Abstract
Identifying high-temperature unconventional charge order and superconductivity in kagome systems is crucial for understanding frustrated, correlated electrons and enabling future quantum technologies. Here, we report that the kagome superconductor YRu3Si2 hosts an exceptional interplay of charge order, magnetism, and superconductivity, revealed through a comprehensive suite of muon spin rotation (μSR), magnetotransport, X-ray diffraction, and density functional theory (DFT). We identify a high-temperature charge-ordered state with propagation vector (1/2,0,0) and a record onset temperature of 800 K, unprecedented in kagome systems and quantum materials more broadly. μSR measurements further reveal time-reversal symmetry-breaking below 25 K and field-induced magnetism near 90 K, features mirrored in the magnetoresistance, which reaches 45% at low temperatures. Band-structure calculations show two van Hove singularities near the Fermi level, including one within a flat band. At low temperatures, YRu3Si2 becomes superconducting below Tc = 3.4 K with either two full isotropic gaps or an anisotropic nodeless gap. These results establish YRu3Si2 as a prime platform for studying correlated kagome physics.
Similar content being viewed by others
Introduction
Identifying novel quantum phases and emergent electronic transitions—especially those intertwined with superconductivity at elevated temperatures—remains one of the central pursuits in condensed matter physics1. The interplay between symmetry breaking, electronic correlations, and topology often gives rise to unconventional states of matter with potential relevance for quantum technologies. Among the diverse platforms studied, kagome lattice systems have recently garnered significant attention as fertile ground for realizing such exotic phenomena.
The kagome lattice2, with its geometrically frustrated network of corner-sharing triangles, hosts a unique band structure characterized by Dirac crossings, flat bands, and van Hove singularities (VHSs), making it an ideal setting to explore the interplay of electronic topology, magnetism, and superconductivity. A growing family of kagome metals—including AV3Sb5 (A = K, Rb, Cs), CsCr3Sb5, CsTi3Bi5, ScV6Sn6, FeGe, and Ta2V3.1Si0.9—has exhibited a wealth of correlated behaviors3,4,5,6,7,8,9,10,11,12,13,14,15,16,17,18,19,20,21,22,23,24,25, such as charge order (CO), nematicity, time-reversal symmetry (TRS) breaking8,19,26, and unconventional superconductivity. These findings underscore the potential of the kagome lattice as a platform that hosts emergent quantum phenomena.
Within this landscape, LaRu3Si210,27,28,29,30,31,32 has recently attracted attention due to its rich physics. It exhibits charge order with a record onset temperature of 400 K10, followed by a secondary charge order with field-induced magnetism below 80 K and TRS breaking below 35 K29. High-pressure studies on LaRu3Si2 by our group30 and others33 reveal a dome-shaped superconducting phase and a similar trend in the normal-state electronic response, suggesting unconventional pairing and a positive correlation between superconductivity and normal-state electronic behavior. These features distinguish it from other kagome materials and motivate the exploration of related compounds within the same structural family.
To further understand the kagome 132 systems, one promising approach is to apply chemical pressure—for example, by substituting La with the smaller Y ion, resulting in YRu3Si2. While YRu3Si2 retains the same crystal structure, its superconducting transition temperature (Tc ≃ 3.4 K)34 is roughly half that of LaRu3Si2. This raises fundamental questions about the origin of superconductivity and its interplay with other ordering phenomena in this material class. It is therefore of great interest to explore the microscopic nature of superconductivity in YRu3Si2, particularly focusing on the superfluid density and the symmetry of the superconducting gap. Even more crucially, we seek to determine whether charge order—a prominent feature of LaRu3Si2—also emerges in YRu3Si2, and how its presence or absence may be linked to the observed suppression of Tc. Gaining such insights is vital for deepening our understanding of intertwined electronic orders in kagome superconductors and for guiding the discovery and design of new materials with tunable quantum phases.
In this article, we report the discovery of charge order in YRu3Si2 with a propagation vector of (1/2, 0, 0) and a record onset temperature of 800 K, alongside field-induced magnetism below 90 K and time-reversal symmetry (TRS) breaking below 25 K. DFT calculations reveal a characteristic kagome band structure featuring two van Hove singularities near the Fermi level, one of which lies within a flat band. Bulk superconductivity emerges below 3.4 K, with a two-gap (s + s)-wave or anisotropic s-wave pairing symmetry. These findings demonstrate a rare coexistence of charge order, magnetism, and multigap superconductivity, establishing YRu3Si2 as a model system for correlated kagome physics.
Results
Structural evolution and charge order from X-ray diffraction and DFT
Firstly, to determine the presence of charge order, X-ray diffraction (XRD) experiments on YRu3Si2 were conducted over a temperature range of 80 to ~900 K. The reconstructed reciprocal patterns obtained at various temperatures are shown in Fig. 1a–h. Above 800 K, we identified the Cccm structure, the same phase as observed in LaRu3Si210 between 400 and 600 K. Below 800 K, down to 10 K, superstructure reflections emerge, which in the hexagonal setting correspond to q1 = (1/2, 0, 0), q2 = (0, 1/2, 0), and q3 = (1/2, −1/2, 0). In the orthorhombic setting, these reflections indicate a breaking of the C-centering, signifying a structural transition from Cccm to Pmma. This transition establishes charge order at Tco = 800 K in YRu3Si2, which is twice as high as in LaRu3Si2 (Tco = 400 K), setting a new record for charge order in kagome systems-and in quantum materials more broadly. Note that, unlike in the case of LaRu3Si2, the P6/mmm (HT-HEX) was not observed experimentally up to the highest temperature used in our measurements. Nevertheless, the presence of hexagonal symmetry in the diffraction pattern and the need to invoke hexagonal twin domains for structure refinement suggest the existence of a high-temperature phase with hexagonal symmetry, a conclusion further supported by the DFT calculations presented in the following paragraph. To avoid ambiguity, we clarify here the notation used throughout this manuscript for the different structural phases. In our previous work for LaRu3Si210, we adopted the designations LT-HEX and HT-HEX for the Cccm and P6/mmm phases, respectively. This choice is motivated by the fact that the diffraction patterns (Laue symmetry) of both phases display hexagonal symmetry, despite their underlying crystal structures being different. Structural refinement reveals that the true crystal symmetry is lower than the Laue symmetry due to the formation of twin domains oriented according to the high-temperature phase. For consistency with our earlier work on LaRu3Si210, we continue to use the LT-HEX notation for the Cccm phase, which for YRu3Si2 is stable up to 880 K, and HT-HEX for the P6/mmm phase.
Reconstructed reciprocal space along the (0 0 1) direction at 2 r.l.u. (reciprocal lattice units), performed at various temperatures T = 880 K (a), 780 K (b), 300 K (from laboratory single crystal X-ray diffraction) (c), 300 K (from synchrotron X-ray diffraction) (d), 150 K (e), 80 K (f), 40 K (g), and 10 K (h), respectively. Orange and green circles mark the Bragg peak and charge order (CO) peaks, respectively.
