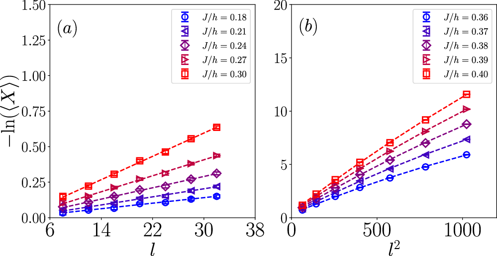
Fig. 5: The disorder operator ăXă measurement in the 2D TFIM.
From: Addressing general measurements in quantum Monte Carlo

Setting L = 16, β = 16 and h = 1. The dashed lines are the fitting curves. a Scaling behaviors of ăXă in the paramagnetic phase. b Scaling behaviors of ăXă in the ferromagnetic phase. Each error bar represents the statistical one-standard-error estimates.