Abstract
The discovery of “giant” (or non-classical) electrostrictors has reignited interest in electrostriction, a second-order electromechanical coupling phenomenon. While the relationship between the generated strain and the square of the electric field may seem straightforward, determining the sign of the electrostrictive coefficients proves challenging, as evidenced by the opposite signs reported by various research groups. We show that electrostrictive coefficients must be treated as complex values with their sign dictated by their phases rather than by the overall shape of the strain versus electric field curve. Moreover, our analysis of the electrostrictive properties of La2Mo2O9 ceramics reveals that both the electrostrictive coefficients and the induced strains may undergo sign changes when the frequency varies, with each sign change occurring at its own critical frequency. Finally, we introduce a model to explain the differing frequency response of the electrostrictive coefficients.
Similar content being viewed by others
Introduction
Considering the lead-free requirement for electromechanically active materials, non-classical (so-called “giant”) electrostrictors have attracted significant attention over the past decade1,2,3,4,5. Electrostrictive coefficients define the quadratic relationship between strain and either the electric field or the polarization (xij = MijklEkEl or xij = QijklPkPl, with M and Q denoting the field and polarization electrostrictive tensors, respectively, P the polarization, and E the electric field). The quadratic dependence of the strain on the electric field indicates that the deformation direction is independent of the electric-field polarity.
The sign of the longitudinal tensor component (the electrostrictive “coefficient”) can be either positive or negative. For example, most relaxor ferroelectrics exhibit positive electrostrictive coefficients6,7,8,9. On the contrary, several materials have been reported to have negative electrostrictive coefficients, including doped ceria ceramics (CeO2)10,11,12,13, La2Ce2O7 ceramics14, stabilized bismite (Bi2O3)15, LAMOX (La2Mo2O9-based materials)16,17, multi-cation stabilized zirconia18, van der Waals ferroelectric CIPS (CuInP2S6)19,20, methylammonium lead triiodide (MAPbI3)21 and relaxor ferroelectric polymers22. The different signs of these electrostrictive coefficients have been intuitively connected to the material’s tendency for tensile or compressive behavior, based on the interatomic potentials underlying a rigid ion model23. Recent ab initio calculations offer an additional explanation for these positive or negative signs. They demonstrated that the electrostrictive response in undoped BaZrO3 (which displays classical electrostriction) is driven by three transverse optical modes. Among these, two contribute positively while the third contributes negatively24. In such materials, the transverse optical modes’ amplitude ultimately determines the sign of the electrostrictive response.
However, the inconsistency in the reported signs of the longitudinal electrostrictive coefficients in the same material is often overlooked. For example, Gd-doped ceria thin films have been reported to exhibit compressive1 or tensile4 electrostrictive strains, attributed respectively to negative and positive electrostrictive coefficients. Similar cases also occur in classical electrostrictors, such as MASD25,26, NaNO227,28, BaF2, and SrF229,30.
Two explanations have been proposed to describe the difference in generated electrostrains (rather than in electrostrictive coefficients). The first is that the electric field amplitude affects the sign of the strain31. It was based on the fact that the strain is negative at low excitation amplitude despite the overall hysteretic strain-electric parabola being concave-upward, thereby corresponding to an overall positive strain. This has been interpreted as a change from compressive at low field amplitude (assimilated to a negative electrostrictive coefficient) to tensile at high field amplitude (positive electrostrictive coefficient). Such a behavior would be consistent with the positive strain of Gd-doped ceria thin films under high (50 kV/mm) electric field4 and negative strain under low (3.5 kV/mm) electric field1. The second explanation recalls that the measured quadratic strain is the sum of the electrostrictive strain (xE = M ⋅ E2) and the Maxwell strain (that is always compressive and induced by the electrostatic attraction between the electrodes) \({x}_{M}=-\frac{1}{2}{\varepsilon }_{0}{\varepsilon }_{r}S\cdot {E}^{2}\) with ε0 and εr the vacuum and relative permittivities, respectively, and S the elastic compliance. The material parameters (permittivity and elastic compliance) depend on the angular frequency ω of E(ω), the applied AC electric field. When 2M ≥ ε0εrS, the measured strain will be dominated by the electrostrictive strain (xE ≥ xM) and reflect its sign, whereas when the Maxwell strain dominates, the measured strain will be compressive regardless of the sign of the electrostrictive coefficient. Maxwell strain effect in dielectric elastomers and ferroelectric polymers is usually taken into account due to their large elastic compliance32,33 (large S). Despite the fact that the Maxwell strain is often overlooked in dielectric ceramics and thin films due to their stiffness (small elastic compliance S), the Maxwell stress induced by strong fields may no longer be negligible due to the potential drastic increase (up to 105-fold) in relative permittivity caused by the hopping of ionic defects under the field34, especially at low frequency (mHz range) or under DC bias. Consequently, the sign of the overall strain may be either negative (i.e., a compression) or positive (i.e., an extension) under different frequencies or electric field strengths because of the (compressive) Maxwell strain potentially overcompensating the tensile electrostrictive strain.