To gain a more detailed insight into the distortions and phase stability of YRu3Si2, first-principles DFT calculations have been performed. Our calculations identify the experimentally observed Cccm and Pmma structures, and we consider their parent high-temperature P6/mmm structure (Fig. 2a–c). The parent structure P6/mmm is characterized by an undistorted kagome lattice of Ru atoms. In this high-symmetry phase, all Ru–Ru bonds are equivalent with length d, reflecting a uniform distribution of electron density with no preferred direction or site disproportionation. The P6/mmm structure exhibits multiple unstable imaginary modes across the whole BZ in its phonon dispersion (Fig. 2d). The imaginary phonon mode at the A point gives rise to the Cccm structure characterized by in-plane displacements of Si atoms and out-of-plane displacements of Ru atoms. The out-of-plane modulation yields two different bond lengths in the Ru kagome net, d1 = 2.759 Å and d2 = 2.793 Å, both of which are larger than d = 2.736 Å in the parent P6/mmm structure. Because all bonds expand uniformly, this change indicates a simple structural phase transition rather than the formation of charge order. This distortion lifts peaks in the density of states (DOS) of the out-of-plane dxz, dyz, and \({d}_{{z}^{2}}\) orbitals far below the Fermi level (Fig. 2f). The large DOS at the Fermi level, originating from the flat band of the in-plane dxy and \({d}_{{x}^{2}-{y}^{2}}\) orbitals (Fig. 2e), remains nearly unchanged upon the distortion. For the Pmma structure, the structural distortion arises from imaginary phonon modes at A and L points, featuring in-plane Ru distortions (see arrows in Fig. 2c) in addition to in-plane Si distortions and out-of-plane Ru distortions. In the distorted Pmma structure, the Ru–Ru bonds split into three distinct lengths: d1 = 2.708 Å, d2 = 2.760 Å, and d3 = 2.833 Å. Notably, d1 is shorter than the uniform Ru–Ru bond length d in the P6/mmm phase. The contraction of a subset of bonds relative to the parent value (d1 < d) indicates that the electronic charge density is no longer uniformly distributed, but instead becomes preferentially localized along specific Ru–Ru links. This bond disproportionation is not a mere structural byproduct; rather, it reflects an underlying electronic instability in which certain Ru–Ru pairs host enhanced charge density, while others are depleted. In essence, the lattice distortion enforces a periodic modulation of electron density—commonly referred to as charge order. This phenomenon is analogous to the Peierls distortion in a one-dimensional chain, where uniform bonds alternate into short and long distances; the short bonds signify enhanced charge density (dimerization), thereby stabilizing the charge-ordered state. The charge order nature of the Pmma structure is further confirmed by the reduction in the large DOS, originating from the flat band of the in-plane dxy and \({d}_{{x}^{2}-{y}^{2}}\) orbitals at the Fermi level, compared to the parent P6/mmm structure (Fig. 2f).
Atomic structures of a HT-HEX (P6/mmm), b LT-HEX (Cccm), and c CO (Pmma) phases in YRu3Si2. Dashed lines indicate the unit cells. In each structure, Ru–Ru bonds of different lengths are depicted in different colors. In c, black arrows in the right panel show the in-plane CO displacement patterns of Ru atoms. d Phonon dispersion of the HT-HEX structure. e Orbital-projected band structure and density of states (DOS) of the HT-HEX structure. The d orbitals of Ru atoms are projected onto the band structure, with the radius of the open circles proportional to the projected weight. f Orbital-projected DOS of the three structures.
Magnetotransport properties in the superconducting and normal states
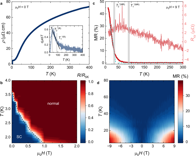
Having observed charge order and confirmed it through DFT calculations, we next investigate the transport characteristics in both the superconducting and normal states. The temperature dependence of electrical resistivity for YRu3Si2 is shown Fig. 3a. The resistivity exhibits metallic behavior in the charge-ordered state, similar to that observed in LaRu3Si229 and in the kagome superconductors AV3Sb54. This indicates that the charge order in YRu3Si2 reconstructs the Fermi surface only partially, leaving a substantial number of metallic carriers intact. As a result, transport remains dominated by ungapped bands and resistivity decreases with decreasing temperature, rather than showing an increase. Such behavior is typical of multiband or three-dimensional systems, in contrast to low-dimensional Peierls systems, where charge order strongly gaps the Fermi surface and drives resistivity upward. ρ(T), depicted in Fig. 3a establishes three temperature scales governing the electronic behavior. Inspecting the first derivative of the resistivity data reveals a subtle change in slope at \({T}_{1}^{*(R)} \sim 90\,K\), followed by a pronounced peak at \({T}_{2}^{*(R)} \sim 35\,K\). These values are comparable to TCO,II ≃ 80 K and T * ≃ 35 K observed in LaRu3Si2. In the low-temperature range, the superconducting state is reached with the onset and midpoint (50% drop in resistivity) at 3.9 and 3.7 K, respectively. Superconducting transitions under varying magnetic fields are presented in the color plot, with temperature on the vertical axis and magnetic field on the horizontal axis. Blue regions represent the zero-resistance superconducting state, while red regions correspond to the normal (resistive) state. The application of a magnetic field results in the gradual suppression of the transition temperature (Fig. 3b) with an estimated upper critical field μ0Hc2 = 1.0 T at T = 2 K. Motivated by the presence of two distinct temperature scales observed in the normal state via the resistivity derivative, magnetoresistance (MR) was measured across a broad range of temperatures and magnetic fields. The resulting data, displayed in the color plot (Fig. 3d), reveal that MR emerges below ~80 K and reaches up to 45%. The temperature dependence of the MR measured at 9 T is presented in Fig. 3c. Two clear slope changes are observed, showing the initial deviation from zero MR below \({T}_{1}^{*(MR)}\) with a significant increase below \({T}_{2}^{*(MR)}\), which coincides with the values determined from the derivative of resistivity. Additionally, the temperature dependence of the Hall resistivity shows a broad anomaly in the corresponding temperature range. Our MR experiments therefore indicate the presence of a transition or crossover in the normal state, occurring between the onset of charge order and the emergence of superconductivity.
a Temperature dependence of electrical resistivity and its first derivative (inset). b Contour map of the resistivity data across the superconducting transition as a function of applied magnetic field. c Temperature-dependent magnetoresistance (left axis), and the Hall resistance (right axis) obtained at 9 T. Vertical gray lines in a and c mark the characteristic temperatures. d Temperature-field contour map of magnetoresistance.
