Abstract
Proteolysis targeting chimeric small molecules (PROTACs) offer a strategy for degrading disease-associated proteins or controlling engineered protein tags fused to therapeutic proteins, like chimeric antigen receptors (CARs). New approaches are needed that allow spatiotemporal control of PROTAC activity, restricting degrader activity to targeted cells. Photopharmacology offers a solution by enabling light-mediated spatial control of drug action. Here, we synthesize photocaged and photoswitchable PROTAC molecules and test their regulation of proteins tagged with E. coli dihydrofolate reductase (eDHFR) in tumor and CAR-T cells. Several of the molecules are derived from triazole-linked trimethoprim-PROTACs (TMP-TACtz), that degrade eDHFR fused proteins at picomolar concentrations, show degradation in cells with low cereblon E3 ligase levels, and have little off-target effects. The photocleavable compound, TMP-TAC-PC yields the best light-mediated regulation of CAR T cell cytotoxicity and cytokine secretion. This work introduces photocontrolled, tag-directed degraders for controlling protein expression in tumor cells and CAR T cells.
Similar content being viewed by others
Introduction
Adoptive cell therapies (ACTs) such as chimeric antigen receptor (CAR) T cell therapy are a new pillar in the available repertoire for cancer treatment1,2. The CAR genetically reprograms T cells to specifically target cancer antigens, or in the case of hematologic malignancies, cell lineage markers3,4,5,6. Recently, the FDA has approved several CAR T therapies (Kymriah; tisagenlecleucel and Yescarta; axicabtagene ciloleucel) for treating hematologic malignancies such as relapsed and refractory diffuse large B cell lymphoma7,8,9. While CAR T cells exhibit potent therapeutic efficacy due to their ability to rapidly activate and proliferate, these characteristics also give rise to potentially fatal toxicities such as cytokine release syndrome (CRS), neurotoxicity, and on-target/off-tumor effects (e.g., antigen expression on normal cells). These concerns have limited the broader application of ACTs10,11,12,13. Addressing these challenges is crucial to improve the safety and effectiveness of CAR T cell therapy, especially for the treatment of solid tumors14.
To mitigate the toxicity associated with CAR T cell therapy, various approaches have been explored, including administration of immunosuppressive corticosteroids or IL-6 receptor antibody (e.g., tocilizumab), and the use of “kill switches” such as inducible caspase-9, HSV-tk/ganciclovir, and monoclonal antibodies15,16,17,18. Small molecule-regulated protein domains have been used as switches to downregulate CAR signaling and cellular cytotoxicity19,20,21. In recent years, PROTACs (PROteolysis TArgeting Chimeras) have garnered significant interest given the potential pharmacodynamic advantage of degrading protein targets rather than inhibiting them. PROTACs are a class of heterobifunctional molecules that exploit endogenous E3 ligases to facilitate proteasomal degradation of a protein of interest (POI)22,23,24. We and other groups have used PROTACs as switches to downregulate the activity and strength of CAR T cells, with the goal of limiting their potential for toxicity or providing a tunable switch for controlled CAR expression25,26,27. However, this pharmacological strategy does not allow for spatial control of therapeutic activities of the CAR T cells, which could be particularly useful if the CAR T cell has off-target toxicities. Therefore, new methods are needed for localizing the effects of CAR T therapy to the target area while mitigating toxicity elsewhere. For example, the skin is an organ that could be a site of off-target effects where chemically mediated reduction of toxicity could be used.
Light activatable systems offer a promising approach for achieving precise and temporally regulated activation or suppression of CAR T cells28,29,30,31. LICAR (Light-switchable CARs)32 and LINTAD (light-dependent ON-switch CAR T)33 systems have been developed to control CAR T strength and function by introducing photo-responsive modules into the CAR functional domains to confer light sensitivity. However, the incorporation of genetically encoded photoreceptors into the CAR T cells introduces complexity to the genetic construct and could undermine the therapeutic effectiveness of CAR T cells34. Introducing a small, inert protein tag which is responsive to regulating small molecules into CARs could enhance the safety of immunotherapy by confining its activity to a defined therapeutic range. Here, we present a light-controlled small molecule-based PROTAC approach to modulate the CAR T cell signaling and cytotoxicity that has the potential to control CAR T cell activity in a spatiotemporal manner. The CAR is modified to express eDHFR, a small protein tag, on the C-terminus35. Our recent work on trimethoprim-based PROTACs shows degradation of eDHFR fusion proteins, including CARs on the surface of T cells27,36. Recent findings have demonstrated the effectiveness of employing photopharmacology in PROTACs as a significant advancement in the realm of drug discovery37,38,39,40.
In this study, we develop photocaged (PC) and photoswitchable (PS) TMP-derived bifunctional molecules. To construct photocaged compound (TMP-TAC-PC), we develop several TMP-IMiDs, TMP-TACtzs, tethered via triazole linkages. TMP-TACtzs demonstrate subnanomolar IC50, increased potency in cereblon-low cells, and reduced off-target effects. Photoswitches (TMP-TAC-PS-1-5) are developed by incorporating the azo (-N=N-) moiety at different positions and altering linker lengths in the TMP-IMiD complex. Both photocaged and photoswitchable molecules are tested for their ability to control reporter proteins and CAR function in primary human T and tumor cells expressing eDHFR. This system offers a unique way to modulate the behavior of eDHFR-tagged CARs and has the potential to facilitate spatiotemporal regulation in vivo.
Results
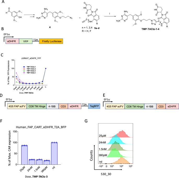
The development of a photocaged compound was initiated with the generation of several TMP-TACtz molecules. Copper-catalyzed azide-alkyne cycloaddition (CuAAC) reaction between TMP-azide 4 and pomalidomide/5-fluoropomalidomide alkynes of different linker length 5a-d afforded compounds TMP-TACtz-1-4 (Fig. 1A; See supporting information for synthetic methods and characterization).
A Synthesis of TMP-TACtz-1-4, (i) CuSO4, sodium ascorbate, 90 °C, 10–15 min; B Diagram of the eDHFR-YFP-T2A-Luciferase construct in which YFP is fused directly to the C-terminus of eDHFR; C Dose-dependent downregulation of YFP signal in Jurkat-eDHFR-YFP cells by TMP-TACtz-1-4 after 24 h incubation as assessed by flow cytometry; D Schematic representation of the anti-fibroblast activation protein (FAP) CAR construct involving directly fusion of the eDHFR protein to the C-terminus of the CD3zeta domain of the FAP CAR. This fusion allows for regulation with TMP-TACtz; T2A-BFP was also inserted downstream as a fluorescent marker; E Schematic representation of the FAP CAR construct without T2A-BFP (pTRPE FAP CAR-eDHFR); F Bar plots demonstrating dose-dependent regulation in primary human FAP CAR-eDHFR DF T cells by TMP-TACtz-3, mean fluorescence intensity (MFI) from the no-drug control was taken as the maximum CAR expression. For each treatment condition, CAR expression was quantified as the ratio of the sample MFI to the no-drug control MFI, expressed as a percentage: (Sample MFI / No-drug MFI) × 100, (n = 3), Error bars plotted mean with SD. G Regulation of surface CAR expression in primary human FAP CAR-eDHFR T cells by TMP-TACtz-3.
