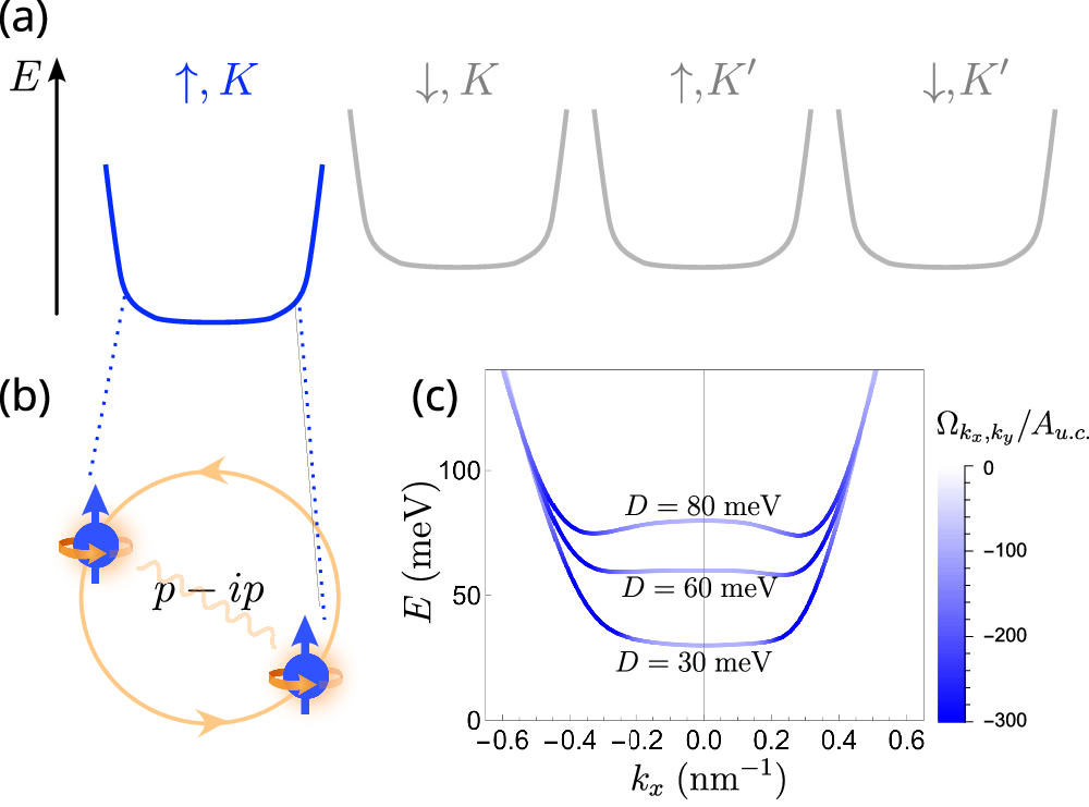
Fig. 1: Isospin-polarized normal state.
From: Chiral and topological superconductivity in isospin polarized multilayer graphene

a Schematic of a chiral superconducting pairing appearing on top of an isospin-polarized quarter-metal state in multilayer graphene. b The chirality of the superconducting state is selected by the orbital magnetic moment of the electrons in the polarized valley. c Dispersion of ABCA graphene around the K valley19,23 for various electric potential differences D between top and bottom layers. The line color indicates the Berry curvature \({\Omega }_{{k}_{x},{k}_{y}}\).