Microscopic superconducting and normal-state properties probed by μSR
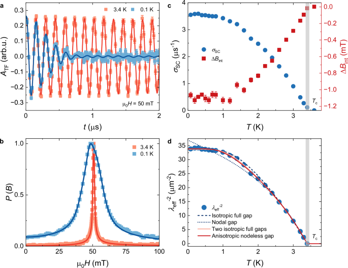
In order to unveil the microscopic nature of both normal and superconducting states of YRu3Si2, μSR experiments were carried out. Unlike many other methods that probe the penetration depth (λ) only near the surface, the μSR technique offers a powerful means of measuring the superfluid density in the vortex state of type-II superconductors deep within the bulk of the sample. Further details are provided in the “Methods” section. Additionally, zero-field μSR can detect internal magnetic fields as small as 0.1 G without the need for an external field, making it an especially valuable tool for probing spontaneous magnetism associated with TRS breaking. Figure 4a illustrates the transverse-field (TF) μSR time spectra in an applied magnetic field of 50 mT above (3.4 K) and below (0.1 K) the SC transition. Above Tc, the oscillations show a weak damping due to the random local fields from the nuclear moments, while below Tc the damping rate strongly increases, indicating the presence of a non-uniform local magnetic field distribution due to the formation of a flux-line lattice. Further evidence is provided in Fig. 4b showing the Fourier transform of the μSR spectra at corresponding temperatures. Above Tc, a sharp and symmetric peak is observed. In the superconducting state, however, the field distribution becomes significantly broadened and asymmetric—features characteristic of a vortex lattice—and is shifted away from the applied magnetic field. The diamagnetic shift ΔBint = μ0(Hint,SC−Hint,NS), i.e., the difference between the applied field and the central field in a superconducting state, as a function of temperature, is shown in Fig. 4c. The large diamagnetic response of 1.1 mT that is observed is associated with the superconducting transition at Tc = 3.4 K. This large diamagnetic shift indicates the bulk character of superconductivity. An in-depth look at the superconducting properties is offered by the analysis of the muon spin depolarization rate σtot(\(=\sqrt{{\sigma }_{SC}^{2}+{\sigma }_{nm}^{2}}\)), consisting of superconducting, σSC, and nuclear magnetic dipolar, σnm, contributions. To estimate the superconducting relaxation rate σSC, the nuclear contribution was considered to be constant above Tc and subtracted accordingly. The temperature dependence of σSC of YRu3Si2 is shown in Fig. 4c, which was extracted using the equations described in the “Methods” section. The form of the temperature dependence of σSC, which reflects the topology of the SC gap, shows saturation below T/Tc ≃ 0.3. We show in the following how these behaviors indicate a nodeless SC gap.
a Transverse field (TF) μSR time spectra obtained above (3.4 K) and below (0.1 K) the SC transition under an applied magnetic field of 50 mT. The solid lines represent fits to the data by means of Eq. (2). Error bars are the standard error of the mean (s.e.m.) in about 106 events. b Normalized Fourier transform of the measured time spectra in the normal and superconducting state, respectively. c Temperature dependence of the muon spin depolarization rate σsc(T) (left axis), and diamagnetic shift ΔBint(T) (right axis), at 50 mT. The error bars represent the standard deviation of the fit parameters. d Inverse squared effective penetration depth \({\lambda }_{e{{\mathrm{ff}}}}^{-2}\) as a function of temperature fitted with several theoretical models (see the “Methods” section).
For a perfect triangular lattice, the relaxation rate is directly linked to the magnetic penetration depth λeff according to the equation35:
where γμ is the gyromagnetic ratio of the muon and Φ0 stands for the magnetic-flux quantum. The magnetic penetration depth is one of the most fundamental parameters in a superconductor since it is related to the superfluid density, ns, via 1/λ2 = μ0e2 ns/m* (where m* is the effective mass). The temperature dependence of 1/λ2 is shown in Fig. 4d. To enable a quantitative analysis, the experimental data were fitted using theoretical models corresponding to a single isotropic full gap, two isotropic full gaps, an anisotropic nodeless gap, and a nodal gap. The fits are presented in Fig. 4d. The nodal gap model is clearly incompatible with the experimental data, and the single isotropic full-gap model also fails to adequately describe the temperature dependence of \({\lambda }_{e{{\mathrm{ff}}}}^{-2}(T)\). In contrast, both the two-gap isotropic model and the anisotropic nodeless gap model yield fits of comparable and satisfactory quality. The first approach suggests the presence of two SC gaps, Δ1 = 0.53(1) meV and Δ2 = 0.15(1) meV, with relative weights of 0.93(1) and 0.07(1). In the second scenario, the superconducting gap exhibits an angular dependence similar to that in the case of nodal d-wave superconductivity, however, without reaching the zero value at any point. The anisotropy ratio of the minimum gap value to the maximum Δ1 = 0.52(1) meV is a = 0.20(2), which is lower compared to other anisotropic s-wave kagome superconductors, e.g., CeRu236. The SC gap structure for the La analog, LaRu3Si2, was described by a single s-wave model28, nevertheless, the presence of two gaps cannot be excluded, as well37, with a similar weight ratio (0.1 and 0.9) as observed here. The magnetic penetration depth extrapolated to zero temperature is estimated to be λeff(0) = 173(3) nm. The ratio between the superconducting critical temperature and the zero-temperature superfluid density, Tc/λeff(0)−2, is ~0.10 for YRu3Si2, which is lower than the value of 0.37 reported for LaRu3Si228, but still within the typical range for unconventional superconductors (0.1–20)38. In contrast, conventional BCS superconductors exhibit significantly smaller values. This indicates that the superfluid density in YRu3Si2 is relatively dilute and points toward an unconventional pairing mechanism.
