Abstract
The presence of multiple global change factors affects most ecosystems. Urban soils face stressors like heat, drought, road salt, nitrogen deposition, surfactants, and microplastics. Given that combined factors of global change have shown unpredictable effects, we here ask which individual factors have particularly negative effects in multifactorial contexts. We explore this through a subtractive design, comparing single-factor treatments (addition) to treatments where a specific factor is removed (subtraction). The results vary from predominantly negative, positive, to mixed effects. However, removing these factors from a multi-factor context generally improves soil properties and biological processes. Resource related factors enhance microbial activity individually but show no such benefit in multi-factor scenarios. Our findings highlight that the combined effects of factors often differ from their individual impacts. In restoration, priority should be given to mitigating factors with the strongest negative influence in multi-stressor contexts, rather than targeting those with significant isolated effects.
Similar content being viewed by others
Introduction
Human influence on ecosystems is omnipresent and multi-faceted. Among the general anthropogenic influences relevant to the soil ecosystem are urbanization, agriculture, globalization and industrial activities1,2. The resulting factors are diverse and can be of biological, chemical and physical nature. They include artificial light at night, warming, soil compaction and sealing, the introduction of plastics, nutrient enrichment, drought, elevated CO2, heavy metals, salinity, biocides and the spread of invasive species3,4.
Individual anthropogenic factors can reinforce or attenuate each other. Warming without water limitation usually leads to increased plant biomass, while additional drought reverses the effect to the negative, as warming promotes evaporation of water from plants and soil5. This example demonstrates, as shown in many other studies, how one global change factor can amplify, reduce or reverse the effect of other factors6, but it is unclear whether such interactions between two factors are more likely to be antagonistic or synergistic5,7. Global change consists of numerous interacting factors. Nevertheless, in research practice, experiments typically deal with just one or two factors8. In an experiment in which global change factors were randomly selected from a pool of 10 to create a gradient with an increasing number of factors, it was demonstrated that an increasing number of anthropogenic factors can cause increasing directional changes in soil properties, function, and soil biodiversity8. Other studies using factor gradients have drawn similar conclusions for different plant and soil systems. The main finding of studies applying factor gradients is that an increasing number of global change factors often has stronger negative effects than predicted by the addition of individual factors9,10,11,12. While factor gradients can be applied to ask whether the effect of multiple interacting factors can be predicted by single factor effects, we here propose a design that provides a step toward a more mechanistic understanding, focusing on the effect of individual factors in isolation and within a multifactorial context with implications for restoration efforts. This enables us to identify factors with the most dramatic impacts when combined with other factors of global change, and this is an important aspect thus far not covered by any of the studies using factor gradient approaches.
The presence or intensity of global change factors hinder restoration efforts making it necessary to reduce the number of global change factors. This raises the question of which global change factors should be reduced or eliminated first. While restoration approaches have often focussed on vegetation, soil organisms and processes have been less frequently considered13. An unconventional but emerging field for conservation efforts is urban ecosystems, with their particular intensity and diversity of global change factors. In urban areas, global change factors occur in specific combinations and with great heterogeneity, creating unique difficulties for urban soil restoration14. Prioritizing the elimination of factors of global change with a particularly strong effect in combination with other factors could therefore be a promising approach for restoration efforts.
In our experiment, we use a subtractive design to test effects on soil processes and functions influenced by global change factors that frequently co-occur in urban environments: warming, drought, salinity, nitrogen deposition, car tire abrasion, and surfactant. We compare the difference in effect sizes and directions between control and single factor addition with all factors and all factors minus one single factor. In doing so, we test the following three hypotheses: (1) Due to the nature of the chosen global change factors there will be positive, negative and neutral single factor effects. Some of the chosen global change factors are resources or stressors, depending on the soil function or process in focus. (2) Higher order factor combinations will negatively affect soil functions and processes irrespective of the sign and magnitude of the single global change factor treatments. (3) Effect size magnitudes and directions will differ depending on whether a factor is added to control soil or whether the factor is removed from the background of the multiple global change factors because of synergistic and antagonistic effects of factor combinations. In the context of restoration, it is important to take such differences into account when deciding which anthropogenic factors should be prioritized for reduction or removal efforts.
Results
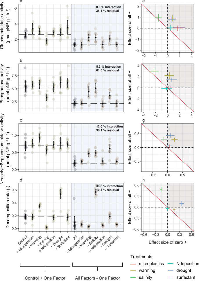
In the following, the effects of the single factors compared to the control, the effects of the factor in the background of the multiple factors and the correspondence between these effect sizes and directions will be presented for the response variables related to microbial activity (enzyme activity and decomposition), and soil structure and properties (mean weight diameter, water stable aggregates, and water drop penetration time). In general, salinity caused negative effects on soil functions and processes as a single factor, while in the background of the multiple factors, removed salinity improved functions and processes compared to the combination of all global change factor treatments (p-values shown in Table 1, R² values for redundancy analysis and variance partitioning in Supplementary table 2). Warming effects were mostly positive when comparing single factor treatments to the control, but also positive when removed from the background of the multiple factors. Drought had negative, positive, and neutral effects in both single factor addition and in the background of the multiple factors. For microplastic and surfactant, only trends could be detected. Warming and drought were similar to each other in effect size and direction and salinity effects showed more similarity to drought effects (Supplementary Fig. 1).