To assess the potential of TMP-TACtz-1-4 to degrade eDHFR fusion proteins, the eDHFR and yellow fluorescent protein (YFP) fusion protein was expressed in Jurkat (acute T cell leukemia), RS4:11 (lymphoblast) and HEK 293 T (human embryonic kidney) cells as Jurkat-eDHFR-YFP, RS4;11-eDHFR-YFP and HEK-eDHFR-YFP, respectively, with a C-terminal T2A-luciferase (Fig. 1B). The transduced cells were sorted based on YFP expression. Compounds TMP-TACtz-1-4 were tested for their ability to regulate the expression of the fusion eDHFR-YFP in Jurkat and HEK cells. Jurkat cells were incubated with different concentrations of TACtz-1-4 (25 µM-380 pM) for 24 h and showed robust downregulation of eDHFR-YFP expression regardless of the linker length. Even at picomolar concentration (380 pM), TMP-TACtz shows 80–90% degradation of the eDHFR-YFP protein. However, at higher concentrations (25 µM), a reduced degradation effect was observed due to the “hook effect,”41,42,43 a common feature of bifunctional molecules (Fig. 1C). Consistent with findings in Jurkat cells, robust degradation of eDHFR-YFP was observed in HEK cells at sub-nanomolar to nanomolar concentrations of TMP-TACtz-4 following 24 h (Fig. S1A). Given the results in Jurkat and HEK cells, TMP-TACtz were also investigated in cells with low cereblon expression44. HCT116-eDHFR-Luc cells were treated with TMP-TACtz-3. Post-incubation, luminescence measurements showed strong downregulation of eDHFR-Luc at nanomolar concentrations (Fig. S1B, C).
TMP-TACtzs also were evaluated for off-target effects associated with PROTACs, especially those associated with drugs like pomalidomide45,46,47. HEK cells were incubated with TACtz-4 for 24 h to examine the degradation of GSPT146, a transcription factor sensitive to immunomodulatory imide drugs. Western blot data demonstrated that GSPT1 expression remains unaltered at optimized doses of TMP-TACtz-4 (97 nM–380 pm) for degrading eDHFR-YFP (Fig. S1A).
Evaluation of TMP-TACtz in primary human FAP CAR-eDHFR T cells
To evaluate the potential of TMP-TACtz-3 for CAR regulation, primary human T cells were transduced to express FAP CAR-eDHFR with eDHFR directly fused to the C-terminus of the FAP CAR protein (Fig. 1D, E). This allows for the downregulation of CAR with TMP-TACtz. The FAP CAR-eDHFR T cells were incubated with different concentrations of TMP-TACtz-3 (25 µM–380 pM). After 24 h, the cells were washed and stained with Alexa Fluor® 488 AffiniPure F(ab’2) fragment goat anti-mouse IgG, and degradation of surface CAR expression was analyzed through flow cytometry. CAR expression was reduced to ~20% in cells treated at picomolar concentrations (380 pM). The characteristic “hook effect” again was observed at higher concentration (25 µM) of TMP-TACtz-3 (Fig. 1F, G).
To confirm that the reduction in surface CAR expression was not due to drug toxicity, a cell viability assay was performed with different concentrations of TMP-TACtz-3 for 24 h. The results demonstrate that the treated cells have same viability as vehicle-treated cells at the optimal nanomolar doses of TMP-TACtz-3 for degrading the CAR. This suggests that the observed reduction of CAR expression was caused by proteasomal degradation as seen previously (Fig. S2A)27.
Design, synthesis, and photophysical studies of photocaged compound TMP-TAC-PC
TMP-TAC-PC was generated by introducing the photolabile nitroveratryl carbamate (NVOC) group to the smallest TMP-TACtz-1. The 2,4-diaminopyrimidine moiety is critical for trimethoprim’s specificity and affinity towards eDHFR48,49. We introduced the photolabile group NVOC to 2,4-diaminopyrimidine ring to inhibit binding to eDHFR. The resulting photolabile molecule 4’ was then subjected to a CuAAC-click reaction with alkyne pomalidomide 5a, leading to the formation of photolabile, NVOC-caged TMP-TAC-PC (Fig. 2A). The photophysical study of TMP-TAC-PC shows photolysis upon irradiation with ultraviolet irradiation (375-405 nm) as assessed by UV-Vis spectroscopy in a time-dependent manner (Fig. 2B–D).
A Synthesis of photocaged compound TMP-TAC-PC, (i) Et3N, DCM, 0 °C-RT, 30 min–3 h, (ii) CuSO4, sodium ascorbate, 90 °C, 10–15 min; B Schematic of uncaging in the presence of UV A light (375–405 nm); C UV-vis spectra of TMP-TAC-PC following irradiation with 375 nm light for 180 min; D Uncaging of TMP-TAC-PC after irradiation with 375 nm light; E Flow cytometry plots showing light mediated dose-dependent downregulation in Jurkat-eDHFR-YFP cells by photocaged compound TMP-TAC-PC subjected to 390 nm (100 ms pulses every 10 s) irradiation or dark conditions. The degradation of eDHFR-YFP was evaluated by analyzing YFP fluorescence through flow cytometry; F The “hook effect” observed in Jurkat-eDHFR-YFP cells at micromolar concentrations of TMP-TAC-PC in both irradiated and dark conditions; G Mean CAR expression in primary human FAP CAR-eDHFR T cells incubated with different concentrations of photocaged compound TMP-TAC-PC under dark and optimized irradiation conditions as assessed by flow cytometry. Experiments were performed in technical replicates (n = 3). Error bars show mean with SD. Unpaired two-tailed t-test was performed (****, p < 0.0001); H Flow cytometry histograms demonstrating the “hook effect.” Primary human FAP CAR-eDHFR T cells were incubated with TMP-TAC-PC (1.6 µM–380 pM); at higher concentration, less reduction in surface CAR expression was observed both in irradiated and dark conditions.
Photo-tuned regulation of tumor and primary human CAR T cells by TMP-TAC-PC
To assess the potential of photolabile compound TMP-TAC-PC to induce light-mediated downregulation of eDHFR, Jurkat-eDHFR-YFP cells were exposed to different concentrations (25 µM–380 pM) of TMP-TAC-PC and subjected to a pulse irradiation of 390 nm light (100 ms every 10 s) or dark conditions. Cells exposed to irradiation at 97 and 24 nM concentrations of TMP-TAC-PC exhibited a 5–8-fold reduction in eDHFR-YFP abundance compared to the cells kept continuously in the dark (Figs. 2E, F and S2B). At micromolar concentrations, a “hook effect” was observed under both irradiated and dark conditions (Fig. 2F). To further validate the light-dependent regulation by the photocaged switch and its generalizability, RS4;11-eDHFR-YFP cells were incubated at nanomolar concentrations of TMP-TAC-PC under similar irradiation conditions. Consistent with Jurkat cells, robust degradation of eDHFR-YFP was observed in irradiated cells compared to those in the dark (Fig. S3A).
CAR regulation
Photo-tuned regulation of CAR expression was investigated in primary human FAP CAR-eDHFR T cells. The cells were incubated with variable concentrations of TMP-TAC-PC (25 µM–380 pM) with irradiation or in the dark. Robust light-mediated regulation of surface CAR expression was observed. The irradiated cells treated with nanomolar concentrations of TMP-TAC-PC show strong downregulation of CAR protein relative to cells in dark (Figs. 2G and S4A). The flow plots demonstrate light- and dose-dependent regulation of CAR T cells as well as the “hook effect” (Figs. 2H and S4B). Light-controlled downregulation of Jurkat FAP CAR-eDHFR T cells was also evaluated at the nanomolar range. The results demonstrate a significant decrease in CAR expression in irradiated cells (Fig. S3B, C). In a control experiment, cells incubated with vehicle and 97 nM of pomalidomide under irradiation conditions showed no reduction in CAR expression (Fig. S3D).
To ascertain that the decrease in CAR expression was not the result of irradiation or drug toxicity by TMP-TAC-PC, a cell viability assay was performed. Primary human CAR-eDHFR T cells were exposed to nanomolar concentrations of the photocaged ligand TMP-TAC-PC and subjected to 390 nm pulsed irradiation. Vehicle and dark conditions were used as controls and demonstrate no cell death caused from either irradiation or drug toxicity (Fig. S4C).