Here, we report an intriguing observation: the sign of the electrostrictive M coefficient of bulk La2Mo2O9 samples changes sign at a given frequency, despite the field amplitude being held constant. This behavior cannot be explained by any of the previously proposed origins. What is more, the sign of the strain also changes sign (i.e., changes from compression to extension), albeit at a different frequency. We demonstrate that both sign changes can be explained consistently by considering that the electrostrictive M coefficient is a complex number, using an anharmonic oscillator pair model. The sign is imposed by the frequency-dependent phase of the electrostrictive response. We illustrate this with experimental results on La2Mo2O9 ceramics. The tensile-compressive change occurs between 2 and 3 Hz, while the M < 0 to M > 0 change occurs between 9 and 10 Hz. Considering the hystereses in dielectric, elastic, and electrostrictive couplings, we show that only the electrostrictive phase varies significantly. This underscores that the corresponding overall loss changes in an electrostrictor are intrinsically related to the electromechanical coupling, rather than being of dielectric or mechanical origins.
Results
Anharmonic oscillator pair
Electrostriction is a property of all dielectric materials, referring to the mechanical deformation (denoted as δ) that develops proportional to the squared amplitude of the applied electric field. This quadratic (nonlinear) response stems from a force deriving from the anharmonicity of the potential, as the electrostrictive coefficients are third derivatives of the free energy. As a result, the amplitude of the ion shift induced by the external electric field is frequency-dependent, causing relaxation or resonance processes for both dielectric and electromechanical mechanisms. Different dielectric mechanisms (electronic, atomic, dipolar) have their own characteristic frequencies. Generally, as the driving frequency approaches a characteristic frequency, the amplitude of dielectric permittivity or electromechanical response will undergo relaxation or resonance depending on the damping, while the dielectric and electromechanical loss will peak.
To model electrostriction, we consider a pair of anharmonic oscillators between ions of opposite charges and study the deformations induced by the application of an AC electric field. Figure 1 illustrates the case of a one-dimensional crystal lattice. A dipole pair with opposite directions (due to the mirror symmetry) is selected within the dashed boxes, maintaining charge conservation and periodicity. The motion equation of the center of mass of a pair of ions is described as a forced and damped Helmholtz oscillator deriving from an anharmonic potential35:
where m is the equivalent mass, k the spring constant, \({\omega }_{0}=\sqrt{k/m}\) the natural characteristic (intrinsic) frequency, ω the angular frequency of the excitation, c the viscous damping coefficient, and t the time. The plus or minus before qE stems from the scalar product between the electric field (\(E(\omega )=E\sin (\omega \,t)\)) and opposite dipole moments induced by the deformation away from their equilibrium positions of the right (δr(t)) and left (δl(t)) ions, respectively. Therefore, x(t) = δ(t)/r0 = [δr(t) + δl(t)]/r0 corresponds to the strain of the unit cell. The parameter a describes the (cubic) anharmonicity of the single-well potential energy (\(V(\delta )=\frac{1}{2}k{\delta }^{2}+\frac{1}{3}a{\delta }^{3}\)) responsible for electrostriction. The sign of a determines the extensive (a > 0) or compressive (a < 0) tendency of the oscillators (see Supplementary information S1).
Anharmonic oscillator pair of ionic crystals illustrates the electrostrictive effect with a > 0. The dashed box represents the primitive cell of the one-dimensional lattice. δr(t) and δl(t) are the deformations of the right and left dipole moments solved by Eq. (1) with a plus and minus sign, respectively. And δ(t) = δr(t) + δl(t) is the deformation of a unit cell.
This model can be applied to entire samples, provided they are homogeneous, or to specific inhomogeneities such as oxygen vacancies near a given element (often a rare-earth dopant in “giant” electrostrictors). In the latter case, the overall response of the sample will be a volume average of these “active” dipoles and the rest of the sample. It is posited that “giant” electrostrictors are based on such active dipoles, the rest of the sample contributing negligibly to the overall response. This latter assumption is supported in rare-earth ceria by the absence of a “giant” response in pure ceria. Therefore, the model we present is not specific to “giant” electrostrictors but encompasses all electrostrictors.
Figure 2a shows the numerical solutions of δ(t) under sinusoidal excitation (see Supplementary information S2 and S3). In the steady-state region, the deformation of the unit cell δ(t) exhibits a frequency doubling relative to the electric field, while the first-order deformations of δr(t) and δl(t) cancel out due to the mirror symmetry.
a Numerical solutions over the first four periods, showing that δ(t) varies with the damping coefficients. The selection of the values and physical units is presented in Supplementary information S2. The transient response usually lasts less than two periods. b Steady-state response of δ(t) with different damping coefficients after the automatic correction of the origin, leading to the definition of the phase shift (φx) of the electrostrictive response. c The resulting opening direction of the δ-E parabola also changes from downward to upward. The sign of the electrostrictive coefficient is defined as positive when the deformation is maximum at or after the field is maximum, and negative when the strain is minimum. The change occurs when c = 22.
Figure 2a also illustrates the phase shift of the electrostrictive response as a function of the viscous damping coefficient c. To quantify the inherent dissipation of electromechanical energy conversion under a sinusoidal electric field, we define the dielectric (φelec) and electrostriction (φx) frequency-dependent phases from the linear polarization (with \({\chi }^{*}=\chi {e}^{-i{\varphi }_{{{{\rm{elec}}}}}}\) the complex electric susceptibility) and of the quadratic electrostrictive strain (with \({M}^{*}=M{e}^{-i{\varphi }_{{{{\rm{x}}}}}}\)):
where E, P0 and x0 denote the amplitudes of the applied field, polarization, and electrostrictive strain, respectively. The negative sign preceding the phases ensures causality, and φelec and φx take values in [0,π/2) (positive loss tangents) to be physically consistent with energy dissipation. Energy losses are due to factors such as free charge conduction (for φelec) or damping and hopping behavior of oxygen vacancies (for φx).