Single factor effects compared to control
Salinity had negative effects on β-D-glucosidase activity, acid phosphatase activity, and decomposition (Fig. 1a, e, b, f, d, h). The percentage of water stable aggregates (WSA) decreased in the salinity treatments (Fig. 2b, e) and mean weight diameter (MWD) was unaffected (Fig. 2a, d). Warming increased N-acetyl-β-glucosaminidase activity (Fig. 1c, g) and WSA. The MWD was negatively affected by the addition of drought. Additionally, drought increased the time for a droplet of water to infiltrate (Fig. 2c, f). However, drought increased the decomposition rate (Fig. 1d, h). Microplastics and surfactants showed a trend to increase β-D-glucosidase activity (Fig. 1a, e). N deposition had no measurable effects.
a–d The left part of the graph (white background) shows the control and the single factor treatments. The dashed line shows the mean value of the control plots. Dots reflect the measured values (10 replicates each), marked with a black filled dot is the mean, the 95 % confidence interval is shown by the line passing through the dot. On the right side of the graph, the combination of all global change factors (dashed line as mean), is compared to the treatment combinations, from which each of the single factors is subtracted. Redundancy analysis (RDA) and variance partitioning were performed to quantify the relative contribution of each factor, as well as their interactions, and residual (biological noise or measurement errors), presented in the upper right corner of the panel. e–h To visualize the effect directions of factor addition and subtraction treatments, bootstrapped (n = 100) effect size of factor addition were plotted on the x axis and the effect of factor removal on the y-axis. Different factors of global change are represented by different colors. Factor effects on the diagonal red line indicate that the effect of the factor in the multi-factor background has the direction and intensity expected from the single-factor effect. Factor effects in the gray shaded area indicate that a factor in combination with other factors has a more negative effect than expected from the single factor effect. Dark gray areas (upper right) represent positive single factor effects that have a negative effect when combined with other factors (effect size of single factor positive, effect size of factor removal positive as well). Source data are provided as a Source Data file.
a–d The left part of the graph (white background) shows the control and the single factor treatments. The dashed line shows the mean value of the control plots. Dots reflect the measured values (10 replicates each), marked with a black filled dot is the mean, the 95 % confidence interval is shown by the line passing through the dot. On the right side of the graph (gray background), the combination of all global change factors (dashed line as mean), is compared to the treatment combinations, from which each of the single factors is subtracted. Redundancy analysis (RDA) and variance partitioning were performed to quantify the relative contribution of each factor, as well as their interactions, and residual (biological noise or measurement errors), presented in the upper right corner of the (e–h), To visualize the effect directions of factor addition and subtraction treatments, bootstrapped (n = 100) effect size of factor addition were plotted on the x axis and the effect of factor removal on the y axis. Different colors represent different global change factors. Factor effects on the diagonal red line indicate that the effect of the factor in the multi-factor background has the direction and intensity expected from the single-factor effect. Factor effects in the gray shaded area indicate that a factor in combination with other factors has a more negative effect than expected from the single factor effect. Dark gray areas (upper right) represent positive single factor effects that have a negative effect when combined with other factors (effect size of single factor positive, effect size of factor removal positive as well). Source data are provided as a Source Data file.
Effects of all global change factors compared to control and single factors
The combination of all global change factors consistently showed strong negative effects compared to the control. The effects of single factors were less intense than the effect of all factors in combination. There was one exception regarding the response variable water drop penetration time. Here, the effect of the single factor drought was not significantly different from the combination of all factors.
Effects of the removal of single factors from the background of all global change factors
When factors are subtracted from the background of all other global change factors, the effect can be influenced by the factor itself, its interaction with other factors or unexplained variability (biological noise or measurement errors). In order to differentiate between these causes, and to pinpoint what part of the variability is not due to noise or measurement error, we expressed these sources of variance as shared variance and residual variance, the latter capturing measurement error or biological noise. For enzyme activity, there was generally lower shared interaction among factors of global change (0−12) and a higher proportion of unexplained variance (35.1–61.5%) than in other response variables, indicating a rather strong influence from biological noise on this pattern. In decomposition, MWD, and water drop penetration time, we found shared variance among factors meaning that the contribution of factors is influenced by interactions with other factors of global change (26.1–39.8%), and less due to biological noise or measurement error for decomposition and MWD (10.4%, 27.0%, respectively). However, the contribution of biological noise or measurement error contributed more to water drop penetration time (46.7%).
Salinity removal from the background of all global change factors significantly improved all response variables except for MWD. In the enzyme activity it independently explained 18.4% of the total variance in N-acetyl-β-glucosaminidase, 13% in β-D-glucosidase activity, and 27.7% in acid phosphatase indicating relatively robust effects. For decomposition, the independently explained variance of salinity was even higher (47.0%). For WSA, 31.4% of the total variance could be explained by salinity alone and 6.7% in water drop penetration time. Multiple global change factor treatments with removed warming showed more enzyme activity compared to treatments with all factors. The factor warming independently explained 12.7–15.9% of the total variance for the activity of the soil enzymes. However, in all other response variables warming explained less than 1% of the total variance. Drought effects in the background of the multiple factors were negative - removing drought improved the performance of all response variables except for WSA. Drought was not the main factor explaining decomposition (1.5%); instead, salinity explained most of the variance. However, it accounted for 44.3% of the variance in MWD, indicating a strong and robust effect on this response variable. With 14.2% of the variance explained, drought had the greatest influence on water drop penetration time. N deposition, surfactant, and microplastic removal did not affect the response variables.
Correspondence between effects of factors applied singly and in the background of other factors
Comparing effects of factor additions and effects of factors in the background of the multiple factors, some factors of global change showed different effect sizes and directions in single factor addition versus removal from the background of multiple factors.
Salinity as a single factor had mostly negative effects and correspondingly positive effects when it was removed from the background of the multiple factors. On N-acetyl-β-glucosaminidase activity, salinity had no significant effect, but removal from the multiple global change factor background caused an increase in N-acetyl-β-glucosaminidase activity (effect size = 0.30, 95% Confidence Intervals = 0.21, 0.39, p = < 0.001) (Table 1, Supplementary information. Salinity treatment decreased acid phosphatase activity compared to the control was (effect size = 2.24, 95% Confidence Intervals = 3.45, −1.47, p = < 0.001). An increase of acid phosphatase activity could be detected when comparing all global change factor treatments with the multiple global change factor treatment with removed salinity (effect size = 2.83, 95% Confidence Intervals = 2.07, 3.64, p = <0.001). Salinity also decreased β-D-glucosidase activity with a similar effect size (−0.76, 95% Confidence Intervals = −1.12, −0.38, p = < 0.001), as removed salinity from the multiple factor background increased β-D-glucosidase activity (effect size = 0.87, 95% Confidence Intervals = 0.48, 1.31, p = <0.001). Decomposition of wood was negatively affected by salinity (effect size = −1.16, 95% Confidence Intervals = −0.19, −0.13, p = <0.001), whereas removal of salinity from the background of the multiple factors showed a positive, but less pronounced, effect (effect size 0.47, 95% Confidence Intervals = 0.32, 0.53, p = <0.001).
