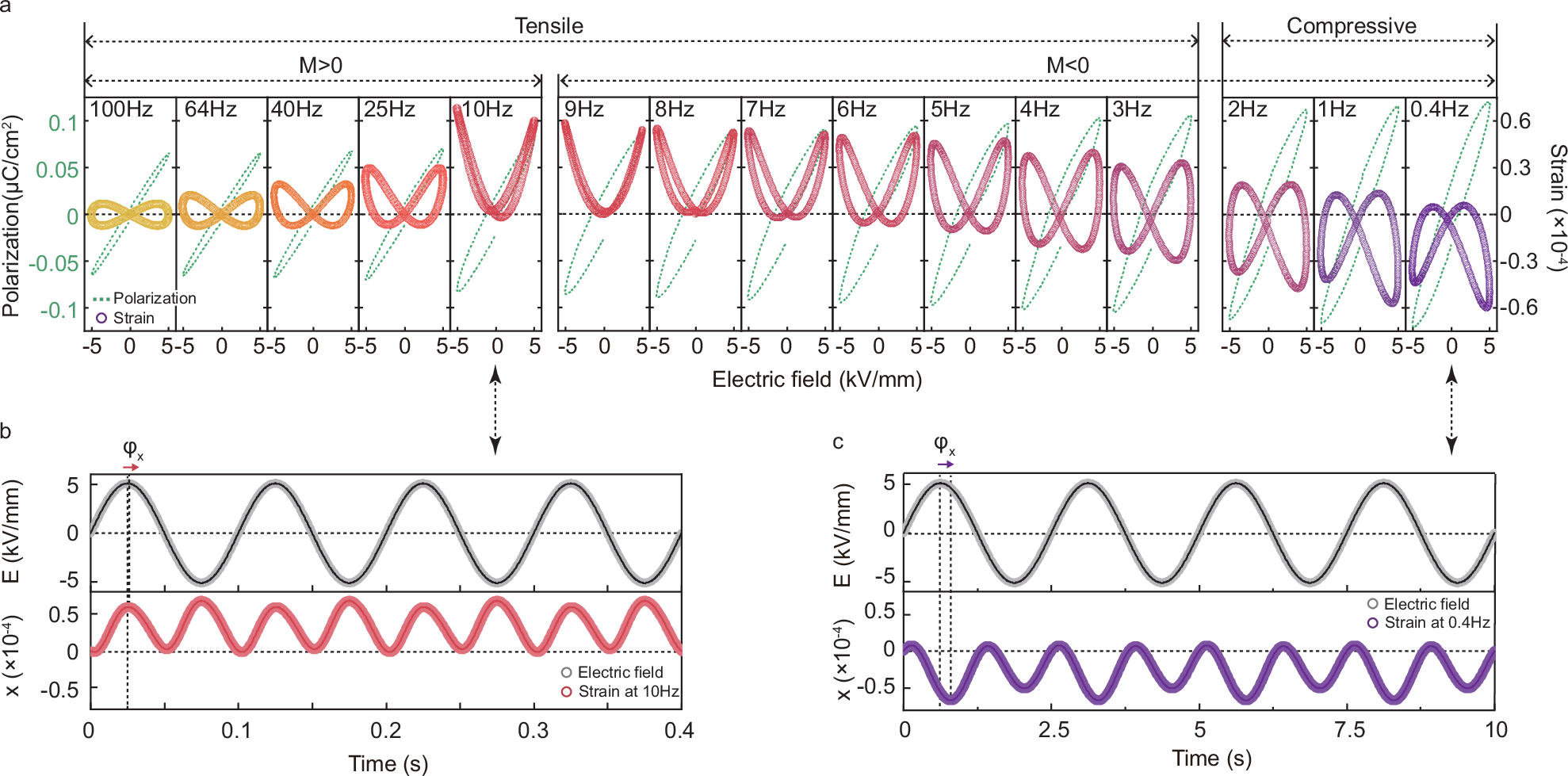
Fig. 3: Experimental electrostrictive response of La2Mo2O9 ceramics.

a Measured strain (x) in La2Mo2O9 ceramic switches from compressive to tensile as the electric field frequency increases (from 0.4 Hz to 100 Hz, a gradient transitioning from purple through red to yellow), whereas the polarization (P, green dashed line) only slightly decreases as frequency increases. The strain evolution corresponds to the evolution of the phase (φx) shown in Fig. 2a and illustrated for extension in panel (b) (10 Hz) and for compression in panel (c) (0.4 Hz). The sign change of the electrostrictive coefficient occurs between 9 and 10 Hz.