Synthesis of azobenzene photoswitches and their photophysical studies
We designed photoswitchable (PS) bifunctional ligands by incorporating the azo (-N=N-) group in the TMP-IMiD bifunctional molecules. Azobenzenes are small switches that provide large structural changes upon isomerization with UVA and visible light50,51,52,53. Considering the importance of switch placement and its impact on biological activity, azo groups were incorporated closer or more distant to the IMiD group. The synthesis of IMiD-proximal switches involved the generation of TMP-PEG-amines 11a-c from TMP-butanoic acid 9 (See SI, Fig. S7). Subsequently, lenalidomide was diazotized and reacted with 2,6-dimethoxyphenol to yield the azo switch 12. Finally, TMP-PEG-amines 11a-c and lenalidomide switch 12 underwent amide coupling to generate IMiD-proximal photoswitches TMP-TAC-PS-1-3 (Fig. 3A and SI). The synthesis of IMiD-distant switches involves the generation of azo-photoswitch 15 (Fig. S7). Pomalidomide was PEGylated to afford PEG-amines 16a-b. Finally, PyAOP-mediated amide coupling between 15 and 16a-b afforded switches TMP-TAC-PS-4,5 (Fig. 3A).
A Chemical synthesis of IMiD-proximal (TMP-TAC-PS-1-3) and IMiD-distant (TMP-TAC-PS-4,5) photoswitches; (i, ii) PyAOP, DIPEA, DMF, 30 min, RT; B Isomerization of trans-TMP-TAC-PS-2 to cis-TMP-TAC-PS-2; C UV-vis spectra of TMP-TAC-PS-2 (50 µM) after exposure to various wavelengths for 5 min at room temperature; D Thermal relaxation of TMP-TAC-PS-2(50 µM) at 37 °C in DMSO; E 1H NMR spectra of TMP-TAC-PS-2 in the dark and under 390 and 525 nm light, showing reversibility of the switch; F Jurkat-eDHFR-YFP cells were incubated with IMiD-proximal switch TMP-TAC-PS-2 for 24 h with 390 nm pulses (100 ms every 10 s) or in the dark; G Primary human FAP CAR-eDHFR T cells were incubated with TMP-TAC-PS-2 for 24 h with 390 nm pulses (100 ms every 10 s) or in the dark. Experiments were performed in technical replicates (n = 3). Error bars show mean with SD. Unpaired two-tailed t-test was performed **, p = 0.0019.
Photoswitching experiments
The photoswitches show conformational change to the cis isomer upon irradiation with 390 nm light, although comparable photostationary states (PSSs) can be achieved within the range of 380–400 nm. Trans-TMP-TAC-PS-2 (50 µM in DMSO) irradiated at 390 nm achieves a PSS exceeding 90% in the cis configuration of TMP-TAC-PS-2. Swift conversion from cis to trans isomerization can be accomplished by exposing TMP-TAC-PS-2 to 525 nm wavelength, resulting in a PSS of approximately over 90% in the trans state. In the dark, the cis–TMP-TAC-PS-2 compound gradually reverts to its trans form, in ~8 h at 37 °C in dimethyl sulfoxide (DMSO).1H NMR spectra show different PSSs of photoswitch TMP-TAC-PS-2 at 390 nm (>90% cis) and 525 nm (>90% trans) (Fig. 3B–E). Similarly, photophysical, thermal relaxation and PSS were studied for photoswitches TMP-TAC-PS-1, 3-5 (Fig. S5A–L).
Evaluation of photoswitches in eDHFR-expressing cells
To assess the potential of photoswitches in vitro, Jurkat-eDHFR-YFP cells were incubated with different concentrations of TMP-TAC-PS-2 (0.39 µM to 6 nM) and subjected to 375 nm light pulses (100 ms every 10 s) or dark for different time periods. The results demonstrated that after 6 h incubation, cells exposed to higher concentrations (0.39 µM and 97 nM) under irradiation conditions exhibited approximately ~1.6-fold degradation of the eDHFR-YFP fusion protein compared to cells incubated continuously in the dark. However, at a lower concentration (6 nM) no light-controlled degradation was observed (Fig. S6A).
Optical regulation of the eDHFR-YFP fusion protein became more evident at 24 nM and 6 nM after 12 h incubation. Irradiated cells showed ~1.5–2 fold more degradation relative to cells in dark. No additional changes in degradation were observed at 0.39 µM and 97 nM (Fig. S6B). Similar results were obtained at 24-h incubation period, where the distinction in degradation became more prominent at 6 nM in irradiated cells (Fig. S6C). Irradiation with 390 nm light provided a similar effect (Fig. 3F).
Other analogous IMiD-proximal photoswitches TMP-TAC-PS-1 and TMP-TAC-PS-3, with linkers both shorter and longer than TMP-TAC-PS-2, respectively, were evaluated in Jurkat cells for 24 h using a 390 nm wavelength. Consistent with TMP-TAC-PS-2, TMP-TAC-PS-1 shows ~2 fold more degradation in irradiated cells at nanomolar concentrations (Fig. S6E). However, the longer photoswitch TMP-TAC-PS-3 demonstrated significantly lower potency in comparison to IMiD switches TMP-TAC-PS-1 and TMP-TAC-PS-2 across all concentrations (Fig. S6F).
Next, IMiD-distant and more TMP-proximal switches were examined for photo-tuned downregulation of the eDHFR fusion protein. Jurkat-eDHFR-YFP cells were incubated with TMP-TAC-PS-4, 5 and exposed to 390 nm irradiation or dark for 24 h. Interestingly, only slight regulation was observed with IMiD-distant switches. We observed less light-dependent regulation if azo group is positioned far from the IMiD; TMP-TAC-PS-4, shows slight regulation at 6 nM, however, no light-dependent degradation was observed with TMP-TAC-PS-5, where the azo group is incorporated further away from pomalidomide (Fig. S6G, H).
Consequently, IMiD-proximal switch TMP-TAC-PS-2 was examined for photocontrolled regulation in primary human FAP CAR-eDHFR T cells. The results indicated a similar trend compared to Jurkats, with noticeable degradation (~2 fold) of CAR-eDHFR at nanomolar concentrations observed in irradiated cells relative to cells in dark. This demonstrates a subtle, light-responsive control of CAR protein expression by TMP-TAC-PS-2 (Fig. 3G).
Cell viability assays were performed to eliminate the possibilities of drug and light toxicity. Primary human FAP CAR-eDHFR T cells were treated with different concentrations of TMP-TAC-PS-2 for 24 h and exposed to 390 nm light pulses; vehicle and dark conditions were used as control. The results confirmed that the decrease in CAR expression was primarily due to the light-controlled regulation achieved using photoswitch TMP-TAC-PS-2 (Fig. S6D).
Cytotoxicity reduction
A defining trait of CAR T cells is their cytotoxicity toward target cancer cells54. Among the synthesized compounds, photocaged TMP-TAC-PC demonstrated the best light-controlled regulation of CAR T cells. Consequently, we tested the potential of photocaged TMP-TAC-PC to induce photocontrolled effector function in primary human FAP CAR-eDHFR T cells against tumor cells. I45 human mesothelioma cells were modified to express human FAP, resulting in I45 huFAP cells, which were further transduced with a lentivirus carrying the firefly luciferase-T2A-tagBFP transgene, generating I45 huFAP-Luc cells. Primary human FAP-CAR-eDHFR cells were incubated with nanomolar concentrations of photocaged switch TMP-TAC-PC under irradiated and dark conditions. Following a 24-h incubation period, these cells were co-cultured with I45 huFAP-Luc target cells at a 10:1 effector:target (E:T) ratio for an additional 24 h under dark conditions. For the positive control, I45 cells expressing huFAP were co-cultured with untreated FAP CAR T cells. The cytotoxicity assay showed that FAP CAR-eDHFR T cells induce less killing of I45 huFAP-Luc target cells under irradiation in comparison to cells in dark conditions. Maximum killing of huFAP-Luc cells was observed with the untreated FAP CAR T cells (Fig. 4B, C). The light-controlled suppression of CAR T cell signaling and effector function is further illustrated by ELISA measurements which show IFN-γ secretion exhibiting the same trend as the cytotoxicity assay (Fig. 4D). This highlights light-controlled cytotoxic functioning and signaling of FAP CAR-eDHFR cells by photocaged TMP-TAC-PC.
