kawamura, M., Misawa, T. & Hiroi, Z. One-dimensionalization by geometrical frustration in the anisotropic triangular lattice of the 5d quantum antiferromagnet Ca3ReO5Cl2. J. Phys. Soc. Jpn. 88, 044708 (2019).
Hirai, D., Yajima, T., Nawa, K., Kawamura, M. & Hiroi, Z. Anisotropic triangular lattice realized in rhenium oxychlorides A3ReO5Cl2 (A = Ba. Sr). Inorg. Chem. 59, 10025 (2020).
Nawa, K. et al. Bound spinon excitations in the spin-\(\frac{1}{2}\) anisotropic triangular antiferromagnet Ca3ReO5Cl2. Phys. Rev. Res. 2, 043121 (2020).
Zvyagin, S. A. et al. Dimensional reduction and incommensurate dynamic correlations in the \(S=\frac{1}{2}\) triangular-lattice antiferromagnet Ca3ReO5Cl2. Nat. Commun. 13, 6310 (2022).
Choi, Y. et al. Bosonic spinons in anisotropic triangular antiferromagnets. Nat. Commun. 12, 6453 (2021).
Bonner, J. C. & Fisher, M. E. Linear magnetic chains with anisotropic coupling. Phys. Rev. 135, A640 (1964).
Gen, M., Okamoto, Y., Mori, M., Takenaka, K. & Kohama, Y. Magnetization process of the breathing pyrochlore magnet CuInCr4S8 in ultrahigh magnetic fields up to 150 T. Phys. Rev. B 101, 054434 (2020).
Morita, K. & Tohyama, T. Finite-temperature properties of the Kitaev-Heisenberg models on kagome and triangular lattices studied by improved finite-temperature Lanczos methods. Phys. Rev. Res. 2, 013205 (2020).
Jaklič, J. & Prelovšek, P. Lanczos method for the calculation of finite-temperature quantities in correlated systems. Phys. Rev. B 49, 5065(R) (1994).
Uemura, Y. J. et al. Spin fluctuations in frustrated Kagomé lattice system SrCr8Ga4O19 studied by muon spin relaxation. Phys. Rev. Lett. 73, 3306 (1994).
Povarov, K. Y. et al. Electron spin resonance of the interacting spinon liquid. Phys. Rev. Lett. 128, 187202 (2022).
Izumi, F. & Momma, K. Three-dimensional visualization in powder diffraction. Solid State Phenom. 130, 15 (2007).
Nakajima, K. et al. AMATERAS: a cold-neutron disk chopper spectrometer. J. Phys. Soc. Jpn. 80, SB028 (2011).
Nakamura, M. et al. First demonstration of novel method for inelastic neutron scattering measurement utilizing multiple incident energies. J. Phys. Soc. Jpn. 78, 093002 (2009).
Inamura, Y., Nakatani, T., Suzuki, J. & Otomo, T. Development status of software ‘Utsusemi’ for Chopper Spectrometers at MLF. J.-PARC J. Phys. Soc. Jpn. 82, SA031 (2013).
Kadowaki, H. https://github.com/kadowaki-h/absorptionfactoramateras.
Bougourzi, A. H., Couture, M. & Kacir, M. Exact two-spinon dynamical correlation function of the one-dimensional Heisenberg model. Phys. Rev. B 54, R12669(R) (1996).
Karbach, M., Müller, G., Bougourzi, A. H., Fledderjohann, A. & Mütter, K.-H. Two-spinon dynamic structure factor of the one-dimensional \(s=\frac{1}{2}\) Heisenberg antiferromagnet. Phys. Rev. B 55, 12510 (1997).
Kajimoto, R., Sato, K., Inamura, Y. & Fujita, M. in Proceedings of the Joint Conference on Quasielastic Neutron Scattering and the Workshopon Inelastic Neutron Spectrometers QENS/WINS 2016: Probing Nanoscale Dynamics in Energy Related Materials (eds, Fernandez-Alonso, F., Price, D. L., Grzimek, V., Lohstroh, W., Schneidewind, A., & Russina, M.) 050004 (AIP, New York, 2018).
Giannozzi, P. et al. Advanced capabilities for materials modelling with Quantum ESPRESSO. J. Phys. Condens. Matter 29, 465901 (2017).
Hamann, D. R. Optimized norm-conserving Vanderbilt pseudopotentials. Phys. Rev. B 88, 085117 (2013).