The expression of measured electrostrictive strain x(t) as a function of the driving electric field frequency is:
The second term ensures that strain is zero at the initial time (t = 0).
Figure 2c illustrates the deformation-electric field (denoted as δ-E) curves with various damping coefficients for a > 0 according to Eq. (4) (see Supplementary information S4 for a < 0). Because strain is the deformation divided by a constant (lattice parameter r0), the patterns of δ-E are equivalent to the patterns of strain-electric field (denoted as x-E). The parabola’s shape changes from concave downward (c = 0.05) to concave upward (c = 22), indicating a sign reversal in the electrostrictive strain response within the material. Note that identical x-E curves can be obtained for various values of a and c (see Fig. S4d in the Supplementary information S4). This suggests that the physical significance of electrostriction may be obscured if only the x-E curves are considered.
The sign of the electrostrictive coefficient has to be redefined to account for all possible electrostrictive responses predicted by the model, rather than simply equating a concave upward x-E parabola (positive strain) with a positive electrostrictive coefficient. The sign of the M coefficient is defined as positive when the maximum of the strain corresponds to the maximum of the electric field. This correspondence holds as long as the maximum strain occurs after the maximum of the electric field and before the next minimum electric field. Inversely, the M coefficient is negative when the maximum of the strain occurs after a minimum of the field and before the next maximum. For example, when c = 12 in Fig. 2c, the first extremum of the strain after a maximum of the electric field is a minimum. Therefore, the electrostrictive coefficient is negative, although the x-E parabola is concave upward. The case when c = 22 represents the critical point where the sign of M changes from negative to positive. At this point, the phase undergoes a discontinuous jump from π/2 to 0. As the damping coefficient increases further, the x-E parabola becomes concave upward with a positive coefficient M.
This decoupling between the sign of the electrostrictive coefficient and the orientation of the x-E parabola derives from the measurement. Indeed, the x-E curves represented in Fig. 2c correspond to the steady state dynamic response, after about one period (see Fig. 2a), with the initial time set by using the exciting electric field as the reference. As can be seen from Fig. 2a, the average strain is always negative, consistent with the sign of a. However, depending on the phase, the steady-state oscillations are either above or below the deformation at the initial time (see Fig. 2b), resulting in the x-E curves presented in Fig. 2c. Note that this definition of the sign is consistent with existing electrostrictors: the strain-time responses of 0.9Pb(Mg1/3Nb2/3)O3-0.1PbTiO3 (PMN-10PT) as a function of different frequencies are analogous to the pattern in Fig. S5 (see Supplementary information S5).
“Giant” electrostrictors
In addition to ceria-based materials, the LAMOX family (i.e., based on the La2Mo2O9 compound) encompasses several “giant” electrostrictors36. Here, we demonstrate experimentally the frequency-dependent sign change of the overall shape of the x-E curves on bulk (ceramics) of pure La2Mo2O9, “giant” electrostrictor.
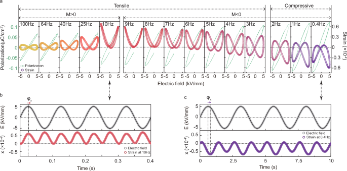
Figure 3a shows the measured strain and polarization curves under an applied field of \({E}_{\max }\) = 5 kV/mm for frequencies between 0.4 and 100 Hz. A drastic change in the electrostrictive strain response is observed in this frequency range, as illustrated by the difference in time evolution of the electrostrictive strain in Fig. 3b (10 Hz, extension) and Fig. 3c (0.4 Hz, compression). The measured x-E curves shown in Fig. 3a can be compared to the calculated ones that are reported in Fig. 2c. The x-E curve measured at 0.4 Hz matches the calculated one for c = 3 and a negative M coefficient. The “∞”-shape x-E curve at 3 Hz aligns with the pattern calculated for c = 6.7, corresponding to the phase φx crossing the π/4 value. The hysteretic upward parabolas in Fig. 3a from 4 Hz to 9 Hz match the pattern c = 12, where the M coefficient remains negative and the phase varies between π/4 and π/2. Finally, the measured non-hysteretic strain curve at 10 Hz aligns with the pattern calculated for c = 22. This case corresponds to the c value (in the model) and the frequency (in the experiments) where the M coefficient changes sign. Above 10 Hz, the experimental x-E curves correspond to the calculated pattern for c = 48. Therefore, the experimental electrostrictive x-E curves demonstrate that the M coefficient can change sign between 9 and 10 Hz.
a Measured strain (x) in La2Mo2O9 ceramic switches from compressive to tensile as the electric field frequency increases (from 0.4 Hz to 100 Hz, a gradient transitioning from purple through red to yellow), whereas the polarization (P, green dashed line) only slightly decreases as frequency increases. The strain evolution corresponds to the evolution of the phase (φx) shown in Fig. 2a and illustrated for extension in panel (b) (10 Hz) and for compression in panel (c) (0.4 Hz). The sign change of the electrostrictive coefficient occurs between 9 and 10 Hz.
Turning to the overall shape of the electrostrictive x-E curves in Fig. 3a, the concave upward shapes above 3 Hz (corresponding to extension) turn into concave downward shapes below 2 Hz. Therefore, there are two distinct critical frequencies at which a sign change occurs, one for the strain (at 3 Hz) and one for the M coefficient (at 10 Hz). Each of these critical frequencies corresponds to a specific value of the electrostrictive phase φx: φx = π/4 when the strain changes sign (at 3 Hz), whereas φx jumps from π/2 to 0 when the M coefficient changes sign (at 10 Hz). These frequencies have been confirmed to be independent of the excitation profile by using triangular and reverse sinusoidal excitations (see Supplementary information S6).