Salinity had neutral or negative effects on soil structure and properties. The percentage of WSA decreased in the salinity treatments (effect size = −11.91, 95% Confidence Intervals = −16.71, −6.08, p = <0.001). Multiple global change factor treatments without salinity had an equally high amount of WSA as the control. No single factor effects of salt on water drop penetration time could be observed because of low values in the control, but in the multiple global change factor background with removed salt, the time required for a drop of water to be absorbed into the soil is extended further (effect size = 17.56, 95% Confidence Intervals = 5.26, 29.63, p = <0.050).
Warming as a single factor had positive or neutral effects, but removing warming from the multiple factor background always increased response variables related to microbial activity. Warming did not affect β-D-glucosidase activity, but in the background of the multiple factors removal of warming increased enzyme activity (effect size = 0.87, 95% Confidence Intervals = 0.46, 1.22, p = <0.001). Similarly, acid phosphatase activity was not affected by addition of warming, but removing it from the multiple global change factor background caused an increase in activity (effect size = 2.14, 95% Confidence Intervals = 1.18, 2.88, p = <0.001). Addition of warming positively affected N-acetyl-β-glucosaminidase activity (effect size = 0.23, 95% Confidence Intervals = 0.08, 0.38, p = <0.0245). Removal of warming from the multiple factor background also resulted in an increase of N-acetyl-β-glucosaminidase activity (effect size = 0.28, 95% Confidence Intervals = 0.17, 0.36, p = <0.001). Decomposition of wood was increased in warming treatments compared to the control (effect size = 0.17, 95% Confidence Intervals = 0.13, 0.20, p = <0.001). However, removal of warming from the background of the multiple global change factors did not affect the decomposition rate.
The only response variable considering soil structure and properties affected by warming was WSA. WSA increased in warming treatments (effect size = 7.75, 95% Confidence Intervals = 3.39, 13.35, p = 0.0205), but removing the factor warming in the multiple global change factor treatments did not have a significant effect.
Drought had mostly neutral effects as single factor and positive effects when it was removed from the factor background. Drought as single factors did not affect enzyme activity, but in the background of the multiple factors, removal of drought increased β-D-glucosidase activity enzyme activity compared to treatments with all factors (effect size = 0.68, 95% Confidence Intervals = 0.31, 1.08, p = <0.00671) as well as acid phosphatase activity (effect size = 2.14, Confidence Intervals = 1.18, 2.88, p = < 0.001) and N-acetyl-β-glucosaminidase activity (effect size = 0.43, 95% Confidence Intervals = 0.30, 0.55, p = < 0.001). Decomposition of wood was increased in drought treatments compared to the control (effect size = 0.35, 95% Confidence Intervals = 0.25, 0.40, p = < 0.001) (Fig. 1d, h). Removing drought from the background of the multiple factors showed a positive effect on decomposition (effect size = 0.09, 95% Confidence Intervals = −0.07, 0.15, p = < 0.001). Looking at soil structure and properties, the MWD was negatively affected by the single factor addition of drought (effect size = −0.50, 95% Confidence Intervals = −0.61, −0.33, p = < 0.001). The removal of drought from the multiple factor background led to an increase in MWD (effect size = 0.64, 95% Confidence Intervals = 0.47, 0.84, p = < 0.001).
Drought increased the water drop penetration time (effect size = 5.45, Confidence Intervals = 3.25, 7.80, p = < 0.001). When drought was removed from the global change factor background there was no difference between the other global change factors combined and the control.
Discussion
Using a subtractive experimental design, we here compare the effects of a single global change factor with the effects of that factor acting in concert with an assemblage of multiple other factors. Previous experimental designs did not offer the opportunity for this analysis. We find that the effect sizes of factor addition and removal were not always the same, nor did the effect go in the opposite direction in every case; meaning the same factor had opposite effects when acting alone or in concert with others. For example, we observed that even a factor with a positive single factor effect, like warming, can be a burden when jointly acting with multiple global change factors, as seen by its removal from the set of factors eliciting a positive effect, rather than the expected negative effect. We excluded effects via other parameters such as pH and soil nutrients.
Single factor effects
Supporting our first hypothesis, the chosen global change factors showed positive, negative and neutral single factor effects. Within the single factor treatments, we found negative effects of salinity on phosphatase and glucosidase activity, on decomposition rate and water stable aggregates. Salinity could reduce enzyme activity in several ways: osmotic desiccation of microbial cells releasing intracellular enzymes, altering of the ionic conformation of the active site of the enzyme protein, or a specific ion toxicity causing nutrient imbalance for microbial growth and subsequent enzyme synthesis15. Negative effects of salinity on enzyme activity and decomposition are therefore plausible and have also been confirmed by other studies16,17. For the water stability of soil aggregates, salinity has been found to increase16 or decrease WSA18. The soil texture and intensity of salt stress may lead to divergence of results. A reduction of WSA in saline soil could be explained by its disintegration properties causing slaking of aggregates, but also by a reduction of activity of microbes involved in aggregate formation and stabilization, such as mycorrhizal fungi19, or potentially other fungi important for soil aggregation20,21. Since the control soil absorbed the water within one second, single factor treatment effects that may have lowered water drop repellency were not detectable. Only in multiple factor backgrounds were effects of anthropogenic factors detectable for this variable. Multiple global change factor treatments very strongly increased water drop penetration time, especially in treatments without salt, suggesting that in a more water repellent control soil, this factor may have had a positive influence. A positive effect of salinity on water drop penetration time has been found in an urban context22. However, in an agricultural system, including plants in the field, effects on watering with saline sewage showed the opposite effect of increasing soil water repellency23.