A Schematic of cytotoxicity assay, created in Adobe Illustrator software; B Primary human FAP CAR-eDHFR T cells were pre-incubated with TMP-TAC-PC overnight, both in the dark and with irradiation. These pre-treated cells added to I45 huFAP-Luc target cells at a 10:1 ratio. After an overnight co-incubation, luminescence measurements were taken using a plate reader to evaluate the viability of the target cells. Experiments were performed in technical replicates (n = 3), unsorted (~80% CAR⁺). Error bars show mean with SD. Unpaired two-tailed t-test was performed *p = 0.0157 for 97 nM, *p = 0.0195 for 24 nM; C Primary human FAP CAR-eDHFR T cells pre-incubated with TMP-TAC-PC overnight at 24 nM were co-incubated with target I45 huFAP-Luc cells at a 10:1 ratio; 24 h post-incubation, luminescence was measured. Experiments were performed in technical replicates (n = 3), sorted CAR. Error bars show mean with SD. Unpaired two-tailed t-test was performed **p = 0.0023; D The level of IFNγ in supernatants was measured by ELISA (n = 4), confirming light-dependent inhibition of CAR signaling by TMP-TAC-PC. Error bars show mean ± SD. Unpaired two-tailed t-test was performed **p = 0.0012. Also, 4B and 4C were performed with different donors.
To rule out killing of I45 huFAP-Luc cells by TMP-TAC-PC or irradiation, a cell viability assay was again performed. I45-FAP-Luc cells were treated with TMP-TAC-PC and subjected with 390 nm light pulse or dark conditions for 24 h. Luminescence demonstrates that neither the drug TMP-TAC-PC nor the light exposure played a role in the killing of huFAP-Luc cells (Fig. S4D), confirming that changes in the cytotoxicity of CAR T cells is due to the activity of TMP-TAC-PC.
To evaluate the generalizability of the light-controlled regulation of CAR T cells by TMP-TAC-PC, we generated CD19-targeted CAR-T cells with eDHFR directly fused to the C-terminus (Fig. S38). CD19 CAR-eDHFR T cells were incubated with 6 nM of TMP-TAC-PC subjected to similar irradiation conditions. After 24 h, the cells were washed and stained with anti-FMC63-PE antibody. The flow cytometry data show decreases CAR surface staining by ~30% as compared to cells in dark (Fig. S38).
Next the effect of light on CD19 CAR-eDHFR T cell function was assessed. CD19 CAR-eDHFR-T cells were treated with 6 nM of TMP-TAC-PC under similar irradiated and dark conditions. After 24 h, the treated CAR-T cells were co-cultured with CD19+ Raji target cells expressing click beetle green luciferase (CBG) at varying effector-to-target (E:T) ratios. The luminescence measurement shows that cells exposed to light showed decreased cytotoxic activity compared to cells in the dark. This confirms that TMP-TAC-PC enables precise light-dependent control of CAR-T cell cytotoxicity (Fig. S39).
To gain additional insights into functional activity, a cytokine secretion assay was performed to measure TNF-α levels. Treated CD19 CAR eDHFR-T cells were co-cultured with CD19 + I45 target cells. The results showed higher TNF-α secretion in the dark condition compared to the irradiated cells (Fig. S39). Both cytotoxicity and TNF-α secretion were suppressed under light irradiation, demonstrating the potential of this photoresponsive system for precise spatiotemporal control of CAR-T cell activity.
Discussion
PROTAC-mediated degradation holds substantial promise as a therapeutic modality to induce degradation of proteins of interest, especially therapeutic proteins55,56. Using degradable protein tags provides an effective strategy to modulate the levels of genetically fused proteins57. Heterofunctional degraders for FKBPF36V (dTAGs)58 and HaloTag (HaloPROTACs)59, are well-established for modulating tag-fused substrate proteins. In recent years, new tag/degrader pairs were introduced including eDHFR/TMP-TACs36 and NanoLuc/NanoTAC60,61,62. These tags have yet to be deeply explored for their ability to be light-controlled toward therapeutic proteins such as CARs. Spatial and temporal regulation of protein abundance and function that is light-mediated is an emerging area that has both basic science applications and therapeutic potential. Here, we have developed two different approaches to photo-sensitive tag-targeted bifunctional degraders to regulate fusion protein expression in a spatiotemporal manner and applied this approach for the photocontrolled regulation of CAR T cells. We have optimized the regulation of eDHFR fused fluorescent proteins in different tumor cells (Jurkats and cereblon-low HCT116) and CAR proteins in primary human T cells using newly developed triazole-tethered TMP-IMiD complexes, TMP-TACtzs.
TMP-TACtzs appear to have improved potency and reduced off target effects compared to the PEGylated analogues36. The IC50 of TMP-TACtz is remarkably low, below 380 pM (Fig. 1C). We suggest that this may be related to increased ability of small molecule to cross the cellular membrane, and other groups have observed that aliphatic linkers may improve PROTAC potency in cells and in animals.
For photocontrolled regulation of eDHFR fused proteins we developed two types of switches: photocaged and azobenzene-switches. Photocaged TMP-TAC-PC was obtained from the smallest TMP-TACtz-1, aiming to minimize molecular weight upon addition of a photolabile NVOC group to potentially maintain the parent molecule’s pharmacokinetic and pharmacodynamic characteristics41,42,43. NVOC was added on the trimethoprim moiety, exploiting TMP’s significantly higher affinity for eDHFR relative to IMiD affinity for CRBN36,63,64,65. In vitro studies demonstrated light-controlled regulation of eDHFR fusion proteins including CAR proteins in primary human FAP CAR-eDHFR T cells by TMP-TAC-PC. We observe 3- to 8-fold more degradation in cells irradiated with 390 nm light (100 ms every 10 s) relative to cells continuously kept in the dark.
Recently, Mashita et al. have explored azobenzene photoswitches targeting eDHFR for the chemically inducible dimerization using methotrexate as the inhibitor66. Methotrexate binds to human DHFR and does not have the same orthogonal nature compared to TMP for controlling eDHFR-tagged fusion proteins in cells and animals. We have tested TMP-azo-IMiDs to regulate the protein degradation by strategically placing the azobenzene group proximal and far from the IMiD moiety to evaluate the effect of switch positioning on the biological activity of the molecule52. Different linker lengths were also evaluated given the important role of linker length in PROTAC design67,68,69 (Fig. 3A, B). The photophysical investigations demonstrate that all azo-switches show effective photoswitchability between trans and cis or vice versa via light/dark stimuli (Fig. 3C–E and S6). The in vitro evaluation of photoswitches demonstrate that IMiD-proximal switches exhibit light-controlled regulation of eDHFR fused proteins. TMP-TAC-PS-2, on exposure to 375 nm/390 nm light pulses (100 ms every 10 s), generated a ~1.6–2 fold reduction in eDHFR abundance in Jurkat and primary human FAP CAR T cells relative to cells in the dark at nanomolar concentrations after 24 h (Fig. 3F, G). However, the switches with the azo group more distant from the IMiD demonstrates no light regulation across all concentrations. While the precise role of photoisomerization in modulating E3 ligase recruitment and ternary complex formation is still debated, our findings suggest the cis/trans conformational changes of the IMiD-proximal switches impact the ability of IMiDs to engage with CRBN. This is in contrast to the TMP-proximal cis/trans switches, which exhibit no light-dependent activity changes at this linker length from the trimethoxy-benzene ring of TMP.