Having established the superconducting gap structure and superfluid density in YRu3Si2, we now shift our focus to the normal state. A key question is whether magnetism is associated with the temperature scales \({T}_{1}^{*}\) and \({T}_{2}^{*}\), identified from our transport measurements. In the following, we present results from the powerful combination of zero-field and high transverse-field μSR experiments to address this question. The zero-field (ZF)-μSR spectrum (Fig. 5a) is characterized by a weak depolarization of the muon spin ensemble, indicating no evidence of long-range-ordered magnetism in YRu3Si2. However, the muon spin relaxation has a clearly observable temperature dependence. Since the full polarization can be recovered by the application of a small external longitudinal magnetic field, BLF = 5 mT, the relaxation is, therefore, due to spontaneous fields which are static on the microsecond timescale. The zero-field μSR spectra for YRu3Si2 were fitted using the simple exponential function PZF(t) = exp(−ΓZFt). Across \({T}_{1}^{*}\), there is only a change in the slope of Γ. However, a significant observation occurs as the temperature is lowered below \({T}_{2}^{*}\simeq\) 25 K, where there is a notable increase in ΓZF (Fig. 5b). Keeping in mind that there is no structural distortion across \({T}_{2}^{*}\), we can dismiss changes in the structure as the origin for the increase in relaxation rate. Therefore, we interpret our ZF-μSR results as an indication that there is an enhanced width of internal fields sensed by the muon ensemble below \({T}_{2}^{*}\simeq\) 25 K. The increase in ΓZF below \({T}_{2}^{*}\), measured at 1.6 K, is estimated to be ≃0.045 μs−1, which can be interpreted as a characteristic field strength ΓZF/γμ ≃ 0.45 G. We note that a slight additional increase of ΓZF is observed below Tc (inset of Fig. 5b). However, this does not allow us to conclude that the superconducting state itself breaks TRS. The key observation is that the onset of the increase in ΓZF occurs already at the higher temperature \({T}_{2}^{*}\), indicating that TRS breaking sets in above Tc. This implies that internal fields are already present in the normal state, and upon entering the superconducting phase, the superconductivity interacts with these fields, slightly modifying them. Thus, in YRu3Si2, we can state that TRS is broken at \({T}_{2}^{*}\), i.e., at a temperature higher than Tc, and the modification of ΓZF below Tc reflects the interplay with the pre-existing internal fields. A similar situation occurs in AV3Sb58. At ambient pressure, TRS breaking is already established in the normal state, making it impossible to determine whether the superconducting state itself breaks TRS. However, by applying hydrostatic pressure to fully suppress charge order, we were able to directly probe TRS breaking by the superconducting state. These measurements demonstrated that, once charge order is suppressed, the superconducting state indeed breaks TRS. In AV3Sb5, the critical pressure required to suppress charge order is within 2 GPa, within the range of μSR experiments (pmax = 2 GPa). In contrast, the pressure needed to suppress charge order in YRu3Si2 is expected to be significantly higher30, which prevents us from probing with μSR whether the superconducting state alone, without charge order, breaks TRS.
a ZF and LF μSR time spectra recorded at 5 K. The black solid line represents a fit using a simple exponential function. Error bars are the standard error of the mean (s.e.m.) in about 106 events. b Temperature dependence of ZF muon spin relaxation rate ΓZF(T). The error bars represent the standard deviation of the fit parameters. Vertical gray lines indicate the onset temperature \({T}_{1}^{*(MR)}\), below which MR emerges, the temperature \({T}_{2}^{*(MR)}\), below which a more pronounced increase in MR is observed, and the temperature \({T}_{2}^{*(\mu {{{\rm{SR}}}})}\), below which the ZF muon spin relaxation rate increases. Notably, \({T}_{2}^{*(MR)}\simeq {T}_{2}^{*(\mu {{{\rm{SR}}}})}\). The inset shows an additional increase in ΓZF below Tc.
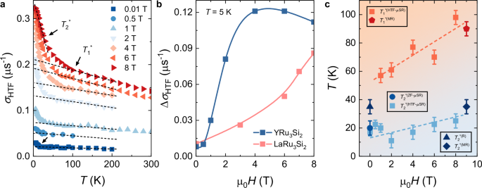
To corroborate the zero-field μSR results presented above, a comprehensive set of high-field μSR experiments was conducted39. The temperature dependencies of the muon spin relaxation rate σHTF, measured under various magnetic fields, are shown in Fig. 6a. At the lowest applied field of 0.01 T, the relaxation rate remains nearly constant down to \({T}_{2}^{*}\), below which it exhibits a clear increase—consistent with the zero-field μSR results. The overall increase in σHTF below \({T}_{2}^{*}\) is smaller than that observed in zero field, as expected. As the applied field is increased, a stronger enhancement of the relaxation rate below \({T}_{2}^{*}\) is observed. At 4 T, the rate is nearly ten times larger than at 0.01 T, indicating a substantial field-induced enhancement of the magnetic response. Additionally, the increase in the rate below \({T}_{1}^{*}\) becomes more pronounced, and the temperature dependence above \({T}_{1}^{*}\) becomes increasingly evident. As shown in Fig. 6b, the absolute value of the increase saturates above 4 T, and the changes in the overall temperature dependence become less prominent. Notably, the muon spin relaxation rate increases across the entire sample volume (see Supplementary Fig. S5), evidencing the bulk character of the magnetic state. These measurements confirm the time-reversal symmetry-breaking nature of the phase below \({T}_{2}^{*}\), as well as the emergence of a field-induced magnetic state below \({T}_{1}^{*}\). Thus, muon spin rotation experiments reveal that the MR observed in YRu3Si2 originates from a hidden, weak magnetic state. A field-induced enhancement of the relaxation rate was previously observed in LaRu3Si2; however, the field dependence differs significantly between LaRu3Si2 and YRu3Si2, as shown in Fig. 6b. In YRu3Si2, the relaxation rate increases more rapidly at low fields and saturates above 4 T, whereas in LaRu3Si2, the rate continues to rise steadily up to 8 T. The characteristic temperatures \({T}_{1}^{*}\) and \({T}_{2}^{*}\), determined from high-field μSR, zero-field μSR, and magnetotransport measurements, are summarized in Fig. 6c, showing a smooth increase with applied field. Furthermore, the continuous increase in the relaxation rate across a wide temperature range above \({T}_{1}^{*}\) suggests the presence of weak magnetic correlations at elevated temperatures, potentially linked to the high-temperature charge order. To verify this, future measurements extending up to the charge-ordering temperature Tco = 800 K will be necessary. The evidence for the transition below 20 K is also provided by magnetic susceptibility measurements (see Supplementary Fig. S4). Taken together, the weak magnetism detected below \({T}_{2}^{*}\) is established by a powerful combination of complementary microscopic techniques, including muon-spin rotation, resistivity, magnetoresistivity, and magnetization measurements.
a Temperature dependence of the high transverse-field (HTF) muon spin relaxation rates measured for selected external fields (dashed black lines represent the linear fit of the high-temperature data). The error bars represent the standard deviation of the fit parameters. Arrows mark the characteristic temperatures \({T}_{1}^{*}\) and \({T}_{2}^{*}\). b The low-temperature increase in the HTF μSR rate as a function of applied magnetic field, measured at 5 K. The data reported for LaRu3Si229 analog are shown for comparison, as well. c Characteristic temperatures \({T}_{1}^{*}\) and \({T}_{2}^{*}\) as determined from the HTF μSR, ZF μSR, and magnetotransport measurements. Dashed lines are guides to the eye.