Warming frequently caused positive effects in the single factor treatments, mainly in N-acetyl-glucosaminidase activity, decomposition, and WSA. A trend of increased N-acetyl-glucosaminidase activity in warming treatments was also found in a meta-analysis on the effects of global change on soil extracellular enzyme activities24. Warmed environments without water limitation are thought to promote plant growth and microbial activity25, increase fungal hyphal growth and enhance secretion of binding agents26. This may also lead to higher water stability of aggregates. However, effects are not always clear. Rillig et al.27 observed a negative effect of temperature increase on water stability of aggregates in annual grassland.
In our experiment, drought had positive, negative, or neutral effects depending on the response variable. Decomposition was positively affected by drought, MWD negatively. A lower MWD under drought in the upper soil layer due to the loss of macroaggregates was also found in other studies28. In our case, however, no change in the supply of organic plant material could have taken place and the enzyme activity of the microorganisms also showed no change under drought stress. Lignin and therefore wood decomposition is mainly performed by fungi, which are more drought tolerant than bacteria29, but usually, drought decreases wood decomposition30,31. Drought also increased the water drop penetration time. However, WSA was not affected. Precipitation likely plays a key role in root-mediated aggregate stability32, which could be the reason why we did not find effects of drought on WSA, since our experiment did not include plants.
Microplastics, surfactant and N deposition did not have significant effects when applied in isolation. For ß-glucosidase activity, a positive trend of microplastic and surfactant was detected, probably due to the use of these additives as a carbon source33. Only ß-glucosidase activity was slightly increased, which supports the hypothesis of Leifheit et al.33 that tire abrasion could be used as an additional carbon source only by certain microbes, thus leading to shifts in the community. The chemical surfactant sodium dodecyl sulfate can also be rapidly mineralized by microbes, possibly leading to the substance being degraded after 6 weeks of incubation34. Positive effects of N addition on enzyme activity were found in a meta-analysis24 but not in our study. Effects on decomposition or soil structure were also not found, possibly because the dose we used was quite low.
Combined effects of all factors
As hypothesized (hypothesis 2), higher order factor combinations negatively affected soil functions and processes irrespective of the sign and magnitude of the single global change factor treatments, supporting our second hypothesis and previous work8. Environmental changes that lead to new combinations of change factors, such as land use change, often lead to relatively homogeneous effect directions of various response variables, even if some of the individual factors show heterogeneous effect directions35. However, experiments combining more than two global change factors are rare8 and not only factor number, but also their identity and dissimilarity play a role in predicting multiple global change factor effects9.
In a study testing global change factor effects on a plant community mesocosms a single factor (eutrophication) had a strong effect on plant biomass that was not increased by a combination of six global change factors including eutrophication, while for other response variables, the effect of the combination of factors was stronger than the single factor effects12. Similarly, in our experiment, MWD and water drop penetration time did not show a significantly different effect of all factors combined compared to the single factor effect of drought. Conversely, all multiple global change treatments without drought had a similar aggregate size distribution and water drop penetration time as the control.
Effects of omitting factors
According to our third hypothesis, effect size magnitudes and directions would differ depending on whether a factor was added as a single factor or removed from a background of multiple global change factors because of synergistic and antagonistic effects of factor combinations. These results can be viewed in two different ways: by observing the effect of the removal of a factor we can deduce how this factor must have acted in concert with all the other factors. In a more indirect way, we can interpret such removal effects also in a more applied sense, namely as the potential benefit of excluding factors in a management context. In our discussion here we initially focus on the first case.
We found positive and neutral effects of removing factors, but no negative effects, meaning all factors contributed to negative effects in the context of the set of factors present. Removing salinity from a background of multiple global change factors was beneficial for all measured response variables, except for MWD, where single factor addition also did not cause an effect. Warming, despite many positive single factor effects, had negative effects in a background of other global change factors. One mechanism of warming directly influencing other factors of global change is shifting reaction rates36. Potentially, warming increased the concentration of salts in the soil solution, since water has evaporated due to increased temperature and therefor acts as a concentration amplifier36. Drought as well leads to a decrease in soil water content and therefore other factors become more concentrated36. Consistent with this, Qadeer et al.37 found negative effects of the single factors drought and salinity on soil extracellular enzyme activity and stronger negative effects of the combination of these stressors. In our experiment global change factor combinations without drought but with salinity show a higher decomposition rate than when both treatments are combined most likely because an increased water availability mitigates the osmotic effects of salinity.
The trend of increased ß-glucosidase in the single treatments of microplastics and nitrogen addition could not be detected when comparing the removal of these factors with the combined factor treatment. Given the potential use of these substances as a resource for microbes and the reduction in overall enzyme activity in soil treated with multiple global change factors, the already small single factor effects of microplastics and nitrogen were not detectable. A lower abundance or activity of microbes could be an explanation that would reduce the effect of adding a resource. Using maize residues as a resource Wichern, Wichern and Joergensen38 found a positive effect on microbial biomass in soils with low salinity, but no effect in soils with high salinity. This supports the notion that a multi-factor background that already limits microbial processes can cause factors that represent a provision of resources to have limited effects. We found a higher proportion of unexplained variance in enzymatic activity, which could be due to measurements being taken in small volumes, for example. As an indicator of soil health, enzymatic activity is recommended for use alongside other biological or physicochemical measurements, as we do here39.
Compared to studies that test gradients of an increasing number of global change factors8,9,11,12,40, the subtractive study design also provides information on the effect of a single factor in combination with all other factors; this is not possible in the ‘additive’ designs used previously, since the identity of factors added along the factor number gradient created in such experiments is by necessity randomly determined. While we now know how factors contribute to overall effects in a high-dimensional background, the mechanisms underlying such effects need to still be elucidated. It is likely that not only direct effects of factor interactions influenced our results, but also indirect effects of factors on soil microorganisms, leading to non-additivity of factor combinations36. Future experiments should include more complex systems including other groups of organisms, specifically plant-soil systems.