Compared to azobenzeneswitches, the photocaged compound appeared more robust in its ability to regulate protein levels using light. This presumably reflects the intrinsic differences in their photoactivation. Specifically, azobenzene photoswitching is governed by photostationary equilibriums and often exhibit partial isomer-enrichment, as observed in the TMP-TAC-PS series. In parallel, the large photolabile group of the photocaged compound prevents premature binding to eDHFR before photolysis.
We used TMP-TAC-PC in a CAR T in vitro cytotoxicity model. We were able to selectively show differential immune signaling and cytotoxic effects of CAR T cells against antigen bearing I45 cells based on the uncaging of TMP-TAC-PC with 390 nm light (Fig. 4). Despite variation in FAP-CAR expression, the extent of light-dependent regulation remained broadly similar (Fig. 4B, C). This system also enabled light-controlled regulation of CD19 CAR-eDHFR T cells (Figs. S38 and 39), and further optimization of parameters such as E:T ratio, incubation time, CAR expression level, irradiation conditions, and degrader dose is expected to enhance light-controlled regulation. While the overall levels of cytotoxic change and IFN signaling were modest, the concept of using photopharmacology to selective detoxify therapeutics in light accessible tissues is a compelling future avenue for chemical and biologic investigations. Clear applications would include toxicities of a genetically encoded medicine in the skin, where exposure to surface light could be used. From a chemical perspective, photocaged molecules responsive to red-shifted light and fast-switching photoswitches could be developed to improve the translational potential of this approach.
Methods
All experiments followed institutional ethical guidelines, and recombinant DNA work carried out under Institutional Biosafety (IBC) approval.
Cell lines and chemical characterization
Cell lines and key biological reagents used are listed in Table S1 in the Supplementary information.
The chemical characterization data of all compounds were provided in the SI (Figs. S8–S37).
Preparation of stock solutions: Stock solutions of TMP-TACtz-1-4, photocaged switch TMP-TAC-PC and reversible switches TMP-TAC-PS-1-5 were prepared in 100% DMSO to a final concentration of 10 mM. For in vitro studies, the concentration of DMSO in culture was maintained at <1%. Serial dilution was performed using DMEM/RPMI 1640 without phenol red.
LED illumination
Experiments were performed under dark conditions or with minimal exposure to light unless otherwise stated. The Disco system was used to illuminate cells, as previously described in the literature70. Light emitting diodes (LEDs) were purchased from Roithner Lasertechnik.
Photophysical characterization
Standard curve
UV-Vis spectra of caged and non-caged compound in DMSO, mixed at different ratios, were recorded. The resulting absorptions at 350 nm were used to draw a standard ladder.
Uncaging kinetics
A 50 µM solution of the caged compound was dissolved in DMSO and was subjected to UV light irradiation (375 nm). UV-Vis spectra were collected at different time points. The resulting photolysis was quantified based on the absorbance at 350 nm when plotted on the standard curve.
UV-vis spectroscopy
UV-Vis spectra were recorded on a Varian Cary 60 Scan UV-Vis spectrometer equipped with a Peltier PCB-1500 Thermostat and an 18-cell holder using Brand disposable UV cuvettes (70–850 µL, 10 mm light path) by Brandtech Scientific Inc. Sample preparation and all experiments were performed under red light conditions in a dark room. All UV-Vis measurements were performed with DMSO as the solvent.
Wavelength scan
Light at different wavelengths was provided by an Optoscan Monochromator with an Optosource (75 mW lamp), which was controlled through a program written in Matlab. Irradiation to establish the photostationary state took place from the top through a fiber-optic cable. For each compound a 10 mM stock solution in DMSO was prepared and diluted to a 50 µM concentration prior to the experiment. Spectra with illumination were acquired from 530 to 370 nm in 10 nm steps going from higher to lower wavelengths and illuminating for 5 min at each wavelength.
Thermal relaxation
Compounds were pre-irradiated with 390 nm light and observed at 370 nm over 12 h at 37 °C in tightly sealed cuvettes.
Cell culture
HEK293T and HCT116 cell lines were maintained in DMEM supplemented with 10% fetal bovine serum (FBS), 2 mM glutamine, and 1% penicillin/streptomycin (P/S). Jurkat, RS4;11 and I45 cells were cultured in complete media containing RPMI 1640 supplemented with 10% fetal bovine serum, 2 mM glutamine, and 1% P/S. All cell lines were maintained in a humidified incubator at 37 °C with 5% CO2 in air. Cell lines were assessed for mycoplasma contamination using PCR (Sigma-Aldrich, catalog no. 200-664-3), yielding negative results. Cells were used at passage numbers <20.
Lentivirus production and generation of stable cell lines
Stable cell lines expressing either eDHFR-YFP-T2A-Luciferase (eDHFR-YFP) or eDHFR-Luciferase-T2A-mCherry (eDHFR-Luc) were generated through lentiviral transduction. The genes eDHFR-YFP-T2A-Luc and eDHFR-Luc-T2A-mCherry were inserted into a pTRPE lentiviral vector36,71. To produce the lentivirus, HEK293T/17 cells were used along with 2nd-generation packaging plasmids psPAX and pMD2. After overnight transduction of target cells with lentivirus in the presence of 8 µg/mL of polybrene, the cells were washed and incubated with fresh media for 1–2 days, passaged, and then sorted based on either YFP (for eDHFR-YFP) or mCherry (for eDHFR-Luc) expression using fluorescence-activated cell sorting (FACS).
I45 cells were infected with a lentivirus containing the human FAP gene and were then sorted using flow cytometry to enrich for I45 cells expressing human FAP (I45 huFAP cells). I45 huFAP cells were further transduced to express luciferase with pTRPE lentiviral vector encoding firefly luciferase-T2A-tagBFP72. I45 huFAP-Luc were maintained in RPMI 1640 supplemented with 10% FBS and 1% P/S. Versene was used to passage cells to prevent the cleavage of FAP from the cell surface.
CAR construct design
The original pTRPE lentiviral vector encoding the anti-FAP scFv, CD8 hinge, and 4-1BB-CD3z regions was provided by Albelda and Puré lab at the University of Pennsylvania72. The pTRPE FAP CAR vector was further reengineered, to contain a direct fusion of eDHFR on the C-terminus of the FAP CAR, to produce pTRPE FAP CAR-eDHFR. T2A-BFP was further inserted downstream of the CAR-eDHFR fusion, to produce pTRPE FAP CAR-eDHFR-T2A-BFP35. The CD19 CAR-eDHFR construct was generated through analogous fusion of eDHFR-T2A-BFP to the C terminus of a CAR consisting of an FMC63 (anti-CD19) scFv, CD8 hinge and transmembrane region, and 4-1BB-CD3z intracellular domain.
CAR construct lentiviral production
Cocal-pseudotyped lentivirus was produced using pRSV/Rev (18 μg), pGag/Pol (18 μg), and pCocal-g (3 μg), 27 μg of vector plasmid, and Lipofectamine 200073,74,75,76. For virus productionHEK293T/17 cells were plated a day before transfection with packaging plasmids in a T-150 flask. On the day of transfection, a half-media change was conducted and the Lipofectamine 2000 protocol for transfection was followed using the materials mentioned. Supernatants were collected 24, 48, and 72 h post-transfection. Supernatants were then centrifuged (1200 RPM/270 × g) to remove cell debris and filtered through a 0.45 μm polyethersulfone (PES) membrane before concentration using a 100 kDa Amicon centrifugal filter concentrator (4000 RPM/3000 × g, 20 min at 4 °C). Concentrated lentiviruses for each construct were stored at −80 °C.