Discussion
To summarize, our findings establish YRu3Si2 as a distinctive kagome-lattice superconductor exhibiting several remarkable properties: (1) High-temperature charge order below Tco ≃ 800 K: YRu3Si2 demonstrates a record-high onset temperature for charge order, characterized by a propagation vector of (1/2, 0, 0). This charge order wave vector differs from the (1/4) and (1/6) modulations observed in LaRu3Si2, but closely resembles the one reported in AV3Sb5 systems3. (2) Time-reversal symmetry-breaking phase below \({T}_{2}^{*}\simeq\) 25 K: Between the onset of charge order and the superconducting transition, an electronically driven phase that breaks TRS emerges, indicating complex underlying electronic interactions. TRS breaking in the normal state has been reported in several charge-ordered kagome systems, including AV3Sb5, ScV6Sn6, and LaRu3Si2. Furthermore, the magnitude of the TRS-breaking signal is quite comparable across different kagome systems (see Table 1). This indicates that this phenomenon is a ubiquitous feature of the kagome lattice. However, a notable distinction emerges: in ScV6Sn6, the onset of TRS breaking coincides closely with the onset of charge order. In AV3Sb5, the onset of TRS breaking coincides with the emergence of charge order, with a stronger TRS-breaking signal developing at lower temperatures (see Table 1). In contrast, a notable difference arises in LaRu3Si2 and YRu3Si2, where TRS breaking sets in at temperatures well below the primary charge-ordering transition (see Table 1). (3) Field-induced magnetic response at least below \({T}_{1}^{*}\simeq\) 90 K. (4) Band structure calculations identify a flat band and two VHSs near the Fermi level (see detailed characterization of the VHSs below), suggesting a strong interplay between electronic correlations and emergent orders. (5) Superconductivity with an unconventional gap structure: The superconducting state in YRu3Si2 features a gap structure consistent with either two isotropic full gaps or an anisotropic nodeless gap, suggesting unconventional pairing mechanisms. Taken together, this makes YRu3Si2 an ideal platform for exploring the interplay between multiple symmetry-breaking phases and their connection to superconductivity, and strongly motivates further investigations using techniques such as STM, ARPES, and beyond.
Finally, we discuss the possible origin of the observed time-reversal symmetry-breaking phase within the charge-ordered phase. Two VHSs are identified near the Fermi level in the pristine band structure, one of which lies within the flat band (Fig. 7a). These VHSs exhibit orbital characters of the out-of-plane dxz and dyz orbitals for VHS1 and the in-plane dxy and \({d}_{{x}^{2}-{y}^{2}}\) orbitals for VHS2. This is reminiscent of the VHSs with both in-plane and out-of-plane orbital characters in CsV3Sb5 (Fig. 7c) and ScV6Sn6 (Fig. 7d), where time-reversal symmetry-breaking orders have been reported9,40. Closer inspection shows that both VHSs in YRu3Si2 belong to sublattice-mixed type, consisting of a mixed contribution from two kagome sublattices (Fig. 7a). This is distinct from both the sublattice-mixed and sublattice-pure VHSs in CsV3Sb5 (Fig. 7c), as well as from the sublattice-pure VHSs in ScV6Sn6 (Fig. 7d). Interestingly, we reveal that the VHSs characteristics in the pristine phase are preserved in the charge-ordered state, as shown in the unfolded band structure in Fig. 7b (see also Supplementary Fig. S1 for detailed identification of the VHSs). Upon the charge order formation, the bandwidths of the two VHS bands are renormalized along the Γ−M1−K1 direction, positioning VHS1 (VHS2) below (above) the Fermi level at the M1 point, while retaining their orbital characters. This is particularly remarkable, as recent theoretical studies suggest that the presence of two VHSs near the Fermi level is a key prerequisite for loop current order in kagome metals18,41. We thereby attribute the observed time-reversal symmetry-breaking phase within the charge-ordered phase to the persistent multiple VHSs, even under the charge order formation. YRu3Si2 serves as a distinct example, with different VHS characters compared to CsV3Sb5 and ScV6Sn6, which may contribute to uncovering the exact mechanism of loop current order in the kagome metal family.
VHS points near the Fermi level and their characters for a YRu3Si2, c CsV3Sb5, and d ScV6Sn6. The band structure of the parent phase of each compound is shown, projected onto the d orbitals of the V or Ru atom, with the radius of the open circles proportional to the projected weight. The charge density of VHS points is displayed, where m-type and p-type refer to sublattice-mixed and sublattice-pure types, respectively. b Unfolded band structure of the charge-ordered phase in YRu3Si2. See also the band structure without band unfolding in Supplementary Fig. S2. In the inset, the solid line indicates the BZ of the parent P6/mmm structure, while the dashed line indicates the BZ of the charge-ordered Pmma structure.
We also note that the lowered symmetry of the charge-ordered state inherently gives rise to nematicity in VHS fermiology of YRu3Si2 (Fig. 7b). Compared to the two resilient VHSs at the M1 point with some bandwidth renormalization, the VHSs at the M2 point are washed out due to charge-order-driven interactions between multiple VHSs originating from the M2 and M3 points in the pristine BZ. This VHS fermiology is clearly distinct from the VHSs present at all three M points in the pristine phase of CsV3Sb5, but it is similar to the nematicity-driven lifting of VHSs, leaving VHSs only at a single M point in the charge-ordered phase of ScV6Sn6 below the nematic temperature42. The role of symmetry breaking and its impact on exotic quantum phases in kagome metals is of crucial importance, particularly in the context of VHS-driven instabilities43,44. Thus, YRu3Si2 presents itself as an intriguing kagome material for studying the interplay between VHSs and nematicity in the formation of time-reversal symmetry-breaking loop current order and superconductivity.
Methods
Sample preparation
Polycrystalline samples of YRu3Si2 were prepared by arc-melting from mixtures of yttrium chunks (99.9%, Thermo Scientific), ruthenium powder (99.99%, Leico), and silicon pieces (99.95%, Sigma Aldrich) under an argon atmosphere. Stoichiometric amounts of the elements were used with a 30% molar excess of ruthenium to avoid the formation of the YRu3Si2 phase. The ruthenium powder was pressed into pellets to avoid sputtering, and the melting process was started with the metals (yttrium and ruthenium) so that the melt could absorb silicon. A piece of zirconium was used as a getter to remove residual oxygen. During the arc-melting process, the samples were melted and flipped several times for better homogenization. The pellets were not shiny on the surface after the synthesis; this was due to the formation of a thin oxide layer, which was mechanically removed. All of the measurements were performed on YRu3Si2 samples from the same batch.
