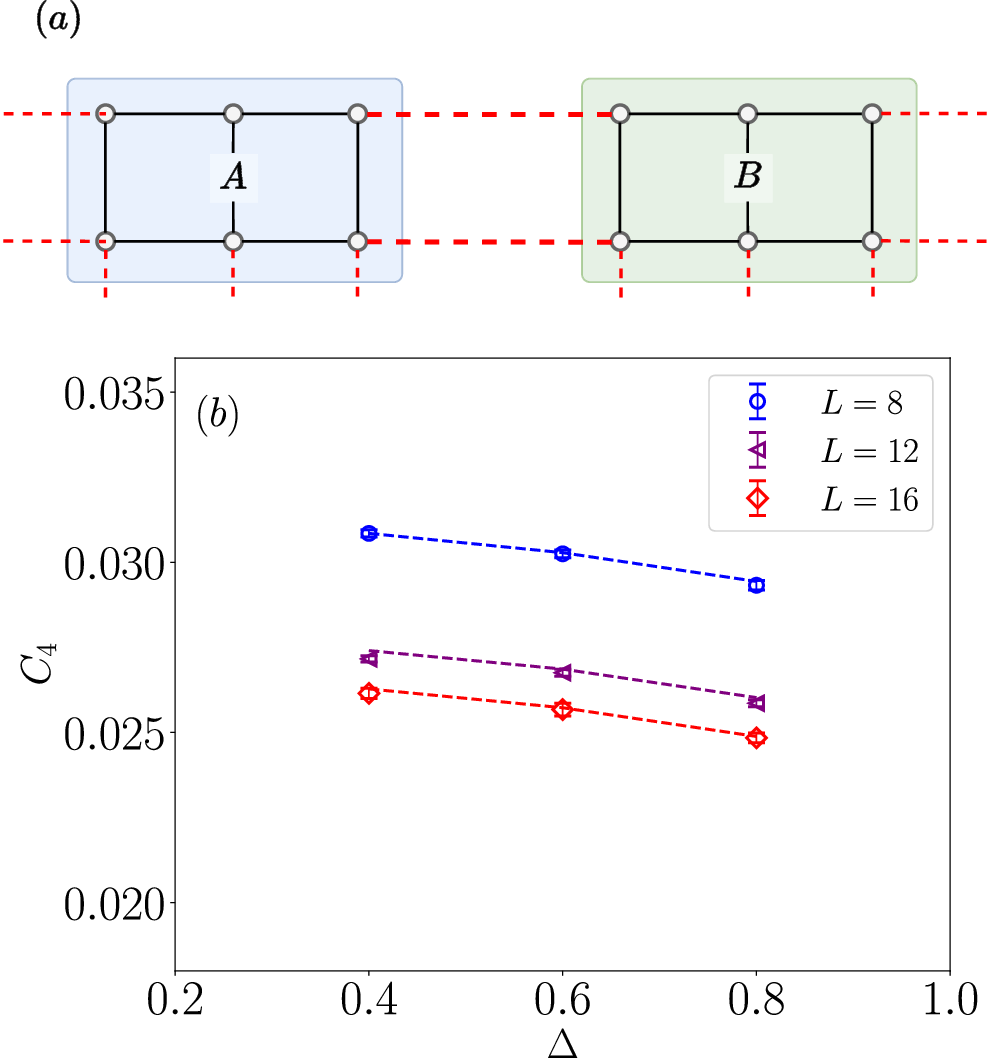
Fig. 4: Separability of multipartite off-diagonal observables.
From: Addressing general measurements in quantum Monte Carlo

a When a large system is decomposed into several parts without coupling, the measured observable can also be separated into the product of independent components. b The off-diagonal correlations obtained via the annealing from two small part A and B. Here \({C}_{4}=\langle {S}_{1}^{x}{S}_{2}^{x}{S}_{L/2+1}^{x}{S}_{L/2+2}^{x}\rangle\). The \({S}_{1}^{x}{S}_{2}^{x}\) is set on the part A, and the \({S}_{L/2+1}^{x}{S}_{L/2+2}^{x}\) is set on the part B (i = L/2 + 1). The colorful dots are QMC results with standard error as error bars. And the dashed lines are the pure ED results.