CAR T cell generation and culture
Primary human T cells, containing a combination of CD4+ and CD8+ cells, were activated upon receipt with Human T-Activator CD3/CD28 Dynabeads at a 3:1 ratio of beads to T cells35. Within 16 h of activation, the activated T cells were exposed to CAR-encoding lentivirus at multiplicity of infection (MOIs) of 4 or 5. CAR T cells were then expanded in culture for 8–11 days prior to use. FAP CAR T cells were cultured in CTS Optimizer T-Cell Expansion SFM supplemented with 5% Human Male AB Serum, 1X GlutaMAX, 1% Sodium Pyruvate, 1X MEM Vitamin Mixture, 2% 1 M HEPES and IL-7 and IL-15. CD19 CAR-T cells were cultured in RPMI-1640 (ATCC Modification) with 10% FBS and 100 U/mL IL-2. All CAR T cells were cultured under aseptic conditions at 37 °C and 5% CO2.
Flow cytometry
The generated FAP CAR T cells were resuspended in FACS buffer (2% BSA in PBS). Subsequently, they were incubated with Alexa Fluor ® 647/488 AffiniPure F(ab’2) fragment goat anti-mouse IgG (Jackson ImmunoResearch Laboratories, AF647 catalog no. 115-606-072; AF488 catalog no. 115-546-072) in 1:100 dilution in FACS buffer at room temperature for 30 minutes. CD19 CAR-T cells were similarly stained using an anti-FMC63-PE antibody (Cytoart, catalog no. 200105). Following staining, the cells were washed three times with FACS buffer and analyzed using a flow cytometer (LSR II, BD Biosciences) to detect CAR and/or BFP expression. FlowJo software (FlowJo) was utilized for the analysis of all flow data.
Flow cytometry gating strategy: (1) Gate for live cells (FSC-A vs SSC-A), Gate for singlets (FSC-H vs FSC-A); (2) eDHFR+/CAR⁺ cells were gated based on YFP/BFP/AF488 (530_30 filter)/AF647 (660_20 filter)/PE (575_26 filter) fluorescence; (3) Mean fluorescence intensity (MFI) was used to quantify CAR expression (Supplementary Fig. S40).
Cell studies
Dose response with TMP-TACtz-1-4
5 × 105 Jurkat-eDHFR-YFP cells were seeded in each well of 24-well plates in complete media. The stock solution (10 mM) of compound TMP-TACtz-1-4 was diluted serially in PBS and added to the cells, ensuring that the final concentration of DMSO in the cell media remained below 1%. After incubation with TMP-TACtz-1-4 with 24 h, the cells were pelleted, washed with PBS, and then resuspended in PBS for flow cytometry analysis. The degree of YFP expression was assessed at using a flow cytometer (LSR II, BD).
HCT116-eDHFR-Luc luminescence assay
A total of 5 × 105 HCT116-eDHFR-Luc cells were seeded in 24-well plates with black sidewalls and transparent bottoms, with each well containing 500 µL of complete media and treated with different concentrations of compound TMP-TACtz-3 for 24 h. Luminescence was measured after adding D-luciferin to each well at a final concentration of 0.15 mg/mL using ThermoFisher Varioskan Plus plate reader.
Photoregulation with caged compound TMP-TAC-PC
5 × 105 Jurkat-eDHFR-YFP cells were seeded in each well of two different 24-well plates in complete media and were incubated with dilutions of TMP-TAC-PC. One plate was kept in the dark for 24 h, while the other was irradiated with 390 nm light (100 ms pulses every 10 s) for 60–90 min and kept in the dark for the remainder of the 24 h incubation period. Post-incubation the cells were pelleted, washed with PBS, and then resuspended in PBS for flow cytometry analysis. The degree of YFP expression was assessed at using a flow cytometer (LSR II, BD Biosciences).
Photoregulation with azoswitch TMP-TAC-PS-2
5 × 105 Jurkat-eDHFR-YFP cells were seeded in each well of two different 24-well plates in complete media and incubated with serially diluted TMP-TAC-PS-2. One plate was irradiated with 390 nm (100 ms pulses every 10 s) for 24 h; the other plate was kept in the dark for 24 h. After incubation, the cells were pelleted, washed with PBS, and then resuspended in PBS for flow cytometry analysis. The degree of YFP expression was assessed at using a flow cytometer (LSR II, BD).
Primary human CAR-eDHFR T cells with photocaged/photoswitch molecules
For experiments with primary human CAR-eDHFR T cells, the protocol described above for photocaged/photoswitch incubation/light conditions was followed. Post-incubation, cells were washed and stained with Alexa Fluor® 647 AffiniPure F(ab’2) fragment goat anti-mouse IgG (1:100 dilution in FACS buffer) or anti-FMC63-PE antibody at room temperature. Following staining, the cells were washed 3 times with FACS buffer. Flow cytometry (LSR II, BD Biosciences) was used to analyze the surface expression of CAR on the cells. FlowJo software (FlowJo) was utilized for the analysis of all flow cytometry data. For experiments with unsorted cells, the figures describing quantities of CAR-T cells reflect the number of CAR-positive cells used.
Cytotoxicity and cytokine release assay
1 × 104 I45 target cells were seeded into each well of 96-well plate. The next day CAR-eDHFR T cells pre-incubated with different doses of TMP-TAC-PC under optimized irradiation or dark conditions were added to the wells. For experiments with suspension target cells (e.g. Raji), 1 × 105 target cells were simultaneously plated with CAR-eDHFR T cells. After an overnight incubation, supernatants were analyzed for the release of IFN-γ or TNF-α using ELISA (Abcam 174443, 181421). Samples were incubated with the provided antibodies and subsequently washed according to the manufacturer’s instructions. Following the addition of the TMB Development Solution, absorbance values at 450 nm were monitored every 3 min using a Varioskan LUX Multimode Microplate Reader (Thermo Scientific) until constant, at which point Stop Solution was added and an endpoint absorbance measured at 600 nm. Endpoint absorbance values were converted to protein concentration using a standard curve, and were subsequently plotted.
To evaluate target cell viability, D-luciferin was added to the wells at a final concentration of 0.15 mg/mL. The plate was then incubated for 5 min, after which luminescence was measured on a Varioskan LUX Multimode Microplate Reader (Thermo Scientific) with a 500 ms integration time.
Cell viability assay
96 well plates were seeded with ~3 × 105 primary human FAP CAR T cells in each well in complete media. The cells were incubated with photocaged TMP-TAC-PC or photoswitch TMP-TAC-PS-2 under respective optimized irradiation or dark conditions for 24 h. Post-incubation, the CellTiter 96® AQueous One Solution Cell Proliferation Assay (Promega) was used to assess cell viability.
Statistical analysis
Statistical analyses were conducted using Prism 9, (GraphPad). To determine the statistical significance between two groups, an unpaired, two-tailed t tests were employed. A p-value of less than 0.05 was considered to indicate statistical significance. Error bars were plotted as mean with SD.
Ethics statement
Primary human T cells were obtained from deidentified healthy donors through the Human Immunology Core (RRID:SCR_022380) at the University of Pennsylvania. The collection adhered to approved protocols from the University Institutional Review Board, with written informed consent obtained from the volunteers.
Reporting summary
Further information on research design is available in the Nature Portfolio Reporting Summary linked to this article.
Data availability
All additional data supporting the findings of this study are available in the Supplementary Information and Source Data files. Source data are provided with this paper.
References
Rohaan, M. W., Wilgenhof, S. & Haanen, J. B. Adoptive cellular therapies: the current landscape. Virchows Arch. 474, 449–461 (2019).
Maus, M. V. A decade of CAR T cell evolution. Nat. Cancer 3, 270–271 (2022).
Grupp, S. A. et al. Chimeric antigen receptor–modified T cells for acute lymphoid leukemia. N. Engl. J. Med. 368, 1509–1518 (2013).