First-principles calculations
We perform density functional theory (DFT) calculations using the Vienna ab initio simulation package vasp45, implementing the projector-augmented wave method46. We use PAW pseudopotentials with valence configurations: 4s24p64d25s1 for Y atoms, 4s24p64d75s1 for Ru atoms, and 3s23p2 for Si atoms. We approximate the exchange-correlation functional with the generalized-gradient approximation PBEsol47. We use a kinetic energy cutoff for the plane wave basis of 400 eV and a Gaussian smearing of 0.02 eV. We use Γ-centered k-point grids with a k-spacing of 0.1 Å−1. For plotting the DOS, a denser k-point grid with a k-spacing of 0.04 Å−1 and the tetrahedron method is used. All the structures are optimized until the forces are below 0.001 eV/Å. The unfolded band structure of the charge-ordered phase is obtained using the method proposed by Popescu and Zunger48 as implemented in the VaspBandUnfolding code49. We perform harmonic phonon calculations using the finite displacement method in conjunction with nondiagonal supercells50. The dynamical matrices are calculated on uniform q grids of size 6 × 6 × 6 for the high-temperature P6/mmm structure, and of size 2 × 2 × 2 for the Cccm and Pmma structures. We find that both the Cccm and Pmma structures are dynamically stable at the harmonic level (Supplementary Fig. S3).
Single crystal X-ray diffraction measurements
We employed both laboratory-based single-crystal X-ray diffraction (80–900 K) at the Paul Scherrer Institute and high-resolution synchrotron X-ray diffraction (10–300 K) at DESY to uncover the charge-ordered state. These diffraction techniques provide the most direct probes of structural transitions and charge order. These diffraction techniques provide the most direct probes of structural transitions and charge order. The experiments are complemented by DFT calculations, which provide microscopic insight into each state. Single crystals of YRu3Si2 of up to 50 μm were selected from a crushed arc-melted button, washed consequently in dilute HCl, H2O, ethanol, and mounted on MiTeGen loops or a quartz capillary. Diffraction measurements were carried out using the laboratory STOE STADIVARI single-crystal diffractometer equipped with the micro-focused Mo Kα X-ray source and Dectris EIGER 1M 2R detector. Measurements were carried out in the temperature range between 80 and 400 K using Oxford CryoStream 800 Series and between RT and 900 K using STOE HeatStream (Ar flow of 0.8 L/min). Hard X-ray synchrotron experiments were carried out at the P21.1 beamline51 at Petra III, DESY, using 101.6 keV photons. These measurements were done with the Dectris X 4M detector in cryogenic conditions down to 10 K and up to 300 K. Data collection and reduction, as well as reconstruction of reciprocal space, were performed using the X-Area software package [X-area package (STOE and Cie GmbH, Darmstadt, Germany, 2022)]. Structure solution and refinement were performed using Jana2020 software52. Similar to LaRu3Si2, the hexagonal pseudo-symmetry of the diffraction patterns (Fig. 1) is due to ortho-hexagonal twinning, which was accounted for during refinement of the lt-hex and charge-ordered phases.
Magnetotransport measurements
Magnetotransport measurements were carried out in a standard four-probe method using the Physical Property Measurement System (PPMS, Quantum Design). A well-cut, polished, rectangular-shaped thin piece was used. The diagonal arrangement of voltage contacts was used, and the magnetoresistance and Hall resistance were obtained by symmetrization and anti-symmetrization of the measured data, respectively.
Muon spin rotation experiments
Zero-field (ZF) and transverse-field (TF) μSR experiments were performed on the GPS instrument and high-field HAL-9500 instrument, equipped with BlueFors vacuum-loaded cryogen-free dilution refrigerator (DR), at the Swiss Muon Source (SμS) at the Paul Scherrer Institut, in Villigen, Switzerland.
In a μSR experiment, nearly 100 % spin-polarized muons μ+ are implanted into the sample one at a time. The positively charged μ+ thermalize at interstitial lattice sites, where they act as magnetic microprobes. In a magnetic material, the muon spin precesses in the local field Bμ at with the Larmor frequency νμ = γμ/(2π)Bμ (muon gyromagnetic ratio γμ/(2π) = 135.5 MHz T−1). Using the μSR technique, important length scales of superconductors can be measured, namely the magnetic penetration depth λ and the coherence length ξ. If a type-II superconductor is cooled below Tc in an applied magnetic field ranging between the lower (Hc1) and the upper (Hc2) critical fields, a vortex lattice is formed, which in general is incommensurate with the crystal lattice, with vortex cores separated by much larger distances than those of the unit cell. Because the implanted muons stop at given crystallographic sites, they will randomly probe the field distribution of the vortex lattice. Such measurements need to be performed in a field applied perpendicular to the initial muon spin polarization (the so-called TF configuration).
Zero-field and high-transverse-field experiments were performed to probe normal state properties on the HAL instrument in a field range of 0.01–8 T. The sample in the form of a compressed pellet (diameter 8 mm) was placed on the silver sample holder and mounted in the cryostat.
Analysis of TF-μSR data
In order to model the asymmetric field distribution (P(B)) in the SC state, the TF-μSR time spectra measured below Tc are analyzed using the following two-component functional form:
Here As,i, σi and Bint,s,i is the initial asymmetry, relaxation rate, and local internal magnetic field of the ith component. φ is the initial phase of the muon-spin ensemble. γμ/(2π) ≃ 135.5 MHz/T is the muon gyromagnetic ratio. The first and second moments of the local magnetic field distribution are given by53
and
Above Tc, in the normal state, the symmetric field distribution could be nicely modeled by only one component. The obtained relaxation rate and internal magnetic field are denoted by σns and Bint,s,ns. σns is found to be small and temperature independent (dominated by nuclear magnetic moments) above Tc and assumed to be constant in the whole temperature range. Below Tc, in the SC state, the relaxation rate and internal magnetic field are indicated by σSC and Bint,s,sc. σSC is extracted by using \({\sigma }_{SC}=\sqrt{{\sigma }^{2}-{\sigma }_{ns}^{2}}\). Bint,s,sc is evaluated from \(\langle B\rangle\) using Eq. (3).
Analysis of λ(T)
λ(T) was calculated within the local (London) approximation (λ ≫ ξ) by the following expression54,55:
where \(f={[1+\exp (E/{k}_{B}T)]}^{-1}\) is the Fermi function, φ is the angle along the Fermi surface, and Δi(T, φ) = Δ0,iΓ(T/Tc)g(φ) (Δ0,i is the maximum gap value at T = 0). The temperature dependence of the gap is approximated by the expression \(\Gamma (T/{T}_{c})=\tanh \{1.82{[1.018({T}_{c}/T-1)]}^{0.51}\}\),56 while g(φ) describes the angular dependence of the gap and is replaced by 1 for both a single isotropic gap and and two isotropic full gaps, and \(| \cos (2\varphi )|\) for a nodal d wave gap57.
Data availability
All the results are available from the authors upon request.
References
Keimer, B., Kivelson, S., Norman, M., Uchida, S. & Zaanen, J. From quantum matter to high-temperature superconductivity in copper oxides. Nature 518, 179–186 (2015).
Syozi, I. Statistics of kagome lattice. Prog. Theor. Phys. 6, 306 (1951).
Wilson, S. D. & Ortiz, B. R. AV3Sb5. Kagome superconductors. Nat. Rev. Mater. 9, 420–432 (2024).
