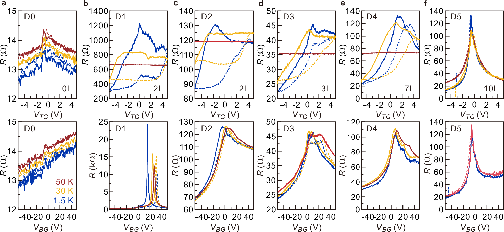
Fig. 2: Spacer-thickness dependence of gate-induced hysteresis in longitudinal resistance.
From: Ferroelectric switching of interfacial dipoles in α-RuCl3/graphene heterostructure

Dependence of longitudinal resistance on top gate voltage (upper panels) and back gate voltage (lower panels) for a device D0 (without thin hBN spacer), b device D1 (bilayer hBN), c device D2 (bilayer hBN), d device D3 (trilayer hBN), e device D4 (seven-layer hBN), and f device D5 (ten-layer hBN). Device numbers and corresponding hBN thickness are indicated in each upper panel. Red, yellow, and blue curves correspond to measurements at 50 K, 30 K, and 1.5 K, respectively.Device D0, without hBN, shows no measurable hysteresis at any temperature, confirming the critical role of spacer thickness.