Larson, R. C. & Maus, M. V. Recent advances and discoveries in the mechanisms and functions of CAR T cells. Nat. Rev. Cancer. 21, 145–161 (2021).
Leyfman, Y. Chimeric antigen receptors: unleashing a new age of anti-cancer therapy. Cancer Cell Int. 18, 1–6 (2018).
Baker, D. J., Arany, Z., Baur, J. A., Epstein, J. A. & June, C. H. CAR T therapy beyond cancer: the evolution of a living drug. Nature 619, 707–715 (2023).
Neelapu, S. S. et al. Axicabtagene ciloleucel CAR T-cell therapy in refractory large B-cell lymphoma. N. Engl. J. Med. 377, 2531–2544 (2017).
Maude, S. L. et al. Tisagenlecleucel in children and young adults with B-cell lymphoblastic leukemia. N. Engl. J. Med. 378, 439–448 (2018).
Cappell, K. M. & Kochenderfer, J. N. Long-term outcomes following CAR T cell therapy: what we know so far. Nat. Rev. Clin. Oncol. 20, 359–371 (2023).
Bonifant, C. L., Jackson, H. J., Brentjens, R. J. & Curran, K. J. Toxicity and management in CAR T-cell therapy. Mol. Ther. Oncolytics 3, 16011 (2016).
Hunter, B. D. & Jacobson, C. A. CAR T-cell associated neurotoxicity: mechanisms, clinicopathologic correlates, and future directions. JNCI 111, 646–654 (2019).
Freyer, C. W. & Porter, D. L. Cytokine release syndrome and neurotoxicity following CAR T-cell therapy for hematologic malignancies. J. Allergy Clin. Immunol. 146, 940–948 (2020).
Alnefaie, A. et al. Chimeric antigen receptor T-cells: an overview of concepts, applications, limitations, and proposed solutions. Front. Bioeng. Biotechnol. 10, 797440 (2022).
Marofi, F. et al. CAR T cells in solid tumors: challenges and opportunities. Stem Cell Res. Ther. 12, 1–16 (2021).
Yu, S., Yi, M., Qin, S. & Wu, K. Next generation chimeric antigen receptor T cells: safety strategies to overcome toxicity. Mol. Cancer 18, 1–13 (2019).
Rafiq, S., Hackett, C. S. & Brentjens, R. J. Engineering strategies to overcome the current roadblocks in CAR T cell therapy. Nat. Rev. Clin. Oncol. 17, 147–167 (2020).
Park, S. et al. Direct control of CAR T cells through small molecule-regulated antibodies. Nat. Commun. 12, 710 (2021).
Sahillioglu, A. C. & Schumacher, T. N. Safety switches for adoptive cell therapy. Curr. Opin. Immunol. 74, 190–198 (2022).
Zheng, Y., Nandakumar, K. S. & Cheng, K. Optimization of CAR-T cell-based therapies using small-molecule-based safety switches. J. Med. Chem. 64, 9577–9591 (2021).
Weber, E. W. et al. Transient rest restores functionality in exhausted CAR-T cells through epigenetic remodeling. Science 372, eaba1786 (2021).
Labanieh, L. et al. Enhanced safety and efficacy of protease-regulated CAR-T cell receptors. Cell 185, 1745–1763.e22 (2022).
Khan, S. et al. PROteolysis TArgeting Chimeras (PROTACs) as emerging anticancer therapeutics. Oncogene 39, 4909–4924 (2020).
Li, K. & Crews, C. M. PROTACs: past, present and future. Chem. Soc. Rev. 51, 5214–5236 (2022).
Garber, K. The PROTAC gold rush. Nat. Biotechnol. 40, 12–16 (2022).
Jan, M. et al. Reversible ON-and OFF-switch chimeric antigen receptors controlled by lenalidomide. Sci. Transl. Med. 13, eabb6295 (2021).
Lee, S. M. et al. A chemical switch system to modulate chimeric antigen receptor T cell activity through proteolysis-targeting chimaera technology. ACS Synth. Biol. 9, 987–992 (2020).
Lee, I. K. et al. A genetically encoded protein tag for control and quantitative imaging of CAR T cell therapy. Mol. Ther. 31, 3564–3578 (2023).
Kobayashi, A. et al. Light-controllable binary switch activation of CAR T cells. ChemMedChem 17, e202100722 (2022).
Jaeger, M. et al. Light-inducible T cell engagers trigger, tune, and shape the activation of primary T cells. Proc. Natl. Acad. Sci. USA 120, e2302500120 (2023).
Zhang, N. et al. LIGHT/TNFSF14 promotes CAR-T cell trafficking and cytotoxicity through reversing immunosuppressive tumor microenvironment. Mol. Ther. 31, 2575–2590 (2023).
Zhang, B. et al. Photoswitchable CAR-T cell function in vitro and in vivo via a cleavable mediator. Cell Chem. Biol. 28, 60–69.e7 (2021).
Nguyen, N. T. et al. Nano-optogenetic engineering of CAR T cells for precision immunotherapy with enhanced safety. Nat. Nanotechnol. 16, 1424–1434 (2021).
Huang, Z. et al. Engineering light-controllable CAR T cells for cancer immunotherapy. Sci. Adv. 6, eaay9209 (2020).
Maimon, B. E. et al. Optogenetic peripheral nerve immunogenicity. Sci. Rep. 8, 14076 (2018).
Sellmyer, M. A. et al. Imaging CAR T cell trafficking with eDHFR as a PET reporter gene. Mol. Ther. 28, 42–51 (2020).
Etersque, J. M. et al. Regulation of eDHFR-tagged proteins with trimethoprim PROTACs. Nat. Commun. 14, 7071 (2023).
Naro, Y., Darrah, K. & Deiters, A. Optical control of small molecule-induced protein degradation. J. Am. Chem. Soc. 142, 2193–2197 (2020).
Liu, J. et al. Light-induced control of protein destruction by opto-PROTAC. Sci. Adv. 6, eaay5154 (2020).
Reynders, M. et al. PHOTACs enable optical control of protein degradation. Sci. Adv. 6, eaay5064 (2020).
Zeng, S., Zhang, H., Shen, Z. & Huang, W. Photopharmacology of proteolysis-targeting chimeras: a new frontier for drug discovery. Front. Chem. 9, 639176 (2021).
Cecchini, C., Pannilunghi, S., Tardy, S. & Scapozza, L. From conception to development: investigating PROTACs features for improved cell permeability and successful protein degradation. Front. Chem. 9, 672267 (2021).
Douglass, E. F. Jr., Miller, C. J., Sparer, G., Shapiro, H. & Spiegel, D. A. A comprehensive mathematical model for three-body binding equilibria. J. Am. Chem. Soc. 135, 6092–6099 (2013).
Goracci, L. et al. Understanding the metabolism of proteolysis targeting chimeras (PROTACs): the next step toward pharmaceutical applications. J. Med. Chem. 63, 11615–11638 (2020).
Zhang, L., Riley-Gillis, B., Vijay, P. & Shen, Y. Acquired resistance to BET-PROTACs (proteolysis-targeting chimeras) caused by genomic alterations in core components of E3 ligase complexes. Mol. Cancer Ther. 18, 1302–1311 (2019).
Nguyen, T. M. et al. Proteolysis-targeting chimeras with reduced off-targets. Nat. Chem. 16, 218–228 (2024).
Ishoey, M. et al. Translation termination factor GSPT1 is a phenotypically relevant off-target of heterobifunctional phthalimide degraders. ACS Chem. Biol. 13, 553–560 (2018).
Matyskiela, M. E. et al. A novel cereblon modulator recruits GSPT1 to the CRL4CRBN ubiquitin ligase. Nature 535, 252–257 (2016).
Heaslet, H. et al. Structural comparison of chromosomal and exogenous dihydrofolate reductase from Staphylococcus aureus in complex with the potent inhibitor trimethoprim. Proteins Struct. Funct. Bioinf. 76, 706–717 (2009).