Novel experimental designs are urgently needed to learn more about the mechanisms of how multiple factors affect soils and ecosystems. The subtractive design we introduce here can provide insights into the different effects of factors by omitting them from a set of jointly acting factors. This design can be leveraged specifically to learn about the high-dimensionality end of factor interactions, by directly manipulating factor presence in the background of larger groups of interacting factors. We conclude that the effect size and direction of a factor added in isolation does not carry information about the effect of removing this same factor from a set of interacting factors - not even in terms of effect direction. Our results are potentially highly relevant for the restoration of ecosystems (even though we did not remove factors in our experiment, as would be the case in restoration practice, but rather did not add them). Based on our results, it would be advisable to first target those factors that cause the strongest negative effects in multiple-factor situations, not necessarily the factors causing the strongest negative single effects; in our case for example salinity was the factor with the strongest negative single factor effect and the strongest negative effect in multiple-factor settings. However, warming had mostly positive single factor effects but strong negative effects when interacting with multiple global change factors and mitigating this factor may thus be equally important. Our study can serve as a blueprint for additional work testing these ideas in other contexts and at higher levels of system complexity (e.g., with plant communities). It can as well be applied in different contexts, where factor gradients have been tested, to ask a different question: does the effect of a single factor differ when tested in isolation from the effect it has in a multi-factor context - irrespective of whether it is multiple factors of global change8,9,10,11,12, restoration amendments41,42, or species43,44.
Methods
Experimental set up
We used 140 50 mL tubes (Corning propylene centrifuge tubes) as experimental units. Screw-top caps had holes with hepa filters to allow ventilation while preventing microbial contamination. Temperature sensors were integrated into two additional tubes. The tubes were placed in cups filled with sand to stabilize and thermally isolate them from neighboring units. Tubes were filled with 25.0 g of soil (from a grassland experimental site of Freie Universität Berlin (52° 33’ 09.53”N, 12° 40’ 07.86” E), an Albic Luvisol containing 6% sand, 18.8% silt and 7.6% clay; 6.9 mg/100 g P; 5.0 mg/100 g K (analyses conducted by LUFA Rostock Agricultural Analysis and Research Institute, Germany). Soil was dried at room temperature and sieved to 2 mm). 5.0 g of soil was sterilized (autoclaved, 121 °C, 1 h) to be used as “loading soil”: this soil was mixed with the appropriate dose of each treatment and then added to the 25.0 g of soil to be filled in the conical tubes. We used this loading soil to achieve more effective mixing of the treatments; the soil was sterilized to avoid exaggerated effects on the soil community due to the higher concentration of chemicals added to this soil. The experiment was set up in a climate chamber (incubation in the dark, 60% relative humidity, ambient temperature, relative humidity, ambient temperature 20 °C. At the start of the experiment, we added water (equivalent to 60% water holding capacity) to each experimental unit (except for treatments containing drought, which received an amount of water equivalent to 30% water holding capacity). After three weeks, the water holding capacity was readjusted. The experiment ran for six weeks.
Experimental design
Treatments were the global change factors warming, drought, salinity, N deposition, microplastic (car tire abrasion), and surfactant in doses that were detected in urban environments (see below and Fig. 3). The control was compared with the single factor treatment addition (+) and the combination of all global change factors was compared with treatments in which one of the factors was dropped from the background of the multiple global change factors (-). Each treatment was replicated ten times. The temperature treatment was applied using a heating cable wrapped around the individual tubes (PT2011, Exo Terra, Germany) with a separate controller per experimental unit (ETC-902, VOLTCRAFT, Germany). Temperature sensors were installed to monitor the heating cable performance, logged temperature mean was 20.54 °C (sd 0.4) for control and 26.44 °C (sd 0.49) for the warming treatment. Warming was achieved by increasing the temperature by 5 °C, as can be observed in centers of highly urbanized cities45, and as is predicted for long-term climate change. Drought was 30% of water holding capacity compared to 60%46,47. Salinity was achieved by adding NaCl until a moderate electrical conductivity of 3.0 dS m-1 was reached (Supplementary Fig. 2c)48. As nitrogen deposition treatment, NH4NO3 was added to the equivalent of 18 kg N ha −1 yr −1 to simulate urban N deposition49. Tire wear particles were added at a concentration of 1 g per kg soil33 and the surfactant sodium dodecyl sulfate was added at 16 mg per kg soil. Surfactant concentrations in graywater effluents can range from 0.7 to 70 mg L⁻¹50, and from 0.2 to 20 g kg⁻¹ in sewage sludges, leading to soil concentrations of up to several mgkg⁻¹51. Experimental studies involving surfactant application have used different dose levels52. A synthetic anionic surfactant was applied at concentrations of 16 mg kg⁻¹ in both a field study (Figge & Schöberl, cited in ref. 53) and a greenhouse experiment9. Based on these, we selected this concentration of sodium dodecylbenzenesulfonate to simulate a surfactant-contaminated hotspot.
a Treatments were warming, drought, salinity, N deposition, microplastic (tire wear particles), and surfactant. Ten untreated replicates were used as control. Each single factor treatment (+), the combination of all global change factors, and treatments in which one of the factors was dropped (-) were each replicated ten times. The experiment consisted of 140 experimental units in total. b Experimental units were falcon tubes containing 30 g of soil. A pre-weighed toothpick was included for measurement of decomposition rate. After six weeks of incubation, response variables were measured. c To visualize the effect directions of factor addition and subtraction treatments, we show the bootstrapped (n = 100) effect size of factor addition on the x axis and the effect of factor removal on the y axis.
Response variables
We measured enzyme activity (β-D-glucosidase, acid phosphatase, and N-acetyl-β-glucosaminidase), decomposition, mean weight diameter of soil aggregates (MWD), percentage of water stable aggregates (WSA) and water drop repellency. The measurements were chosen to represent interconnected processes related to cycling of matter and structuring of soil. We tested electrical conductivity and pH, as well as C, N and P content to support our interpretation and exclude effects not caused by the treatments (Supplementary Figs. 2 and 3).