Since electrostriction is an electromechanical coupling, the sign change of the strain and/or the M coefficient could be a consequence of frequency-dependent changes in the dielectric or mechanical properties. Unlike the large variations of φx that are responsible for the frequency-evolution of the electrostrictive properties (Fig. 3), the electric phase φelec (illustrated at 1 Hz in Fig. 4a) remains nearly constant across the investigated frequencies (see Fig. 4b) and the permittivity decreases monotonically. The dielectric properties of the La2Mo2O9 ceramics are therefore not the reason behind the frequency-evolution of the electrostrictive properties.
The dielectric and elastic properties of La2Mo2O9 do not change drastically with frequency. a Polarization is a delayed response of the electric field at 1 Hz. b The relative permittivity \({\varepsilon }_{r}^{{\prime} }\) (gradient colors) and loss tangent (green colors) slightly decrease as frequency increases. c Illustration of the mechanical phase determination and d Dynamic elastic modulus (gradient colors) as a function of the frequency of the mechanical excitation. Over the investigated frequencies, the storage modulus (\({E}^{{\prime} }\)), mechanical loss tangent \(\tan ({\varphi }_{{{{\rm{mec}}}}})\) (orange colors), as well as the dielectric properties show no particular features around 3 and 10 Hz, where the electrostrictive strain and electrostrictive coefficient switch sign, respectively.
Then, the frequency-evolution of the mechanical properties has been investigated by nanoindentation, a well-established technique for examining quasi-static and dynamic elastic moduli. It confirms the anelastic response of La2Mo2O9 ceramics (see Fig. S11). The mechanical phase (φmec) between the strain (x) and the applied mechanical stress (X) is defined from:
where X0 is the amplitude of the applied stress. The mechanical loss tangent is denoted as \(\tan ({\varphi }_{{{{\rm{mec}}}}})\).
The measurement of the dynamic elastic modulus (between 60 and 90 s in Fig. S11) enables us to determine the mechanical phase φmec (shown in Fig. 4c for 1 Hz). The small values of the mechanical loss tangent (0.02 \(\le \tan ({\varphi }_{{{{\rm{mec}}}}})\le\) 0.06, see Fig. 4d) confirm the more elastic than viscoelastic response of La2Mo2O9 ceramics. The mechanical phase does not exhibit any peak or drastic change, neither around 10 Hz (where the M coefficient switches sign) nor around 3 Hz (where the strain changes sign). This underlines the fact that the mechanical properties are not responsible for either of the sign changes.
Therefore, it is the phase change of the electrostrictive response that causes the sign change of the electrostrictive M coefficient. If the experimental electrostrictive phase changes with frequency (as shown in Fig. 5a), the calculated electrostrictive phase change φx varies as a function of the damping parameter c. The evolution of the calculated φx with the damping coefficient c (see Fig. S7b) is analogous to the evolution of the experimental φx with frequency. From the combined evolutions of the experimental φx with frequency and of the calculated φx with c, it is possible to plot the frequency evolution of the damping coefficient. Figure 5b reveals that the damping coefficient evolves linearly with the excitation frequency. Such a linear evolution is consistent, for example, with a velocity-squared damping corresponding to a viscous damping proportional to the driving frequency (see Supplementary information S7). As a consequence, a frequency-dependent damping mechanism leads to a frequency-dependent phase variation. Figure 5 infers that “giant” electrostriction is not strongly dependent on polarization or elasticity. As both dielectric and mechanical properties show a continuous, stable evolution over the investigated frequency range, the variations of the electrostrictive coefficients are intrinsic in the sense that the electrostrictive coupling itself is frequency-dependent, through the frequency dependence of the damping coefficient.
a The sign change of the electrostrictive coefficient corresponds to a sudden change of the electrostrictive phase when it reaches φx = π/2 (from purple shaded region to red shaded region). This change is not correlated to a change of either the dielectric φelec or mechanical φmec phases. The sample remains elastic (mechanical loss angle φmec remains close to 0), whereas the dielectric loss angle φelec decreases slightly as the frequency increases. The electrostrictive phase φx is minimum at 10 Hz, leading to a non-hysteretic electrostrictive response after the sign change of M. On the contrary, the strain switches from extension to compression when the electrostrictive phase reaches π/4 (at 2 Hz, from dark purple shaded region to light purple shaded region). b Viscous damping coefficient c as a function of excitation frequency derived from the measured frequency-dependence of φx (Fig. 5a) and the modeled dependence of φx on the damping coefficient c (Fig. S7b). The linear dependence of the damping coefficient on frequency supports the velocity-squared damping assumption (see Supplementary information S7).
Origin of the amplitude relaxation with frequency
We now turn to the frequency-dependent amplitudes to complement our description of the frequency dependence of the (complex) electrostrictive coefficients.
The amplitude of the electrostrictive coefficient in “giant” electrostrictors has so far been described as a non-ideal Debye relaxation (e.g., in oxygen-deficient ceria10,13 or acceptor-doped barium zirconate (BaZrO3)37): the amplitude of M exhibits a plateau at low frequency before monotonically decreasing with increasing frequency.
