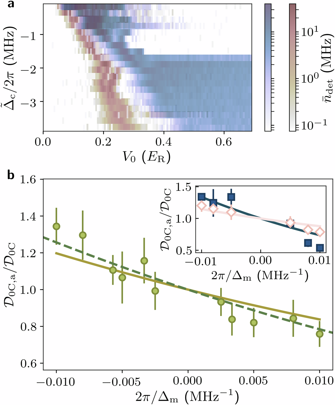
Fig. 3: Critical light-matter coupling strength.
From: Cavity-mediated charge and pair-density waves in a unitary Fermi gas

a Cavity photon count rate as a function of \({\widetilde{\Delta }}_{{{\rm{c}}}}\) and pump strength V0, for Δm/2π = −100 MHz (red) and +100 MHz (blue), showing the onset of superradiance above a critical pump strength. The growing offset between the two phase boundaries between positive and negative Δm is a manifestation of the intertwining of density and contact-density wave order. b Normalized inverse critical coupling strength \({{{\mathcal{D}}}}_{0{{\rm{C}}},a}/{{{\mathcal{D}}}}_{0{{\rm{C}}}}\) as a function of the inverse detuning 2π/Δm at unitarity (open circles). The measurements agree with the predictions of the zero-momentum model (dashed green line) and the mean-field (solid yellow light), including trap averaging, within our error bars. The inset depicts measurements away from unitarity at 1/kFa = 0.22 (blue square) and 1/kFa = −0.16 (pink diamond) and the respective mean-field models (solid blue line, solid pink line).