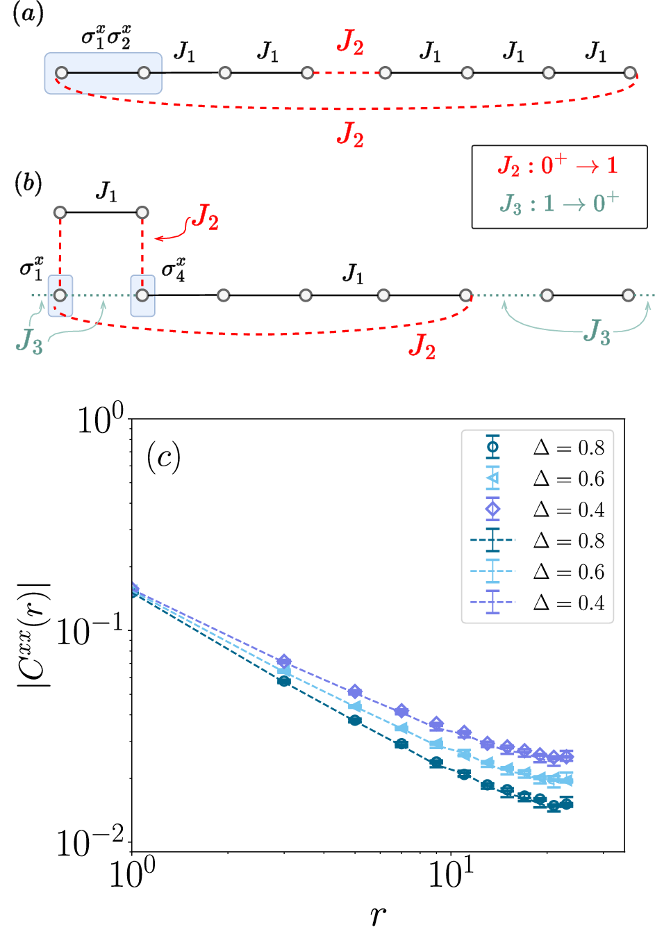
Fig. 3: Spatial coupling parameters Annealing.
From: Addressing general measurements in quantum Monte Carlo

The off-diagonal correlation measurement via lattice reweight-annealing method in the 1D XXZ model with L = 48. a The lattice diagram for annealing along the system size L. We incrementally tune the coupling J2 from 0+ to 1. b The lattice diagram for annealing along the distance r between \({S}_{1}^{x}\) and \({S}_{1+r}^{x}\). We firstly gradually adjust the coupling J2 from 0+ to 1, then we gradually tune the coupling J3 from 1 to 0+. c Two point off-diagonal correlations for system size L = 48 obtained from subplots (a) and (b) annealing method. The dashed lines represent the simulation for annealing Ising coupling Δ with fixed \({S}_{1}^{x}{S}_{1+r}^{x}\). Both the hollow symbols and the dashed line represent QMC results, displayed with error bars denoting the mean value and standard error.