The amplitude of LAMOX electrostrictive coefficients is qualitatively different from the non-ideal Debye relaxation, varying little at low frequency before exhibiting a peak (even in absolute values, see the empty symbols in Fig. 6) and then a decrease with increasing frequency. The polarization electrostrictive coefficient, Q, exhibits the same behavior, see Supplementary information S8. From the anharmonic oscillator pair model, the amplitudes of the deformation are determined by three physical factors: the frequency-independent ratio of a/k3 (see Supplementary information S2), the damping coefficient c, and the ratio of the excitation frequency over the natural frequency (λ = ω/ω0). As the excitation frequency increases, the increase in the damping coefficient eventually decreases the strain amplitude (see Fig. S7d). When the excitation frequency approaches the natural frequency, the amplitudes can present a peak or relaxation. However, the numerical solutions of nonlinear oscillator models like the one used above can be unstable between the so-called jump-up and jump-down frequencies, which cannot occur in practice38,39. Analyzing the frequency-amplitude relationship near resonances in a nonlinear system where the damping coefficient changes with frequency is therefore beyond the reach of our model.
The frequency-dependent amplitude of the field-electrostrictive M coefficient exhibits a “peak-type relaxation pattern” over the 0.4 Hz to 100 Hz range (The points are the gradient transitioning from purple through red to yellow). The empty symbols correspond to the absolute value of the electrostrictive coefficient. The frequency-response of the M coefficient was fitted with Eq. (6), and its maximum reaches ∣M∣ = 2.3 × 10−18 m2V−2 with a damping ratio \(\zeta=0.18 < 1/\sqrt{2}\) and α = 0.14. Inset: frequency-response from 1 Hz to 10 Hz.
Nevertheless, the frequency-dependence of the electrostrictive coefficient amplitude can be rationalized by studying the amplitude of the resonance in a linear system. The variation of the amplitude A with the reduced frequency λ is then given by:
where \(\zeta=c/2\sqrt{mk}\) is the damping ratio and α is the non-ideal resonance coefficient determining the width of the amplitude peak (the influence of ζ and α on the amplitude is illustrated in Supplementary information S9). Using Eq. (6), we could fit the frequency evolution of the electrostrictive coefficient. The best fit for M is shown with a dashed line in Fig. 6, where the value of α (α = 0.14) underlines the non-ideality of the damped oscillator and \(\zeta=0.18 < 1/\sqrt{2}\) is consistent with the existence of a peak at the resonance frequency (\({\omega }_{{{{\rm{res}}}}}={\omega }_{0}\sqrt{1-2{\zeta }^{2}}\)). On the contrary, if the damping ratio had exceeded \(1/\sqrt{2}\), the amplitude would have monotonically decreased, similar to the “Debye-type relaxation pattern” observed so far in other “giant” electrostrictors.
Therefore, in “giant” electrostrictors, the frequency-evolution of the amplitude is also imposed by the damping. Since the damping ratio is inversely proportional to the square root of the effective dipole mass (\(\zeta=c/2\sqrt{mk}\)), the dipoles in La2Mo2O9 are heavier than the ones in Gd-doped ceria, positing that the stiffness k between oxygen-vacancies and rare-earth ions is similar in La2Mo2O9 and in ceria-based electrostrictors. Such a conclusion is consistent with the fact that only Nd-, Sm-, Gd-, and Er-doped ceria exhibit a Debye-type relaxation pattern, while the electrostrictive coefficients of heavier Yb- and Lu-doped ceria start increasing after 50 Hz10. With our model, a peak is expected to occur in Yb- and Lu-doped ceria at higher frequencies. Moreover, the much broader frequency response of Zr-doped ceria (from 0.1 Hz to 1 kHz)11 may be related to the low mass of Zirconium.
Discussion
The fact that electrostrictive coefficients are complex numbers has a consequence that is as unfortunate as counterintuitive: the overall shape of the x-E curve cannot be used to determine the sign of the electrostrictive coefficient. Depending on the electrostriction phase, a sample with an electrostrictive coefficient of a given sign may exhibit either a concave-upward or -downward x-E curve under a given AC electric field.
Taking into account both the amplitude and the phase of the electrostrictive coefficients enables us to discard the previous explanations, which were envisioned to explain the sign change of M. The electric field amplitude is not the culprit. Indeed, the hysteretic nature of the electrostrictive phase (φx) results in a non-zero deformation (\({x}_{0}{\sin }^{2}{\varphi }_{{{{\rm{x}}}}}\)) when the alternating field crosses zero. However, this does not mean a constant strain exists under zero field. Indeed, the initial strain value (at t = 0) is, by definition, zero. When either the signal is averaged over many field periods, or because of the experimental setup, the whole x-E curve is artificially shifted downward along the strain axis for the samples with positive electrostrictive coefficients, like Gd-doped ceria thin films, so that the strain at zero field is zero. In this regard, it is incorrect to interpret the negative part of the shifted x-E curve as due to a negative electrostriction coefficient that would become positive under higher fields. As neither the amplitude nor the sign of the electrostrictive coefficient varies with the field amplitude17, a small signal excitation will not induce a negative quadratic strain.
The Maxwell strain is not the culprit either. In La2Mo2O9, the Maxwell strain coefficient in the strong-field region (−0.5ε0εrS) remains about 10−22 m2 V−2 (εr = 18, S = 1.2 × 10−11 m2 N−1), more than three orders of magnitude smaller than electrostrictive coefficients (M = 10−18 m2 V−2). The Maxwell strain is, therefore, negligible compared to the electrostrictive strain for all investigated frequencies and strengths of the field, as both the permittivity and the elastic modulus vary marginally (see Fig. 4). Therefore, the Maxwell strain can be discarded as the origin of the sign change of the electrostrictive coefficient.
