Abstract
Perovskite-type tantalum-based oxynitride photocatalysts are promising candidates for water splitting due to their suitable band positions and extended light absorption beyond 600 nm. However, their associated photocatalytic activities and quantum yields remain relatively low. Here, we show that a nano-sized single-crystalline BaxSr1-xTaO2N solid-solution perovskite photocatalyst exhibits state-of-the-art activity in separate oxygen and hydrogen evolution half-reactions. The improved performance is attributed to the nanoscale particle sizes, as well as the reduced defect densities achieved by using a mixed precursor comprising TaS2 and Ta3N5. The half-reaction activities can be modulated by applying a post-synthetic high-temperature treatment. Assessments of charge carrier dynamics, in conjunction with a mechanistic kinetic model, reveal that exponential-tail trap states are formed during this post-treatment. Such trap states, present on the photocatalyst surface, facilitate participation of holes during the oxygen evolution reaction. The development of such solid-solution photocatalysts broadens the range of potential materials for solar-driven hydrogen production. In addition, the present findings are expected to enable the selective tuning of bifunctional photocatalysts for either the hydrogen or oxygen evolution reaction.
Similar content being viewed by others
Introduction
Solar-driven water splitting using sunlight and water to produce hydrogen is a clean, sustainable and environmentally-friendly energy-generation technology. Photocatalytic and photoelectrochemical water splitting are the two primary technologies for light-to-chemical energy conversion, also known as artificial photosynthesis1. These processes aim to harness solar energy to split water molecules into hydrogen and oxygen molecules, emulating the natural photosynthesis process2. Although higher solar-to-hydrogen (STH) energy conversion efficiencies have been achieved on the laboratory scale using photoelectrochemical processes3,4, challenges remain in terms of scaling up the technology for practical applications. In contrast, photocatalytic water splitting is a simpler, more cost-effective and scalable approach to solar hydrogen production. This process enables the direct conversion of solar energy into chemical energy, in the form of hydrogen, relying entirely on sunlight for spontaneous water splitting without external electrical inputs5,6.
Semiconductor photocatalysts that act as light absorbing materials are the core components of photocatalytic water splitting systems and thus play a vital role in determining the efficiency of the process. As an example, a modified aluminum-doped strontium titanate (SrTiO3:Al) photocatalyst has been shown to enable photocatalytic overall water splitting with an internal quantum efficiency of near unity7. A 100 m2 array of panel reactors utilizing this same SrTiO3:Al photocatalyst has been constructed and tested8, highlighting the significant potential of particulate photocatalysis for application in large-scale facilities. Unfortunately, the SrTiO3:Al photocatalyst is only active under ultraviolet light, resulting in a relatively low STH energy conversion efficiency of 0.65%. Therefore, the crucial next objective in this field is the development of highly active photocatalysts exhibiting wider ranges of light absorption that extend to visible wavelengths, such as sulfides9,10, nitrides11, oxynitrides12 and polymer semiconductor13. These advances could significantly enhance solar energy utilization14.
Tantalum-based perovskite oxynitrides are a promising class of semiconductors for solar energy harvesting, with narrow bandgaps in the range of 2.1–2.4 eV that extend light absorption out to 500–600 nm15,16,17. Furthermore, the conduction band (CB) and valence band (VB) positions of perovskite-type tantalum-based oxynitrides straddle the water redox potentials18, theoretically enabling spontaneous overall water splitting. Given these properties, such materials have potential applications as semiconductors for photocatalytic water splitting to generate hydrogen. To date, various strategies, including morphological control19,20, surface modification12,21, co-catalyst design22,23,24 and aliovalent doping25,26,27, have been proposed as means of enhancing photocatalytic activity during the H2 or O2 evolution half-reactions, as well as for Z-scheme water splitting systems. However, the quantum yields associated with photocatalytic water splitting processes incorporating perovskite-type tantalum-based oxynitrides remain far from ideal. In fact, during previous investigations by the authors, the performance of the most efficient tantalum-based oxynitrides (SrTaO2N) plateaued at an apparent quantum yield (AQY) of approximately 9%28.
