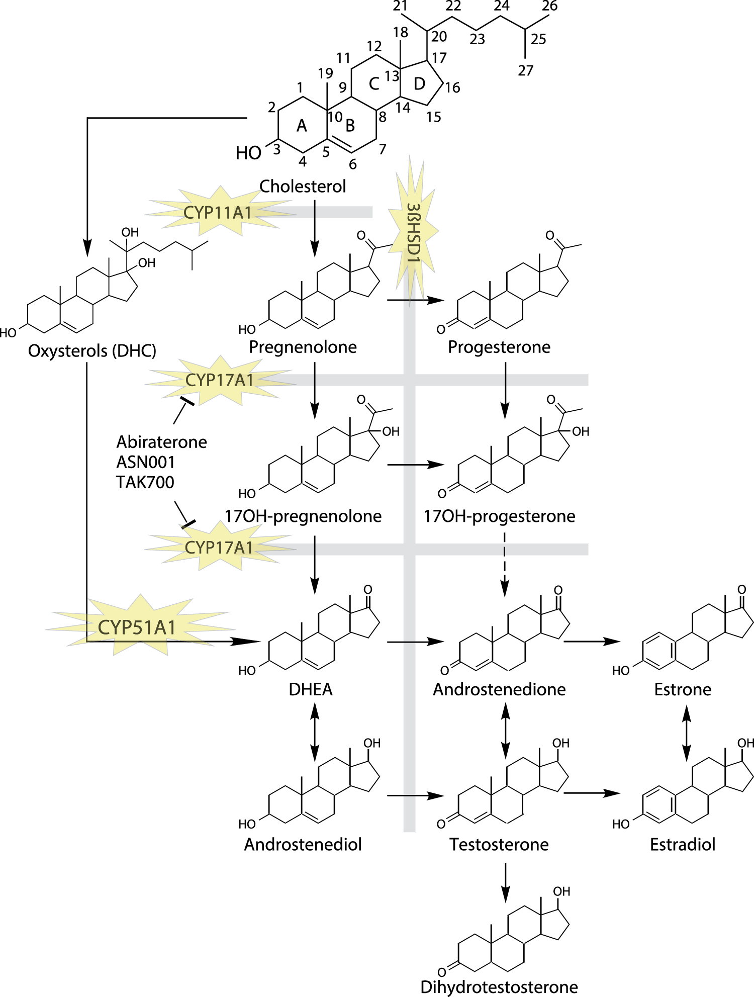
Fig. 6: A CYP17A1-independent pathway of sex steroid biosynthesis requires CYP51A1.
From: A bypass gateway from cholesterol to sex steroid biosynthesis circumnavigates CYP17A1

CYP51A1 mediates a CYP17A1-independent pathway of androgen and estrogen biosynthesis. Pharmacologic blockade of CYP17A1 does not affect this newly identified bypass pathway. This sex steroid biosynthesis activity is conserved across vertebrate orthologs of human CYP51A1.