Actually, the evolution of the electrostriction phase derives from the frequency dependence of the damping of the induced dipoles giving rise to “giant” electrostriction. Such an evolution leads naturally to a sign change of the electrostrictive coefficient at a critical frequency that differs from the frequency at which the electrostrictive strain switches sign.
To unambiguously determine the sign of electrostrictive coefficients from the induced deformation under large electric fields, it is essential to simultaneously acquire the time evolutions of both the electric field and the displacements. This approach will clarify whether the strain extremum, following the field maximum, is also a maximum (indicating a positive electrostrictive coefficient) or a minimum (indicating a negative electrostrictive coefficient). Then, taking into account the possible contribution from the Maxwell stress, the field dependence of the electrostrictive strain can be plotted. To extract the amplitude of the electrostrictive coefficient, the potential contributions from higher-order terms need to be considered (see ref. 17) and removed if necessary to achieve the expected linear dependence of the electrostrictive (i.e., second-order only) strain on the square of the electric field. When comparing measured electrostrictive coefficient values with those calculated ab initio24, it is important to make sure the so-called “proper” electrostriction coefficients have been calculated40.
To analyze the frequency dependence of the electrostrictive response, it is necessary to measure the frequency-dependent dielectric and mechanical properties in addition to the frequency-dependent displacement. This will help separate the purely dielectric or mechanical contributions from the purely electrostrictive ones.
The sign-change phenomenon reported here offers an explanation for the apparently conflicting reports on the sign of the electrostrictive coefficients. For instance, the electrostrictive coefficient of Gd-doped ceria thin films has been reported to be negative1 or positive4 over the 0.1 Hz to kHz range. Similarly, La2Mo2O9 has been reported to exhibit a negative electrostrictive coefficient at 10 Hz16, the crossover frequency where our samples start to exhibit a positive coefficient. Although these sign changes can be rationalized based on the frequency response of a forced and damped Helmoltz oscillator deriving from an anharmonic potential, “giant” electrostriction appears to be sensitive to other factors. For example, the electrostriction of La2Mo2O9 ceramic in this work decreases above 80 °C (see Supplementary information S10), in contrast to the thermally-enhanced results of ref. 16. Unknown factors, such as the microstructure, may shift the frequency at which the electrostrictive changes sign, even though the underlying physics remains the same.
Our model relies on the parameters of the interatomic potential, thereby expanding the parameter space of interest for use in data-driven discovery of electrostrictors41. To increase the amplitude of the electrostrictive M coefficient over a wide frequency range, a larger anharmonicity, a smaller spring constant, and a smaller damping are required.
A larger natural frequency (more than GHz) guarantees a stable electrostrictive response from mHz to MHz range, requiring a large spring constant, a small mass, and a small damping.
Specifically, in “giant” electrostrictors, doping with lighter ions to reduce the damping coefficient c appears as a general principle. We attribute the wider frequency range of Zr-doped ceria electrostrictive response to the small mass of the isovalent dopant. Therefore, Ti4+-doped ceria should exhibit an electrostrictive response over an even wider frequency range. Conversely, we anticipate the electrostrictive response of ceria doped with heavy trivalent rare-earth elements such as ytterbium or lutetium to exhibit a peak above 100 Hz.
Methods
Sample preparation
LAMOX ceramics were prepared from powders synthesized by solid-state reaction. Initial powders of stoichiometric amounts of elementary oxides (La2O3, MoO3) were ground into ethanol in an agate mortar, to obtain a homogenous mixture of oxides. The thermal treatment was carried out in an alumina crucible, first at 500 °C for 12 h to remove the organic binder and then at 900 °C for sintering 24 h. Pellets were shaped by uniaxial pre-pressing, followed by isostatic pressing at ~3500 bars. The optimized sintering temperature is 900 °C for 2 h. The phase purity of the samples was verified by X-ray diffraction and Raman Spectroscopy from our previous report36.
Electromechanical measurements
Electromechanical measurements were carried out on an AixAcct FerroTester TF2000E. The polarizations were measured using a PUND electric field sinusoidal profile and confirmed by reversing the polarity of the field as well as with a triangular profile. The dielectric permittivity values were extracted from the linear responses of the average slope of polarization under 5 kV/mm. The strains were calculated from the surface deformation measurements and the thickness of the sample and plotted considering the first four harmonics. The phases were extracted from the time evolution of polarization or strain induced by a sinusoidal field signal.
Nano-indentation
Nanoindentation measurements were carried out with a Berkovich indenter from Anton Parr NHT3. The mechanical load pattern is divided into four sections: in the first section, the load increases linearly up to 50 mN in 30 s. Likewise, the unload (fourth) section decreases linearly with the same unloading rate, determining Young’s modulus from the standard Oliver-Pharr42 method. The differences in measured values between “fast” mode (5 mN/s) and “slow” mode (0.15 mN/s) in Pr-, Gd-, Lu-doped ceria43 and Sm-doped ceria44 have been reported to be less than 20%, i.e. within the range of the error bar. The “medium” loading rate of 1.67 mN/s in this experiment is chosen since the loading rate does not strongly affect the measurement of Young’s modulus. The measurements of the dynamic elastic modulus and losses were carried out under a sinusoidal mechanical load of 2.5 mN amplitude from 1 Hz to 40 Hz (see Supplementary information S11).
