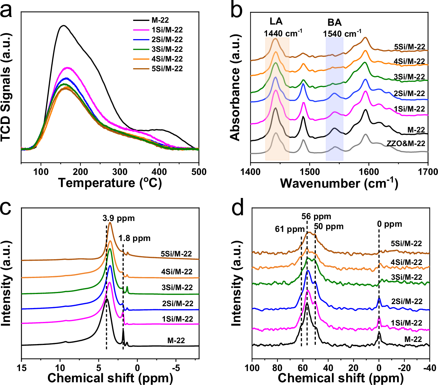
Fig. 3: Surface chemical properties of the tandem catalysts.
From: CO2 hydrogenation toward toluene methylation for selective para-xylene synthesis

a NH3-TPD of M-22 with different Si modification times. b Pyridine-FTIR results for M-22 with different Si modification times. c 1H MAS NMR characterizations of M-22 with different Si modification time. d 27Al MAS NMR characterizations of M-22 with different Si modification times. Lewis Acid (LA) and Brønsted acid (BA).