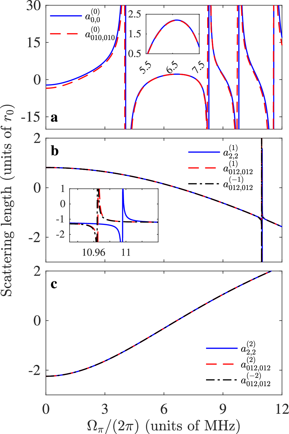
Fig. 4: Comparison of the scattering lengths calculated using single- and multi-channel models.
From: Two- and many-body physics of ultracold molecules dressed by dual microwave fields

a \({a}_{0,0}^{(0)}\) and \({a}_{010,010}^{(0)}\) versus Ωπ. The inset is the zoom-in plot for the s-wave scattering length in the vicinity of \({\Omega }_{\pi }^{(c)}\). b \({a}_{2,2}^{(1)}\), \({a}_{012,012}^{(1)}\), and \({a}_{012,012}^{(-1)}\) versus Ωπ. The inset is the zoom-in plot around the scattering resonance with m0 = ± 1. c \({a}_{2,2}^{(2)}\), \({a}_{012,012}^{(2)}\), and \({a}_{012,012}^{(-2)}\) versus Ωπ.