Reporting summary
Further information on research design is available in the Nature Portfolio Reporting Summary linked to this article.
Data availability
All the data supporting the findings of this study are provided within the article and the Supplementary Information file. Source data are provided with this paper.
References
Korobko, R. et al. Giant electrostriction in Gd-doped ceria. Adv. Mater. 24, 5857–5861 (2012).
Zhang, H. et al. Engineering of electromechanical oxides by symmetry breaking. Adv. Mater. Interfaces 10, 2300083 (2023).
Zhang, H. et al. Atomically engineered interfaces yield extraordinary electrostriction. Nature 609, 695–700 (2022).
Park, D.-S. et al. Induced giant piezoelectricity in centrosymmetric oxides. Science 375, 653–657 (2022).
Yu, J. & Janolin, P.-E. Defining "giant" electrostriction. J. Appl. Phys. 131, 170701 (2022).
Blackwood, G. H. & Ealey, M. A. Electrostrictive behavior in lead magnesium niobate (PMN) actuators. i. Materials perspective. Smart Mater. Struct. 2, 124 (1993).
Li, F., Jin, L., Xu, Z., Wang, D. & Zhang, S. Electrostrictive effect in Pb(Mg1/3Nb2/3)O3-xPbTiO3 crystals. Appl. Phys. Lett. 102, 152910 (2013).
Liu, S.-F., Park, S.-E., Cross, L. E. & Shrout, T. R. Temperature dependence of electrostriction in rhombohedral Pb(Mg1/3Nb2/3)O3-PbTiO3 single crystals. J. Appl. Phys. 92, 461–467 (2002).
Zuo, R. et al. Giant electrostrictive effects of NaNbO3-BaTiO3 lead-free relaxor ferroelectrics. Appl. Phys. Lett. 108, 232904 (2016).
Varenik, M. et al. Trivalent dopant size influences electrostrictive strain in ceria solid solutions. ACS Appl. Mater. interfaces 13, 20269–20276 (2021).
Varenik, M. et al. Lead-free Zr-doped ceria ceramics with low permittivity displaying giant electrostriction. Nat. Commun. 14, 7371 (2023).
Kabir, A. et al. Non-classical electrostriction in calcium-doped cerium oxide ceramics. J. Mater. Chem. A 12, 9173–9183 (2024).
Yavo, N. et al. Relaxation and saturation of electrostriction in 10 mol% Gd-doped ceria ceramics. Acta Mater. 144, 411–418 (2018).
Talanov, M. V., Marakhovsky, M. A., Lakshya, A. K. & Chowdhury, A. Giant electrostriction in textured La2Ce2O7 ceramics: a promising lead-free alternative for electromechanical conversion. Appl. Phys. Lett. 126, 012904 (2025).
Yavo, N. et al. Large nonclassical electrostriction in (Y, Nb)-stabilized δ-Bi2O3. Adv. Funct. Mater. 26, 1138–1142 (2016).
Li, Q. et al. Giant thermally-enhanced electrostriction and polar surface phase in La2Mo2O9 oxygen ion conductors. Phys. Rev. Mater. 2, 041403 (2018).
Yu, J. et al. Origin of the apparent electric-field dependence of electrostrictive coefficients. Advanced Materials Technologies https://doi.org/10.1002/admt.202400066 (2024).
Kabir, A., Lavie, A., Tinti, V. B., Esposito, V. & Kern, F. Non-classical electromechanical behavior in multi-cation stabilized zirconia (Yb0.04Y0.04Gd0.04Nb0.10 − Zr0.78O2−δ) ceramics. J. Eur. Ceramic Soc. 45, 117568 (2025).
Neumayer, S. M. et al. Giant negative electrostriction and dielectric tunability in a van der Waals layered ferroelectric. Phys. Rev. Mater. 3, 024401 (2019).
You, L. et al. Origin of giant negative piezoelectricity in a layered van der Waalsÿferroelectric. Sci. Adv. 5, eaav3780 (2019).
Chen, B. et al. Large electrostrictive response in lead halide perovskites. Nat. Mater. 17, 1020–1026 (2018).
Zhang, Q., Bharti, V. & Zhao, X. Giant electrostriction and relaxor ferroelectric behavior in electron-irradiated poly (vinylidene fluoride-trifluoroethylene) copolymer. Science 280, 2101–2104 (1998).
Li, F., Jin, L., Xu, Z. & Zhang, S. Electrostrictive effect in ferroelectrics: An alternative approach to improve piezoelectricity. Appl. Phys. Rev. 1, 011103 (2014).
Tanner, D. S., Bousquet, E. & Janolin, P.-E. Optimized Methodology for the Calculation of Electrostriction from First-Principles. Small 17, 2103419 (2021).
Weber, H.-J. Temperature dependence of quadratic electrooptic and electrostrictive effects in the paraelectric phase of methylammonium alums. Z. f.ür. Kristallographie-Crystalline Mater. 149, 1–15 (1979).
Cieminski, J. V., Schmidt, G., Magatayev, V., Glushkov, V. & Shwalov, L. Electrostriction and phase transition in masd. Ferroelectr. Lett. Sect. 3, 163–171 (1985).
Hamano, K., Negishi, K., Marutake, M. & Namura, S. Electromechanical properties of NaNO2 single crystals. Jpn. J. Appl. Phys. 2, 83 (1963).