Enzyme activity
β-D-glucosidase (EC3.2.1.21), acid phosphatase (EC3.1.3.2), and N-acetyl-β-glucosaminidase (EC3.2.1.52) were measured from 5 g of soil. Water content for drought treatments was adjusted. The method of using high throughput microplates assays was described by Jackson, Tyler and Millar54. Briefly, 5 g soil was mixed with 10 ml 50 mM acetate buffer (pH 5.0–5.4) in a 50-ml falcon tube. Then, 150 ul of soil slurry for each sample was vortexed and pipetted into six wells on a 96-deep well plate. 150 ul substrate solutions (5 mM 4-p-nitrophenyl-β-glucopyranoside5 mM, 4-p-nitrophenyl-phosphate disodium salt hexahydrate, and 2 mM 4-p-nitrophenyl-β-N-acetylglucosaminide, Sigma, Germany, item no.: N71768, N7006, N5759, and N9376) were added to the first four wells, 150 ul acetate buffer was added into the last two wells of each sample (buffer control). Plates were incubated in the dark at 25 °C for 2 h (for β-D-glucosidase and acid phosphatase) or 4 h (N-acetyl-β-glucosaminidase). After the incubation, plates were centrifuged at 2000 x g for 5 min, and then 100 ul supernatant from each well was transferred into new microplates containing 10 ul 1 M NaOH and 190 ul distilled water in each well. Finally, the absorbance at 410 nm was recorded by a microplate reader (Benchmark Plus Microplate Spectrophotometer System, BioRad Laboratories, Hercules, CA, United States).
Decomposition
We inserted a pre-weighed wooden toothpick into the soil, which was retrieved at the end of the experiment. The weight of the dried toothpicks after six weeks of incubation in the soil was used as an indication of decomposition (percent decomposition).
Mean weight diameter (MWD)
Soil was dried at 60 °C and sieved (4 mm). Then we measured the aggregate size distribution and stability by following the protocol by Kemper and Rosenau55. The dry sieving technique was performed in a modified way, using a sieve cascade consisting of sieves with mesh sizes of 2 mm, 1 mm, 250μm, 100μm and 53μm. A collecting tray was located under the sieve stack. By gentle horizontal shaking, the aggregates were separated into different size fractions. Mean weight diameter was calculated according to the following formula:
where i is the fraction size, Wi is the weight of each fraction, di is the mean diameter of each size fraction. This commonly used index weighs more heavily larger sized aggregate fractions.
Water stable aggregates (WSA)
We used a wet sieving technique to determine the percentage of water-stable aggregates, modified after Kemper and Rosenau55. Sieves (mesh size 250 μm, for measuring macroaggregates) were filled with 4.0 g of dried soil. The soil samples were capillarily rewetted and then placed in a wet sieving machine (Agrisearch Equipment, Eijkelkamp, Giesbeek, Netherlands). The samples were moved up and down in a water column for 3 minutes. The soil was then dried at 60 °C. After drying, the weight of the dry matter was recorded. The soil was then transferred back to the sieve and passed through to obtain the coarse matter fraction.
Water-stable aggregate percentage was calculated as:%WSA = (water stable aggregates − coarse matter)/(4.0 g − coarse matter)
Soil water repellency
The water drop penetration time was measured, where three droplets (8 μl) of deionized water are placed on the soil surface, and the time in seconds is counted until each droplet soaks in ref. 56.
Statistical analysis
Statistical analysis was conducted in R 4.2.157. ‘dabestr’58, ‘Rmisc’59, vegan‘60, and ‘tidyverse’61 were used for data analysis, ‘ggplot2’62 and ‘pheatmap’63 were used for plotting the figures. Effect sizes were normalized with standard deviation normalization (z-score) method and calculated by bootstrapping (n = 100). Anova and Tukey’s test were used to test for statistical significance of treatment effects on the tested response variables.
To quantify the relative contribution of each factor and their interactions for the all- group, and ascertain if biological noise or measurements error could be responsible for some of the patterns we observed, we performed redundancy analysis (RDA) using the vegan package. A higher \({R}^{2}\) value represents stronger explanatory power, reflecting a more robust effect.
In the RDA model, the total variance of each soil response is partitioned into three components: variance explained by the independent global change factors, the shared (interactive) variance that is jointly explained by multiple global change factors, and the residual variance, representing the proportion of total variance that remains unexplained in the model.
For the variance explained by the independent global change factors, the 6 factors were used as explanatory variables and the adjusted coefficient of determination was obtained using RsquareAdj(). We subsequently removed one factor i from the model and refitted the RDA model (Formula 1), where \(\Delta {R}_{i}^{2}\) represents the variance explained by factor i.
The shared (interactive) variance, that indicates interaction across factors of global change, was calculated with Formula 2, indicating how much variance cannot be attributed to any single factor and is shared among factors.
The residual variance indicates the variance that the model cannot explain, calculated as 1-\({R}_{6{factor}}^{2}\), and likely reflects biological noise or measurement error. We included the variance explained by single factors, shared variance and residual for each soil responses in the supplementary information.
Reporting summary
Further information on research design is available in the Nature Portfolio Reporting Summary linked to this article.
Data availability
The experimental data generated in this study have been deposited in the Figshare database with DOI: 10.6084/m9.figshare.28151276 (https://doi.org/10.6084/m9.figshare.28151276). Source data are provided with this paper.
Code availability
The code for reproducing all statistical analyses in this manuscript is published in the Figshare database with (https://doi.org/10.6084/m9.figshare.28152140).
References
Li, G., Sun, G.-X., Ren, Y., Luo, X.-S. & Zhu, Y.-G. Urban soil and human health: a review. Eur. J. Soil Sci. 69, 196–215 (2018).
Lal, R. Anthropogenic influences on world soils and implications to Global Food Security. Adv. Agron. (ed. Sparks, D. L 93, 69–93 (2007).
Rillig, M. C., Ryo, M. & Lehmann, A. Classifying human influences on terrestrial ecosystems. Glob. Change Biol. 27, 2273–2278 (2021).
Sage, R. F. Global change biology: a primer. Glob. Change Biol. 26, 3–30 (2020).