Ballister, E. R., Aonbangkhen, C., Mayo, A. M., Lampson, M. A. & Chenoweth, D. M. Localized light-induced protein dimerization in living cells using a photocaged dimerizer. Nat. Commun. 5, 5475 (2014).
Hartley, G. S. The cis-form of azobenzene. Nature 140, 281–281 (1937).
Beharry, A. A. & Woolley, G. A. Azobenzene photoswitches for biomolecules. Chem. Soc. Rev. 40, 4422–4437 (2011).
Albert, L. & Vázquez, O. Photoswitchable peptides for spatiotemporal control of biological functions. Chem. Commun. 55, 10192–10213 (2019).
Goodman, M. & Kossoy, A. Conformational aspects of polypeptide structure. XIX. azoaromatic side-chain effects1, 2. J. Am. Chem. Soc. 88, 5010–5015 (1966).
Liu, L. et al. Enhanced CAR-T activity against established tumors by polarizing human T cells to secrete interleukin-9. Nat. Commun. 11, 5902 (2020).
Chamberlain, P. P. & Hamann, L. G. Development of targeted protein degradation therapeutics. Nat. Chem. Biol. 15, 937–944 (2019).
Tsai, J. M., Nowak, R. P., Ebert, B. L. & Fischer, E. S. Targeted protein degradation: from mechanisms to clinic. Nat. Rev. Mol. Cell Biol. 25, 740–757 (2024).
Yesbolatova, A., Tominari, Y. & Kanemaki, M. T. Ligand-induced genetic degradation as a tool for target validation. Drug Discov. Today Technol. 31, 91–98 (2019).
Nabet, B. et al. The dTAG system for immediate and target-specific protein degradation. Nat. Chem. Biol. 14, 431–441 (2018).
Buckley, D. L. et al. HaloPROTACS: use of small molecule PROTACs to induce degradation of HaloTag fusion proteins. ACS Chem. Biol. 10, 1831–1837 (2015).
Grohmann, C. et al. Development of NanoLuc-targeting protein degraders and a universal reporter system to benchmark tag-targeted degradation platforms. Nat. Commun. 13, 2073 (2022).
Raina, K. et al. PROTAC-induced BET protein degradation as a therapy for castration-resistant prostate cancer. Proc. Natl. Acad. Sci. USA 113, 7124–7129 (2016).
Sun, X. et al. A chemical approach for global protein knockdown from mice to non-human primates. Cell Discov. 5, 10 (2019).
Baker, D. J. et al. The binding of trimethoprim to bacterial dihydrofolate reductase. FEBS Lett 126, 49–52 (1981).
Lopez-Girona, A. et al. Cereblon is a direct protein target for immunomodulatory and antiproliferative activities of lenalidomide and pomalidomide. Leukemia 26, 2326–2335 (2012).
Fischer, E. S. et al. Structure of the DDB1–CRBN E3 ubiquitin ligase in complex with thalidomide. Nature 512, 49–53 (2014).
Mashita, T. et al. Quantitative control of subcellular protein localization with a photochromic dimerizer. Nat. Chem. Biol. 20, 1461–1470 (2024).
Cyrus, K. et al. Impact of linker length on the activity of PROTACs. Mol. BioSyst. 7, 359–364 (2011).
Nowak, R. P. et al. Plasticity in binding confers selectivity in ligand-induced protein degradation. Nat. Chem. Biol. 14, 706–714 (2018).
Zorba, A. et al. Delineating the role of cooperativity in the design of potent PROTACs for BTK. Proc. Natl. Acad. Sci. USA 115, E7285–E7292 (2018).
Borowiak, M. et al. Photoswitchable inhibitors of microtubule dynamics optically control mitosis and cell death. Cell 162, 403–411 (2015).
Sellmyer, M. A. et al. Quantitative PET reporter gene imaging with [11C] trimethoprim. Mol. Ther. 25, 120–126 (2017).
Lee, I. K. et al. Monitoring therapeutic response to anti-FAP CAR T cells using [18F] AlF-FAPI-74. Clin. Cancer Res. 28, 5330–5342 (2022).
Bhella, R. S. et al. Structure, expression and phylogenetic analysis of the glycoprotein gene of Cocal virus. Virus Res. 54, 197–205 (1998).
Trobridge, G. D. et al. Cocal-pseudotyped lentiviral vectors resist inactivation by human serum and efficiently transduce primate hematopoietic repopulating cells. Mol. Ther. 18, 725–733 (2010).
Ghassemi, S. et al. Rapid manufacturing of non-activated potent CAR T cells. Nat. Biomed. Eng. 6, 118–128 (2022).
Milone, M. C. et al. Chimeric receptors containing CD137 signal transduction domains mediate enhanced survival of T cells and increased antileukemic efficacy in vivo. Mol. Ther. 17, 1453–1464 (2009).
Acknowledgements
M.A.S. is supported by the Burroughs Wellcome Fund CAMS Award, NIH Office of the Director Early Independence Award (DP5-OD26386), and NIH R01GM150804. M.A.S. is a CRI Lloyd J. Old STAR (CRI5589). D.T. is supported by NIH R01GM126228. The authors would like to thank the UPenn Flow Cytometry Core Facility as well as the Burslem Lab.
Author information
Authors and Affiliations
Contributions
N.S. performed the in vitro studies (tumor and FAP CAR-eDHFR T cells), synthesized of TMP-TACtz-1-4, photocaged compound TMP-TAC-PC, and photoswitch TMP-TAC-PS-2; SS synthesized photoswitches TMP-TAC-PS-1, 3-5; T.K. performed photophysical studies and provided photoswitch building blocks, T.N. performed western blots, K.J.E. generated FAP CAR-eDHFR T cells, J.P. performed ELISAs, J.P. and A.G. generated and performed CD19 CAR eDHFR-T cells studies, J.F. performed PSS study. M.A.S. and D.T. supervised the project. N.S. wrote the first draft of the manuscript, and all authors contributed to the final manuscript.
Corresponding authors
Ethics declarations
Competing interests
The University of Pennsylvania has filed IP (US20240226100A1/WO2022217295A1) on TMP derivative PROTACs on which NS and MAS are inventors. M.A.S. is scientific co-founder and equity holder for Vellum Biosciences, a company commercializing TMP-related imaging agents and regulatory strategies. The remaining authors declare no competing interests.
Peer review
Peer review information
Nature Communications thanks the anonymous reviewers for their contribution to the peer review of this work. A peer review file is available.
Additional information
Publisher’s note Springer Nature remains neutral with regard to jurisdictional claims in published maps and institutional affiliations.
Supplementary information
Source data
Rights and permissions
Open Access This article is licensed under a Creative Commons Attribution-NonCommercial-NoDerivatives 4.0 International License, which permits any non-commercial use, sharing, distribution and reproduction in any medium or format, as long as you give appropriate credit to the original author(s) and the source, provide a link to the Creative Commons licence, and indicate if you modified the licensed material. You do not have permission under this licence to share adapted material derived from this article or parts of it. The images or other third party material in this article are included in the article’s Creative Commons licence, unless indicated otherwise in a credit line to the material. If material is not included in the article’s Creative Commons licence and your intended use is not permitted by statutory regulation or exceeds the permitted use, you will need to obtain permission directly from the copyright holder. To view a copy of this licence, visit http://creativecommons.org/licenses/by-nc-nd/4.0/.
About this article
Cite this article
Sharma, N., Sarkar, S., Ko, T. et al. Photocontrolled trimethoprim PROTACs targeting the eDHFR protein tag. Nat Commun 17, 822 (2026). https://doi.org/10.1038/s41467-025-67527-5
Received:
Accepted:
Published:
Version of record:
DOI: https://doi.org/10.1038/s41467-025-67527-5






