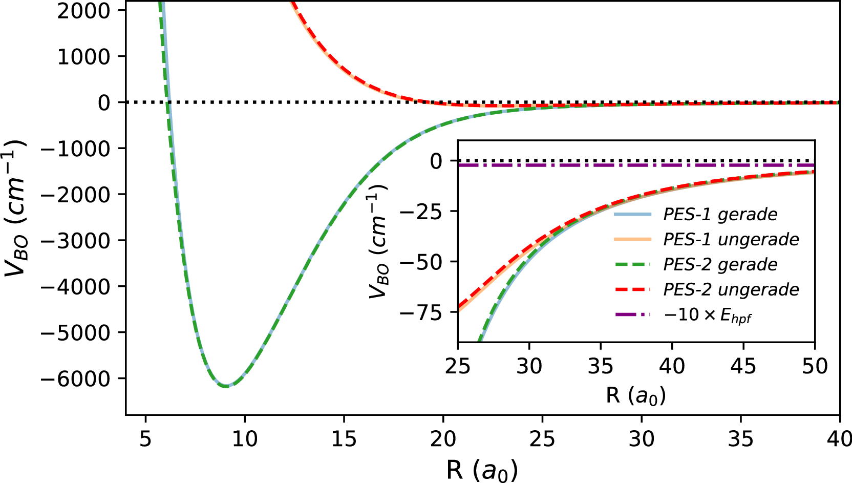
Fig. 9: Born-Oppenheimer potential energy curves.
From: Quantum suppression of cold reactions far from the s-wave energy limit

Two publicly available potential energy curves (PECs) for the 87Rb − 87Rb+ complex are shown in the short-range regime. Solid lines denote PES-1, constructed using data accompanying ref. 86; dashed lines denote PES-2, based on the data and code provided in ref. 87. The inset highlights the region of intermediate internuclear separation where electronic wavefunction overlap decays exponentially. For reference, the atomic hyperfine energy of 87Rb, scaled by a factor of 10, is also shown.