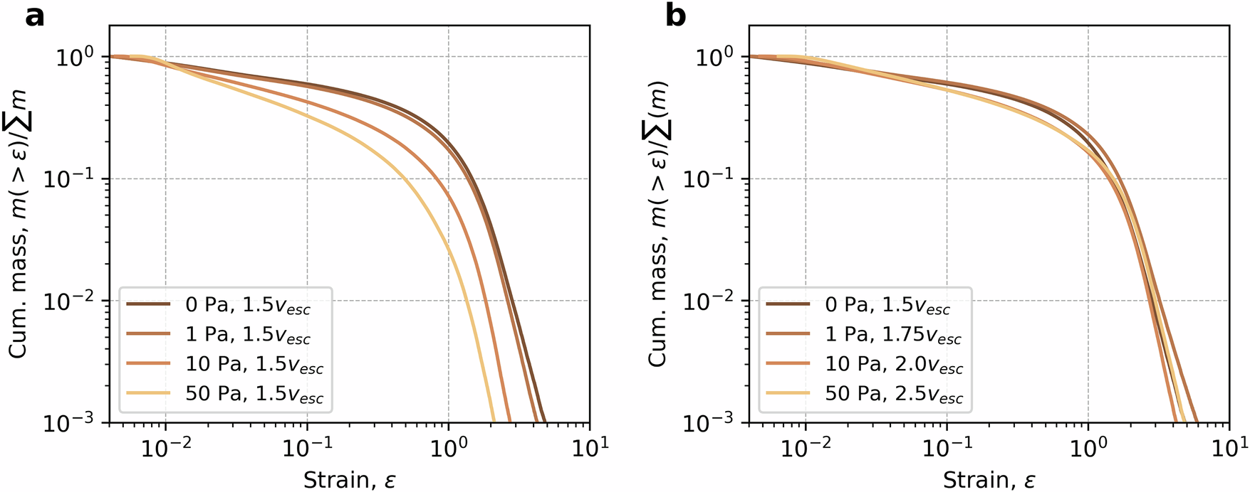
Fig. 10: Cumulative mass, normalised by the total moonlets’ mass, as a function of strain exceeding a threshold ϵ.
From: Multiple moonlet mergers as the origin of the Dinkinesh-Selam system

a At 1.5 vesc, there is a negligible difference in strain between targets with 0 Pa and 1 Pa. However, as cohesion increases further, the material experiences significantly less deformation. b While increasing the impact velocity can partially compensate for this effect, it fails to reproduce the observed post-impact shape (see Figs. 1, 2).