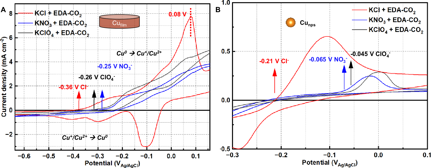
Fig. 2: The CO2 release performance on Cu in H cell.
From: Anion effects govern efficiency of electrochemical amine-mediated CO2 capture/release

CO2 release-cyclic voltammetry for A Cu foil and B Cu nanoparticles in 0.1 M KA (A = Cl⁻, NO3⁻ and ClO4⁻) supporting electrolyte with 0.1 M EDA-CO2 carbamates in H cell. All the CVs were recorded at 5 mV s−1. The average resistance of Cu foil in 0.1 M EDA-CO2 electrolyte containing 0.1 M KCl, KNO3 and KClO4 at 25 °C was 5.4, 5.5 and 5.4 Ω, respectively. For Cu nps, the corresponding values were 6.6, 6.5, and 6.4 Ω. All CV curves were recorded without iR correction. Arrows indicated the onset potentials for Cu oxidation extracted from the voltammograms, and the numerical voltage labels denoted the corresponding onset values (vs. Ag/AgCl) for each supporting electrolyte. The arrow at 0.08 V (vs. Ag/AgCl) showed a distinct oxidation peak uniquely observed in the KCl + EDA–CO2 electrolyte.