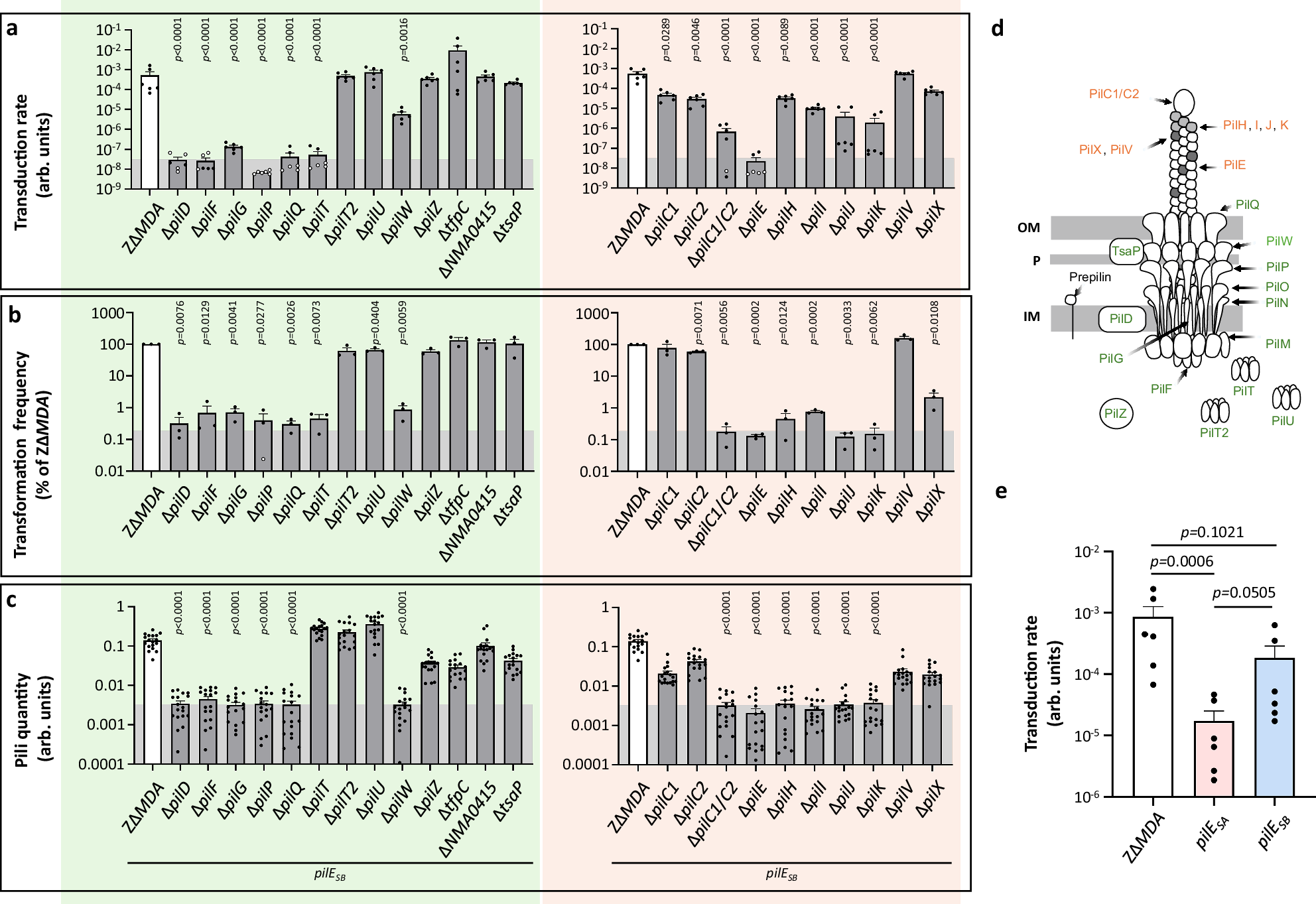
Fig. 1: Involvement of type IV pilus machinery and PilE variants in MDA phage infection.

Phenotypes of transduction (a), transformation (b) and pili quantity (c) for the ZΔMDA reference strain and its derivative mutants in the pilus machinery genes (green) and pilus fibre genes (orange). Transduction results (a) are expressed as transduction rates (arb. units: arbitrary unit), transformation frequency results (b) as percentages of the reference strain ZΔMDA and pili quantity as raw data (arb. units: arbitrary unit). For transformation and transduction experiments, it should be noted that the background should be due to spontaneous appearance of resistant clones. White-centered dots correspond to CFU below the detection limit of respective experiments (see Methods section). The detection threshold is visualized as a shaded grey area, it corresponds to the frequency of spontaneous resistance to spectinomycin. Exact p-values are provided in the Source Data file. Transduction assays were performed three times (n = 3) in duplicate and statistical analyses were performed using a Brown–Forsythe and Welch ANOVA test (two-sided) with Holm–Sidak’s correction for mutants in the pilus machinery genes and using Ordinary one-way ANOVA test with Dunnett’s correction for mutants in the pilus fiber genes. Transformation frequency assays were performed independently three times (n = 3), and statistical analyses were performed using a One-sample t-test (two-sided) comparing the sample mean with a hypothetical mean of 2. All data were expressed as mean ± SEM. Pili quantifications were performed in triplicate (n = 3) and statistical analyses were performed using a Kruskal–Wallis test with Dunn’s correction. Source data are provided as a Source Data file. d Mutated proteins are indicated on the schematic representation of the type IV pilus machinery. e Transduction rate for the ZΔMDA reference strain and derivatives expressing the PilESA or PilESB variants. Transduction assays were performed three times (n = 3) in duplicate and statistical analyses were performed using an Ordinary one-way ANOVA test with Tukey correction, and data were expressed as mean ± SEM. Source data are provided as a Source Data file.