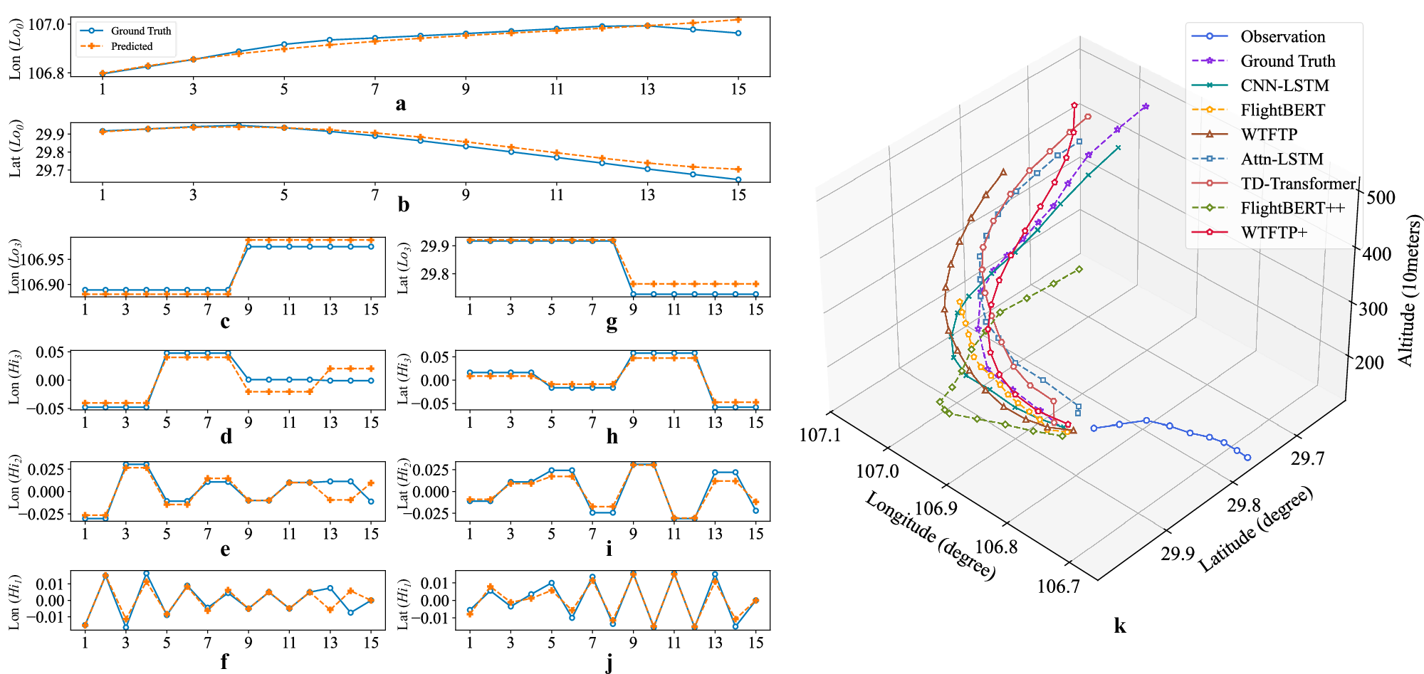
Fig. 4: Multi-scale WTCs of the case study.
From: Multi-horizon flight trajectory prediction enabled by time-frequency wavelet transform

a, b The ground truth and predicted trajectory along the longitude and the latitude, respectively. c–j Trends and details illustrated by multi-scale WTCs in the WTFTP+ framework, which are obtained by the IDWT procedure of the involved WTCs (the involved one is indicated in parentheses of y-axis label. Not involved ones will be replaced by zeros). x-axis represents time steps. k The selected trajectory in the 3D earth space. Since the Kalman filter-based FTP method suffers from significant error accumulations, its results are not displayed for better visualization. Source data are provided as a Source data file.