Schlipf, M. & Gygi, F. Optimization algorithm for the generation of ONCV pseudopotentials. Comp. Phys. Commun. 196, 36 (2015).
Perdew, J. P., Burke, K. & Ernzerhof, M. Generalized gradient approximation made simple. Phys. Rev. Lett. 77, 3865 (1996).
Kawamura, M., Gohda, Y. & Tsuneyuki, S. Improved tetrahedron method for the Brillouin-zone integration applicable to response functions. Phys. Rev. B 89, 094515 (2014).
Marzari, N. & Vanderbilt, D. Maximally localized generalized Wannier functions for composite energy bands. Phys. Rev. B 56, 12847 (1997).
Miyake, T., Aryasetiawan, F. & Imada, M. Ab initio procedure for constructing effective models of correlated materials with entangled band structure. Phys. Rev. B 80, 155134 (2009).
Nakamura, K. et al. RESPACK: An ab initio tool for derivation of effective low-energy model of material. Comp. Phys. Commun. 261, 107781 (2021).
Suzumura, T. et al. mdx: A cloud platform for supporting data science and cross-disciplinary research collaborations. In Proceedings of the IEEE International Conference on Cloud and Big Data Computing, pp. 1–7 (IEEE, 2022).
Momma, K. & Izumi, F. VESTA 3 for three-dimensional visualization of crystal, volumetric and morphology data. J. Appl. Crystallogr. 44, 1272 (2011).
Acknowledgements
We thank the Supercomputer Center, the Institute for Solid State Physics, the University of Tokyo for providing us with the CPU time. The μSR and INS experiments were performed at the Materials and Life Science Experimental Facility of the J-PARC under a user program with the Proposal Nos. 2019A0270 and 2019A0126. This work was partly supported by the Japan Society for the Promotion of Science (JSPS) KAKENHI Grants-In-Aid for Scientific Research (Nos. 19H05821, 19H05824, 20H01858, 20J10988, 22H01167, 23H04860, 23K03296, 22H00101 and 23KK0051). M.G. was a postdoctoral research fellow of the JSPS.
Author information
Authors and Affiliations
Contributions
M.G. and D.H. conceived and organized the project. S.K. and D.H. synthesized samples under supervision of Z.H.; T.Y. performed the XRD measurement and structural analysis. D.H. and K.D. performed the magnetic susceptibility and heat capacity measurements. M.G. and A.M. performed the magnetization measurement in the non-destructive pulsed magnet under supervision of K.K.; M.G. and N.M. performed the magnetization measurement in the single-turn coil system under supervision of Y.K.; A.K. and D.H. performed the μSR experiment. K.N., D.H., S.O.K., M.Ko., and T.J.S. performed the INS experiment and worked out the neutron data. K.M. performed the OFTLM calculations. M.Ka. performed the first-principles calculations. M.G. wrote the manuscript with input comments from all co-authors.
Corresponding author
Ethics declarations
Competing interests
The authors declare no competing interests.
Peer review
Peer review information
Nature Communications thanks Kwang-Yong Choi, and the other, anonymous, reviewer(s) for their contribution to the peer review of this work. A peer review file is available.
Additional information
Publisher’s note Springer Nature remains neutral with regard to jurisdictional claims in published maps and institutional affiliations.
Supplementary information
Rights and permissions
Open Access This article is licensed under a Creative Commons Attribution-NonCommercial-NoDerivatives 4.0 International License, which permits any non-commercial use, sharing, distribution and reproduction in any medium or format, as long as you give appropriate credit to the original author(s) and the source, provide a link to the Creative Commons licence, and indicate if you modified the licensed material. You do not have permission under this licence to share adapted material derived from this article or parts of it. The images or other third party material in this article are included in the article’s Creative Commons licence, unless indicated otherwise in a credit line to the material. If material is not included in the article’s Creative Commons licence and your intended use is not permitted by statutory regulation or exceeds the permitted use, you will need to obtain permission directly from the copyright holder. To view a copy of this licence, visit http://creativecommons.org/licenses/by-nc-nd/4.0/.
About this article
Cite this article
Gen, M., Hirai, D., Morita, K. et al. Chemically tunable quantum magnetism on the anisotropic triangular lattice in rhenium oxyhalides. Nat Commun 16, 9938 (2025). https://doi.org/10.1038/s41467-025-65913-7
Received:
Accepted:
Published:
Version of record:
DOI: https://doi.org/10.1038/s41467-025-65913-7