Song, J. et al. A meta-analysis of 1,119 manipulative experiments on terrestrial carbon-cycling responses to global change. Nat. Ecol. Evol. 3, 1309–1320 (2019).
Suleiman, M., Daugaard, U., Choffat, Y., Zheng, X. & Petchey, O. L. Predicting the effects of multiple global change drivers on microbial communities remains challenging. Glob. Change Biol. 28, 5575–5586 (2022).
Leuzinger, S. et al. Do global change experiments overestimate impacts on terrestrial ecosystems? Trends Ecol. Evolution 26, 236–241 (2011).
Rillig, M. C. et al. The role of multiple global change factors in driving soil functions and microbial biodiversity. Science 366, 886–890 (2019).
Bi, M. et al. Number and dissimilarity of global change factors influences soil properties and functions. Nat. Commun. 15, 8188 (2024).
Meidl, P. et al. Combined Application of Multiple Global Change Factors Negatively Influences Key Soil Processes across an Urban Gradient in Berlin, Germany. Soil Syst. 8, 96 (2024).
Zandalinas, S. I. & Mittler, R. Plant responses to multifactorial stress combination. N. Phytologist 234, 1161–1167 (2022).
Speißer, B., Wilschut, R. A. & van Kleunen, M. Number of simultaneously acting global change factors affects composition, diversity and productivity of grassland plant communities. Nat. Commun. 13, 7811 (2022).
Farrell, H. L., Léger, A., Breed, M. F. & Gornish, E. S. Restoration, soil organisms, and soil processes: emerging approaches. Restor. Ecol. 28, S307–S310 (2020).
Pavao-Zuckerman, M. A. The Nature of Urban soils and their role in ecological restoration in cities. Restor. Ecol. 16, 642–649 (2008).
Frankenberger, W. T. Jr. & Bingham, F. T. Influence of salinity on soil enzyme activities. Soil Sci. Soc. Am. J. 46, 1173–1177 (1982).
Rietz, D. N. & Haynes, R. J. Effects of irrigation-induced salinity and sodicity on soil microbial activity. Soil Biol. Biochem. 35, 845–854 (2003).
Rath, K. M., Maheshwari, A., Bengtson, P. & Rousk, J. Comparative toxicities of salts on microbial processes in soil. Appl. Environ. Microbiol. 82, 2012–2020 (2016).
Tedeschi, A., Angelino, G. & Ruggiero, C. Physical and chemical properties of long-term salinized soils. Ital. J. Agron. 1, 263 (2006).
Juniper, S. & Abbott, L. Vesicular-arbuscular mycorrhizas and soil salinity. Mycorrhiza 4, 45–57 (1993).
Lehmann, A. et al. Fungal traits important for soil aggregation. Front. Microbiol. 10, 2904 (2020).
Wei, Y. et al. Differences in soil fungal communities under salinity gradients in arid and semiarid regions. Glob. Planet. Change 236, 104425 (2024).
Khan, M. O., Klamerus-Iwan, A., Kupka, D. & Słowik-Opoka, E. Short-term impact of different doses of spent coffee grounds, salt, and sand on soil chemical and hydrological properties in an urban soil. Environ. Sci. Pollut. Res 30, 86218–86231 (2023).
Wallach, R., Ben-Arie, O. & Graber, E. R. Soil water repellency induced by long-term irrigation with treated sewage effluent. J. Environ. Qual. 34, 1910–1920 (2005).
Xiao, W., Chen, X., Jing, X. & Zhu, B. A meta-analysis of soil extracellular enzyme activities in response to global change. Soil Biol. Biochem. 123, 21–32 (2018).
Durán, J. et al. Temperature and aridity regulate spatial variability of soil multifunctionality in drylands across the globe. Ecology 99, 1184–1193 (2018).
Tisdall, J. M. & Oades, J. M. Organic matter and water-stable aggregates in soils. J. Soil Sci. 33, 141–163 (1982).
Rillig, M. C., Wright, S. F., Shaw, M. R. & Field, C. B. Artificial climate warming positively affects arbuscular mycorrhizae but decreases soil aggregate water stability in an annual grassland. Oikos 97, 52–58 (2002).
Zhang, Q., Shao, M., Jia, X. & Wei, X. Changes in soil physical and chemical properties after short drought stress in semi-humid forests. Geoderma 338, 170–177 (2019).
Yuste, J. C. et al. Drought-resistant fungi control soil organic matter decomposition and its response to temperature. Glob. Change Biol. 17, 1475–1486 (2011).
Hu, Z. et al. Traits mediate drought effects on wood carbon fluxes. Glob. Change Biol. 26, 3429–3442 (2020).
Yan, X. et al. Nitrogen addition and warming modulate the pathogen impact on plant biomass by shifting intraspecific functional traits and reducing species richness. J. Ecol. 111, 509–524 (2023).
Miller, R. M. & Jastrow, J. D. Hierarchy of root and mycorrhizal fungal interactions with soil aggregation. Soil Biol. Biochem. 22, 579–584 (1990).
Leifheit, E. F., Kissener, H. L., Faltin, E., Ryo, M. & Rillig, M. C. Tire abrasion particles negatively affect plant growth even at low concentrations and alter soil biogeochemical cycling. Soil Ecol. Lett. 4, 409–415 (2022).
Lima, T. M. S. et al. Biodegradability of bacterial surfactants. Biodegradation 22, 585–592 (2011).
Orr, J. A., Piggott, J. J., Jackson, A. L., Jackson, M. C. & Arnoldi, J.-F. Variability of functional and biodiversity responses to perturbations is predictable and informative. Nat. Commun. 15, 10352 (2024).
Rillig, M. C., Lehmann, A., Orr, J. A. & Waldman, W. R. Mechanisms underpinning nonadditivity of global change factor effects in the plant–soil system. N. Phytologist 232, 1535–1539 (2021).
Qadeer, A. Interactive effects of salinity and drought stresses on soil respiration and microbial activities. PAKJAS 59, 35–42 (2022).
Wichern, J., Wichern, F. & Joergensen, R. G. Impact of salinity on soil microbial communities and the decomposition of maize in acidic soils. Geoderma 137, 100–108 (2006).
