Fig. 3: Pseudo-Larmor effect.
From: Fermi polarons under strain-induced pseudomagnetic fields

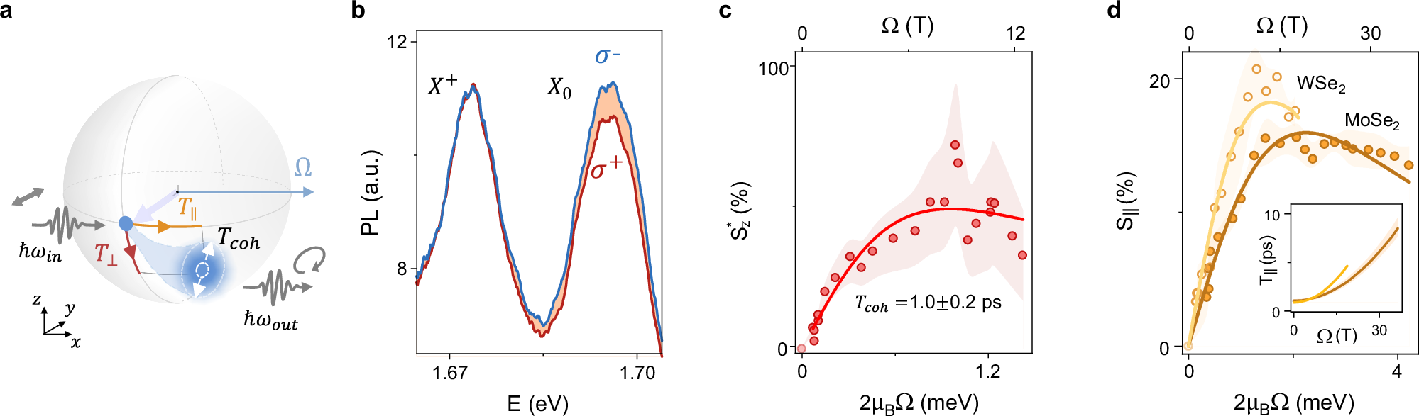
a Schematics of the expected Larmor-like dynamics of pseudospin in a pseudomagnetic field. b Circular-polarization-resolved PL spectra of WSe2 under 8 T (0.9 meV) pseudomagnetic field, excited by linearly polarized light. The rotation of the exciton’s pseudospin is manifested as an asymmetry between σ− and σ+ emission of the neutral exciton (X0). c The \({S}_{z}^{*}\) component of the pseudospin vs. the pseudomagnetic field strength in WSe2 (red points) and fit to the model Eq. (2) (red line), top and bottom x-axes are the pseudomagnetic field strength and the corresponding excitonic splitting, respectively. The shadow represents uncertainty. d The component of the pseudospin along the field, S∥, vs. field strength in MoSe2 and WSe2 and fit to our theoretical model Eq. (2). Inset: the dependence of T∥ on the pseudomagnetic field strength in MoSe2 and WSe2 (dark and bright orange lines, respectively).