Ortiz, B. R. et al. New kagome prototype materials: discovery of KV3Sb5, RbV3Sb5, and CsV3Sb5. Phys. Rev. Mater. 3, 094407 (2019).
Ortiz, B. R. et al. CsV3Sb5: a Z2 topological kagome metal with a superconducting ground state. Phys. Rev. Lett. 125, 247002 (2020).
Denner, M. M., Thomale, R. & Neupert, T. Analysis of charge order in the kagome metal AV3Sb5 (A = K, Rb, Cs). Phys. Rev. Lett. 127, 217601 (2021).
Yin, J.-X., Lian, B. & Hasan, M. Z. Topological kagome magnets and superconductors. Nature 612, 647–657 (2022).
Guguchia, Z., Khasanov, R. & Luetkens, H. Unconventional charge order and superconductivity in kagome-lattice systems as seen by muon-spin rotation. npj Quantum Mater. 8, 41 (2023).
Mielke III, C. et al. Time-reversal symmetry-breaking charge order in a kagome superconductor. Nature 602, 245–250 (2022).
Plokhikh, I. et al. Discovery of charge order above room-temperature in the prototypical kagome superconductor La(Ru1−xFex)3Si2. Commun. Phys. 7, 182 (2024).
Neupert, T., Denner, M. M., Yin, J.-X., Thomale, R. & Hasan, M. Z. Charge order and superconductivity in kagome materials. Nat. Phys. 18, 137–143 (2022).
Deng, H. et al. Evidence for time-reversal symmetry-breaking kagome superconductivity. Nat. Mater. 1–6 (2024).
Wagner, G., Guo, C., Moll, P. J. W., Neupert, T. & Fischer, M. H. Phenomenology of bond and flux orders in kagome metals. Phys. Rev. B 108, 125136 (2023).
Kiesel, M. L., Platt, C. & Thomale, R. Unconventional fermi surface instabilities in the kagome Hubbard model. Phys. Rev. Lett. 110, 126405 (2013).
Teng, X. et al. Discovery of charge density wave in a kagome lattice antiferromagnet. Nature 609, 490–495 (2022).
Liu, Y. et al. Superconductivity under pressure in a chromium-based kagome metal. Nature 632, 1032–1037 (2024).
Yang, H. et al. Superconductivity and nematic order in a new titanium-based kagome metal CsTi3Bi5 without charge density wave order. Nature Communications 15, 9626 (2024).
Christensen, M. H., Birol, T., Andersen, B. M. & Fernandes, R. M. Loop currents in AV3Sb5 kagome metals: multipolar and toroidal magnetic orders. Phys. Rev. B 106, 144504 (2022).
Guo, C. et al. Switchable chiral transport in charge-ordered kagome metal CsV3Sb5. Nature 611, 461–466 (2022).
Bonfà, P. et al. Unveiling the nature of electronic transitions in RbV3Sb5 with avoided level crossing μSR. Phys. Rev. Research 7, L032046 (2025).
Wang, K., Chen, S., Kim, S.-W. & Monserrat, B. Origin of competing charge density waves in kagome metal ScV6Sn6. Nat. Commun. 15, 10428 (2024).
Dong, J.-W., Wang, Z. & Zhou, S. Loop-current charge density wave driven by long-range Coulomb repulsion on the kagomé lattice. Phys. Rev. B 107, 045127 (2023).
Graham, J. N. et al. Microscopic probing of the superconducting and normal state properties of Ta2V3.1Si0.9 by muon spin rotation. Commun. Mater. 5, 225 (2024).
Xu, Y. et al. Three-state nematicity and magneto-optical Kerr effect in the charge density waves in kagome superconductors. Nat. Phys. 18, 1470–1475 (2022).
Ingham, J., Thomale, R. & Scammell, H. D. Vestigial order from an excitonic mother state in kagome superconductors AV3Sb5. arXiv preprint arXiv:2503.02929 (2025).
Scammell, H. D., Ingham, J., Li, T. & Sushkov, O. P. Chiral excitonic order from twofold van Hove singularities in kagome metals. Nat. Commun. 14, 605 (2023).
Vandenberg, J. M. & Barz, H. The crystal structure of a new ternary silicide in the system rare-earth–ruthenium–silicon. Mater. Res. Bull. 15, 1493–1498 (1980).
Mielke III, C. et al. Nodeless kagome superconductivity in LaRu3Si2. Phys. Rev. Mater. 5, 034803 (2021).
Mielke III, C. et al. Coexisting multiple charge orders and magnetism in the kagome superconductor LaRu3Si2. Adv. Mater. 37, 2503065 (2025).
Ma, K. et al. Correlation between the dome-shaped superconducting phase diagram, charge order, and normal-state electronic properties in LaRu3Si2. Nat. Commun. 16, 6149 (2025).
Misawa, R. et al. Chemical enhancement of superconductivity in LaRu3Si2 with mode-selective coupling between kagome phonons and flat bands. Phys. Rev. Res. 7, 033032 (2025).
Deng, J. et al. Theory of superconductivity in LaRu3Si2 and predictions of new kagome flat band superconductors. arXiv preprint arXiv:2503.20867 (2025).
Li, Z. et al. Superconducting dome and structural changes in LaRu3Si2 under pressure. Phys. Rev. B 111, 144505 (2025).
Gong, C. et al. Superconductivity in kagome metal YRu3Si2 with strong electron correlations. Chin. Phys. Lett. 39, 087401 (2022).
Brandt, E. Flux distribution and penetration depth measured by muon spin rotation in high-Tc superconductors. Phys. Rev. B 37, 2349 (1988).
Mielke III, C. et al. Local spectroscopic evidence for a nodeless magnetic kagome superconductor CeRu2. J. Phys.: Condens. Matter 34, 485601 (2022).
Ushioda, T. & Muranaka, T. Two-gap superconducting states of LaRu3Si2. Physica C 625, 1354583 (2024).
Uemura, Y. et al. Universal correlations between Tc and ns/m*(carrier density over effective mass) in high-Tc cuprate superconductors. Phys. Rev. Lett. 62, 2317 (1989).
Sedlak, K., Scheuermann, R., Stoykov, A. & Amato, A. Geant4 simulation and optimisation of the high-field μSR spectrometer. Physica B 404, 970–973 (2009).
Guguchia, Z. et al. Hidden magnetism uncovered in a charge ordered bilayer kagome material ScV6Sn6. Nat. Commun. 14, 7796 (2023).
Li, H., Kim, Y. B. & Kee, H.-Y. Intertwined van Hove singularities as a mechanism for loop current order in kagome metals. Phys. Rev. Lett. 132, 146501 (2024).
Jiang, Y.-X. et al. Van Hove annihilation and nematic instability on a kagome lattice. Nat. Mater. 23, 1214–1221 (2024).
