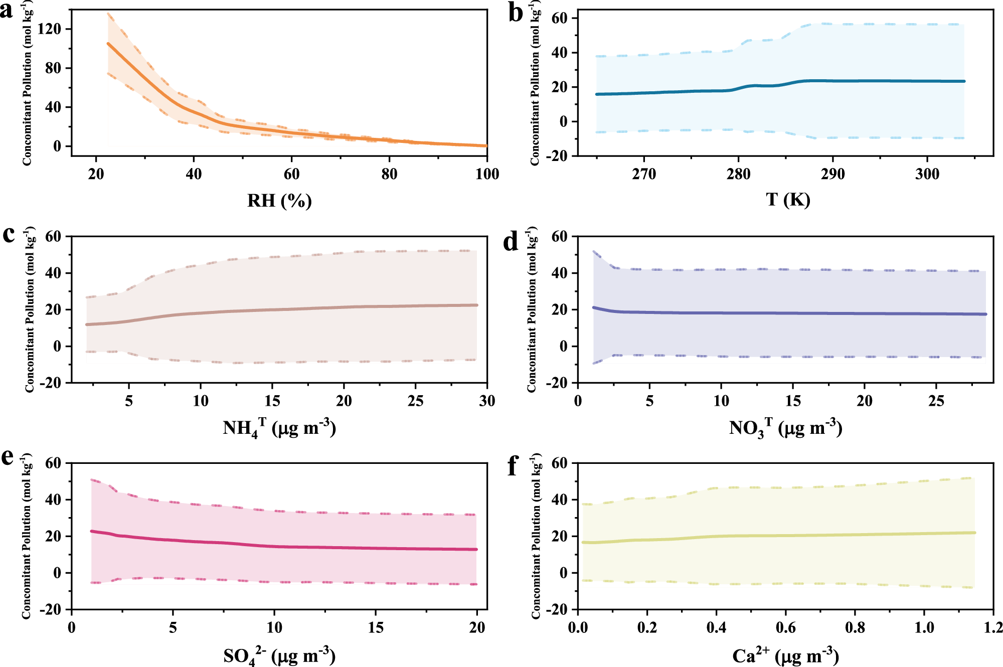
Fig. 3: Analysis of main drivers of concomitant pollution by machine learning.
From: Reactive nitrogen-driven atmospheric multiphase buffering induces unintended concomitant pollution

a Relative humidity (RH), b Temperature (T), c NH4T, d NO3T, e SO42−, and f Ca2+. The solid line represents the mean prediction, and the shaded region indicates ±1 standard deviation of the predictions across all Bootstrap iterations, reflecting model uncertainty due to data variability.