Alkorta, I. et al. Soil enzyme activities as biological indicators of soil health. Reviews on Environmental Health 18, 65–73 (2003).
Yang, G. et al. Multiple anthropogenic pressures eliminate the effects of soil microbial diversity on ecosystem functions in experimental microcosms. Nat. Commun. 13, 4260 (2022).
Li, H. et al. The dissimilarity between multiple management practices drives the impact on soil properties and functions. Soil Ecol. Lett. 7, 240278 (2025).
Li, H. et al. Diversity of organic amendments increases soil functions and plant growth. Plants, People, Planet 7, 80–86 (2025).
Roscher, C. et al. The role of biodiversity for element cycling and trophic interactions: an experimental approach in a grassland community. Basic Appl. Ecol. 5, 107–121 (2004).
Tilman, D., Wedin, D. & Knops, J. Productivity and sustainability influenced by biodiversity in grassland ecosystems. Nature 379, 718–720 (1996).
Tzavali, A., Paravantis, J., Mihalakakou, G., Fotiadi, A. & Stigka, E. Urban heat island intensity: A literature review, (2015).
Craul, P. J. et al. Urban Soil in Landscape Design. (John Wiley & Sons, 1992).
Pouyat, R. urban soil props SSSAJ. https://www.academia.edu/38180954/Pouyat_et_al_2007_urban_soil_props_SSSAJ (2007).
Pająk, M., Wojciech, K., Duda, K. & Gruba, P. Spatial and temporal variation in soil salinity as a result of chemical de-icing of road in Krakow, Poland. Fresenius Environ. Bull. 24, 3363–3370 (2015).
Ponette-González, A. G., Green, M. L., McCullars, J. & Gough, L. Ambient urban N deposition drives increased biomass and total plant N in two native prairie grass species in the U.S. Southern Great Plains. PLOS ONE 16, e0251089 (2021).
Kuhnt, G. Behavior and fate of surfactants in soil. Enviro Toxic. Chem. 12, 1813–1820 (1993).
Wiel-Shafran, A., Ronen, Z., Weisbrod, N., Adar, E. & Gross, A. Potential changes in soil properties following irrigation with surfactant-rich greywater. Ecol. Eng. 26, 348–354 (2006).
Lehmann, A., Flaig, M., Dueñas, J. F. & Rillig, M. C. Surfactant-Mediated Effects on Hydrological and Physical Soil Properties: Data Synthesis. Environ. Sci. Technol. 57, 19849–19859 (2023).
Ying, G.-G. Fate, behavior and effects of surfactants and their degradation products in the environment. Environ. Int. 32, 417–431 (2006).
Jackson, C. R., Tyler, H. L. & Millar, J. J. Determination of microbial extracellular enzyme activity in waters, soils, and sediments using high throughput microplate assays. J.Vis. Exp. 1, 50399 (2013).
Kemper, W. D. & Rosenau, R. C. Aggregate Stability and Size Distribution - SSSA Book Series -. https://acsess.onlinelibrary.wiley.com/doi/abs/10.2136/sssabookser5.1.2ed.c17 (1986).
Hallett, P. et al. Introduction Soil Water Repellency. 6, 9 (2007).
Core, R. Team. R: A Language and Environment for Statistical Computing. R Foundation for Statistical Computing (2021).
Ho, J., Tumkaya, T., Aryal, S., Choi, H. & Claridge-Chang, A. Moving beyond P values: data analysis with estimation graphics. Nat. Methods 16, 565–566 (2019).
Hope, R. M. Rmisc: Ryan Miscellaneous. R package version 1.5.1, https://CRAN.R-project.org/package=Rmisc (2022).
Oksanen, J. et al. vegan: an R package for community ecologists. https://vegandevs.github.io/vegan/ (2025).
Wickham, H. et al. Welcome to the Tidyverse. J. Open Source Softw. 4, 1686 (2019).
Wickham, H. Data Analysis. In: ggplot2. https://doi.org/10.1007/978-3-319-24277-4_9 (Use R! Springer, Cham, 2016).
Kolde, R. pheatmap: Pretty Heatmaps. R package version 1.0.13 (2025).
Acknowledgements
H.L. acknowledges the China Scholarship Council for a scholarship (202108080156).
Funding
Open Access funding enabled and organized by Projekt DEAL.
Author information
Authors and Affiliations
Contributions
RR designed the research and wrote the first draft, HL designed the figures and performed the statistical analysis, MCR and AL contributed to interpreting the results, editing of manuscript, and the drafting of the figures. RR, HL, AL, and AW collected the data.
Corresponding author
Ethics declarations
Competing interests
The authors declare no competing interests.
Peer review
Peer review information
Nature Communications thanks Nadia Maaroufi, and the other, anonymous, reviewer(s) for their contribution to the peer review of this work. A peer review file is available.
Additional information
Publisher’s note Springer Nature remains neutral with regard to jurisdictional claims in published maps and institutional affiliations.
Supplementary information
Source data
Rights and permissions
Open Access This article is licensed under a Creative Commons Attribution 4.0 International License, which permits use, sharing, adaptation, distribution and reproduction in any medium or format, as long as you give appropriate credit to the original author(s) and the source, provide a link to the Creative Commons licence, and indicate if changes were made. The images or other third party material in this article are included in the article’s Creative Commons licence, unless indicated otherwise in a credit line to the material. If material is not included in the article’s Creative Commons licence and your intended use is not permitted by statutory regulation or exceeds the permitted use, you will need to obtain permission directly from the copyright holder. To view a copy of this licence, visit http://creativecommons.org/licenses/by/4.0/.
About this article
Cite this article
Rongstock, R., Li, H., Lehmann, A. et al. Global change factors differ in effect when acting alone and in a multi-factor background. Nat Commun 17, 425 (2026). https://doi.org/10.1038/s41467-025-68155-9
Received:
Accepted:
Published:
Version of record:
DOI: https://doi.org/10.1038/s41467-025-68155-9





