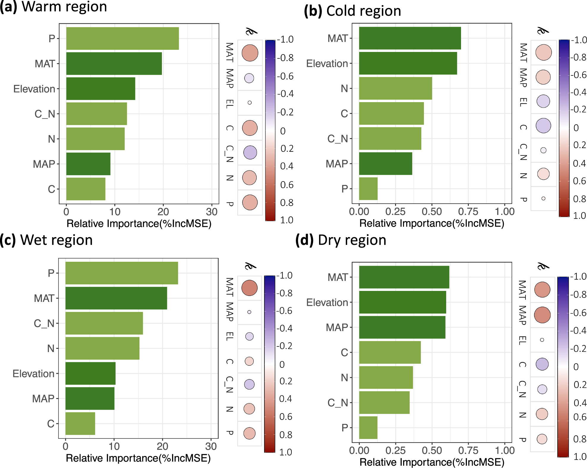
Fig. 4: The relative importance of predictive variables on bark k (year−1) in different climate regions.
From: Climate and traits drive bark decomposition patterns at global scale

The results of the Random Forest model and Spearman correlation analysis are conducted in (a) warm region, (b) cold region, (c) wet region, and (d) dry region, respectively. Dark and light green bars indicate climate-related factors and substrate quality, respectively. The red and purple circles are the Spearman correlation coefficients between predictive variables and bark k. The circle size is proportional to the coefficients. Circles in red and purple indicate positive and negative Spearman’s correlation. EL elevation, C_N carbon to nitrogen ratio.