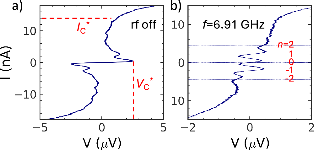
Fig. 2: Experimental I − V curve without and with the MW.

a I − V curve has current blockade below critical voltage \({V}_{C}^{*}=2.5\,\mu V\). The apparent critical current is \({I}_{C}^{*} \sim 14\,nA\); b Current quantization under the MW of 6.91 GHz. The horizontal lines indicate the current corresponding to I = 2efn, n = 0, ± 1, ± 2. One can tune the BT to different n by varying Vb.