Gesi, K. "Improper” ferroelectric properties of NaNO2 and \({{{{\rm{AgNa}}}}({{{{\rm{NO}}}}}_{2})}_{2}\). Phys. Status Solidi (a) 15, 653–658 (1973).
Meng, Z., Sun, Y. & Cross, L. E. Electrostriction tensor components of alkaline-earth fluoride single crystals. Mater. Lett. 2, 544–546 (1984).
Van Sterkenburg, S. Measurement of the electrostriction coefficients of the alkaline earth fluorides CaF2, SrF2 and BaF2. J. Phys. D: Appl. Phys. 25, 992 (1992).
Mondal, S. et al. Giant electrostriction in bulk RE (III) substituted CeO2: Effect of RE-VO interaction and RE concentration. Scr. Mater. 248, 116129 (2024).
Qiao, B., Wang, X., Tan, S., Zhu, W. & Zhang, Z. Synergistic effects of Maxwell stress and electrostriction in electromechanical properties of poly (vinylidene fluoride)-based ferroelectric polymers. Macromolecules 52, 9000–9011 (2019).
Liu, Y. et al. Electro-thermal actuation in percolative ferroelectric polymer nanocomposites. Nat. Mater. 22, 873–879 (2023).
Palliotto, A. et al. Tailoring dielectric permittivity of epitaxial Gd-doped CeO2−x films by ionic defects. J. Phys.: Energy 6, 025005 (2024).
Almendral, J. A., Seoane, J. & Sanjuán, M. A. Nonlinear dynamics of the Helmholz oscillator. Recent Res. Dev. Sound Vib. 2, 115–150 (2004).
Yu, J. et al. Giant electrostriction enhanced by substitutions in La2Mo2O9 anionic conductors. Adv. Funct. Mater. 2500821 (2025).
Makagon, E., Kraynis, O., Merkle, R., Maier, J. & Lubomirsky, I. Non-classical electrostriction in hydrated acceptor doped BaZrO3: proton trapping and dopant size effect. Adv. Funct. Mater. 31, 2104188 (2021).
Brennan, M., Kovacic, I., Carrella, A. & Waters, T. On the jump-up and jump-down frequencies of the Duffing oscillator. J. Sound Vib. 318, 1250–1261 (2008).
Nayfeh, A. H. & Mook, D. T.Nonlinear Oscillations. (John Wiley & Sons, 2024).
Bennett, D., Tanner, D., Ghosez, P., Janolin, P.-E. & Bousquet, E. Generalized relation between electromechanical responses at fixed voltage and fixed electric field. Phys. Rev. B 106, 174105 (2022).
Trujillo, D. P. et al. Data-driven methods for discovery of next-generation electrostrictive materials. npj Comput. Mater. 8, 251 (2022).
Pharr, G. & Oliver, W. Measurement of thin film mechanical properties using nanoindentation. Mrs Bull. 17, 28–33 (1992).
Korobko, R. et al. The role of point defects in the mechanical behavior of doped ceria probed by nanoindentation. Adv. Funct. Mater. 23, 6076–6081 (2013).
Varenik, M. et al. Oxygen vacancy ordering and viscoelastic mechanical properties of doped ceria ceramics. Scr. Mater. 163, 19–23 (2019).
Acknowledgments
The authors acknowledge the technical support of Nicolas Roubier d’Herembault for the nanoindentation experiments, Samuel Georges, Julie Darabasz and Camille Ordureau for their involvement in the project. This work was financed by the ASTRID grant ANR-19-ASTR-0024-01, the ANR grants ANR-20-CE08-0012-1 and ANR21-LCV2-0003-01.
Author information
Authors and Affiliations
Contributions
J.Y. and P.E.J. conceived the idea, designed the experiments, wrote the initial draft, performed the data analysis and figure preparation. A.Z., K.M., S.C., M.B. and P.L. carried out the sample preparation. J.Y. and O.I. performed electrostrictive measurements and nanoindentation. P.L. and P.E.J. supervised the project. All the authors contributed to the interpretation and discussion of the experimental data and approved the final version of the manuscript.
Corresponding author
Ethics declarations
Competing interests
The authors declare no competing interests.
Peer review
Peer review information
Nature Communications thanks Chris R. Bowen, Junjie Li, and the other anonymous reviewer(s) for their contribution to the peer review of this work. A peer review file is available.
Additional information
Publisher’s note Springer Nature remains neutral with regard to jurisdictional claims in published maps and institutional affiliations.
Source data
Rights and permissions
Open Access This article is licensed under a Creative Commons Attribution-NonCommercial-NoDerivatives 4.0 International License, which permits any non-commercial use, sharing, distribution and reproduction in any medium or format, as long as you give appropriate credit to the original author(s) and the source, provide a link to the Creative Commons licence, and indicate if you modified the licensed material. You do not have permission under this licence to share adapted material derived from this article or parts of it. The images or other third party material in this article are included in the article’s Creative Commons licence, unless indicated otherwise in a credit line to the material. If material is not included in the article’s Creative Commons licence and your intended use is not permitted by statutory regulation or exceeds the permitted use, you will need to obtain permission directly from the copyright holder. To view a copy of this licence, visit http://creativecommons.org/licenses/by-nc-nd/4.0/.
About this article
Cite this article
Yu, J., Zaki, A., Mache, K. et al. Electrostriction: it is just a phase. Nat Commun 16, 11673 (2025). https://doi.org/10.1038/s41467-025-66662-3
Received:
Accepted:
Published:
Version of record:
DOI: https://doi.org/10.1038/s41467-025-66662-3