Kim, S.-W., Oh, H., Moon, E.-G. & Kim, Y. Monolayer kagome metals AV3Sb5. Nat. Commun. 14, 591 (2023).
Guo, C. et al. Correlated order at the tipping point in the kagome metal CsV3Sb5. Nat. Phys. 20, 579–584 (2024).
Kresse, G. & Furthmüller, J. Efficient iterative schemes for ab initio total-energy calculations using a plane-wave basis set. Phys. Rev. B 54, 11169–11186 (1996).
Blöchl, P. E. Projector augmented-wave method. Phys. Rev. B 50, 17953–17979 (1994).
Perdew, J. P. et al. Restoring the density-gradient expansion for exchange in solids and surfaces. Phys. Rev. Lett. 100, 136406 (2008).
Popescu, V. & Zunger, A. Extracting E versus k effective band structure from supercell calculations on alloys and impurities. Phys. Rev. B 85, 085201 (2012).
Zheng, Q. VaspBandUnfolding https://github.com/QijingZheng/VaspBandUnfolding(2018).
Lloyd-Williams, J. H. & Monserrat, B. Lattice dynamics and electron–phonon coupling calculations using nondiagonal supercells. Phys. Rev. B 92, 184301 (2015).
Zimmermann, M. V. et al. P21.1 at PETRA III—a high-energy X-ray diffraction beamline for physics and chemistry. J. Synchrotron Radiat. 32, 802–814 (2025).
Petr^íček, V., Palatinus, L., Plášil, J. & Dušek, M. Jana 2020—a new version of the crystallographic computing system Jana. Z. Kristallogr.—Cryst. Mater. 238, 271–282 (2023).
Khasanov, R. et al. Magnetic penetration depth in RbOs2O6 studied by muon spin rotation. Phys. Rev. B 72, 104504 (2005).
Suter, A. & Wojek, B. Musrfit: a free platform-independent framework for μSR data analysis. Phys. Procedia 30, 69 (2012).
Tinkham, M. Introduction to Superconductivity 2nd edn (Dover Publications, 2004).
Carrington, A. & Manzano, F. Magnetic penetration depth of MgB2. Physica C 385, 205 (2003).
Guguchia, Z. et al. Direct evidence for a pressure-induced nodal superconducting gap in the Ba0.65Rb0.35Fe2As2 superconductor. Nat. Commun. 6, 8863 (2015).
Guguchia, Z. et al. Tunable unconventional kagome superconductivity in charge ordered RbV3Sb5 and KV3Sb5. Nat. Commun. 14, 153 (2023).
Khasanov, R. et al. Time-reversal symmetry broken by charge order in CsV3Sb5. Phys. Rev. Res. 4, 023244 (2022).
Arachchige, H. W. S. et al. Charge density wave in kagome lattice intermetallic ScV6Sn6. Phys. Rev. Lett. 129, 216402 (2022).
Acknowledgements
The μSR experiments were carried out at the Swiss Muon Source (SμS) Paul Scherrer Insitute, Villigen, Switzerland. Z.G. acknowledges support from the Swiss National Science Foundation (SNSF) through SNSF Starting Grant (No. TMSGI2_211750). Z.G. acknowledges the useful discussions with Dr. Robert Scheuermann. S.-W.K. acknowledges support from a Leverhulme Trust Early Career Fellowship (ECF-2024-052). K.W., B.M., and S.-W.K. acknowledge support from a UKRI Future Leaders Fellowship [MR/V023926/1]. I.P. acknowledges support from the Paul Scherrer Institute research grant no. 2021 01346. The computational resources were provided by the Cambridge Tier-2 system operated by the University of Cambridge Research Computing Service and funded by EPSRC [EP/P020259/1], and by the UK National Supercomputing Service ARCHER2, for which access was obtained via the UKCP consortium and funded by EPSRC [EP/X035891/1]. Z.W. is supported by the U.S. Department of Energy, Basic Energy Sciences Grant DE-FG02-99ER45747. L.M., J.O., and I.B. acknowledge support from UZH Grants project numbers FK-23-128, K-22-095, and FK-23-113. Part of this research was conducted at the P21.1 beamline at DESY, a member of the Helmholtz Association (HGF). We would like to thank Fernando Igoa for their technical assistance during the experiment.
Author information
Authors and Affiliations
Contributions
Z.G. conceived, designed, and supervised the project. Density functional theory calculations: S.-W.K., K.W., and B.M. Sample growth: A.L., M.Sa., and F.v.R. Magnetotransport experiments: V.S. and Z.G. Magnetization experiments: P.K. and Z.G. Laboratory X-ray diffraction experiments: I.P., D.G., and Z.G. X-ray diffraction experiments at DESY and corresponding analysis: P.K., O.G., I.B., L.M., J.O., M.Sp. M.V.Z., J.C., and Z.G. Muon spin rotation experiments, analysis, and corresponding discussions: Z.G., P.K., J.N.G., V.S., O.G., S.S.I., A.D., H.L., R.K., J.-X. Yin, and Z.W. Figure development and writing of the paper: Z.G., P.K., S.-W.K., with contributions from all authors. All authors discussed the results, interpretation, and conclusion.
Corresponding authors
Ethics declarations
Competing interests
The authors declare no competing interests.
Peer review
Peer review information
Nature Communications thanks Chao Cao, and the other, anonymous, reviewer(s) for their contribution to the peer review of this work. A peer review file is available.
Additional information
Publisher’s note Springer Nature remains neutral with regard to jurisdictional claims in published maps and institutional affiliations.
Supplementary information
Rights and permissions
Open Access This article is licensed under a Creative Commons Attribution-NonCommercial-NoDerivatives 4.0 International License, which permits any non-commercial use, sharing, distribution and reproduction in any medium or format, as long as you give appropriate credit to the original author(s) and the source, provide a link to the Creative Commons licence, and indicate if you modified the licensed material. You do not have permission under this licence to share adapted material derived from this article or parts of it. The images or other third party material in this article are included in the article’s Creative Commons licence, unless indicated otherwise in a credit line to the material. If material is not included in the article’s Creative Commons licence and your intended use is not permitted by statutory regulation or exceeds the permitted use, you will need to obtain permission directly from the copyright holder. To view a copy of this licence, visit http://creativecommons.org/licenses/by-nc-nd/4.0/.
About this article
Cite this article
Král, P., Graham, J.N., Sazgari, V. et al. Discovery of high-temperature charge order and time-reversal symmetry-breaking in the kagome superconductor YRu3Si2. Nat Commun 17, 1121 (2026). https://doi.org/10.1038/s41467-025-67881-4
Received:
Accepted:
Published:
Version of record:
DOI: https://doi.org/10.1038/s41467-025-67881-4