Particulate photocatalysts with optical absorption onsets at wavelengths shorter than 600 nm require a minimum AQY of approximately 30% to achieve an STH energy conversion efficiency of at least 5%. This value is considered a prerequisite for the practical implementation of photocatalytic solar hydrogen production systems based on techno-economic analyses29. Although several factors likely contribute to the low AQY values of the materials investigated to date, various intrinsic defects generated during synthesis via high-temperature nitridation are likely to be primarily responsible for the low efficiency of this class of oxynitrides30.
The present study demonstrates an approach to enhancing both the efficiency and functionality of nano-sized BaxSr1-xTaO2N (BSTON), a solid-solution photocatalyst featuring decreased defect concentrations. This reduced defect concentration was achieved through the successful synthesis of BSTON using a mixed precursor of TaS2 and Ta3N5. Here, the Ta3N5 precursor facilitated the uniform distribution of Ba throughout the product, thereby suppressing defect formation during the substitution reaction. Concurrently, the two-dimensional structure of TaS2 promoted the formation of nano-sized BSTON particles. By fine-tuning the surface properties through post-treatment, a BSTON-based photocatalyst exhibiting enhanced photocatalytic water splitting performance was obtained. This photocatalyst was confirmed to enhance both hydrogen and oxygen evolution via separate reactions. Following the incorporation of appropriate cocatalysts and optimization of the synthesis conditions, this solid-solution photocatalyst achieves an AQY of 13.5% for H2 evolution and 25.9% for O2 evolution at 420 nm, respectively. These values are competitive among the reported tantalum-based oxynitride photocatalysts.
Results
Characterization of the BSTON solid solution
As the basis for this study, perovskite-type BSTON solid-solution photocatalysts were synthesized via a high-temperature nitridation method in the presence of a binary flux (see Methods Section). In contrast to a previously reported synthetic approach31, a mixture of TaS2 and Ta3N5 was employed as the Ta source. While the specific role of the Ta3N5 precursor is discussed in the following section, it is noteworthy that the two-dimensional layered structure of the TaS2 precursor (Fig. S1) promoted the formation of nano-sized crystals28. Consistent with this expectation, the resulting orange-colored BSTON was found to have an average particle size of approximately 50 nm (Fig. 1a). For comparison purposes, BSTON can also be synthesized under identical nitridation conditions using the more commonly employed Ta2O5 precursor. However, this approach typically results in significantly larger particles exceeding 200 nm in size and did not yield BSTON but instead produced predominantly Ba3SrTa2O9 (Fig. S2).
a Scanning electron microscopy (SEM) image of synthesized BSTON(TN0.2) solid-solution particles. b X-ray diffraction (XRD) pattern for the same sample. c Enlarged view of (110) diffraction peak region. The blue and green bars indicate the (110) peak positions for BaTaO2N (JCPDS card No. 40-0566) and SrTaO2N (JCPDS card No. 40-0662), respectively. d Ultraviolet-visible (UV–Vis) diffuse-reflectance spectrum of BSTON(TN0.2). e Annular dark-field scanning transmission electron microscopy (ADF-STEM) image and the corresponding energy-dispersive X-ray spectroscopy (EDS) elemental maps for synthesized BSTON(TN0.2) solid-solution particles. Source data for Fig. 1b, d are provided as a Source Data file.
X-ray diffraction (XRD) analyses of BSTON particles synthesized with the mixed TaS2 and Ta3N5 precursor confirmed the formation of a phase-pure cubic perovskite-type crystal structure with a space group of \({{{\rm{Pm}}}}\bar{3}{{{\rm{m}}}}\) (Fig. 1b). The XRD peak positions were shifted to lower angles compared with SrTaO2N but to higher angles relative to those of BaTaO2N (Fig. 1c), indicating an intermediate lattice parameter that is consistent with the formation of a solid solution. Similarly, the optical absorption edge for the BSTON particles was located at 620 nm (Fig. 1d), which lies between those of BaTaO2N (650 nm) and SrTaO2N (590 nm)32, further supporting the solid-solution formation. Additional characterization using high-resolution transmission electron microscopy (HRTEM) revealed well-aligned lattice fringes and clearly defined diffraction spots in the selected area electron diffraction (SAED) patterns for individual particles (Fig. S3), indicating the single crystalline nature of the BSTON solid-solution particles. Energy-dispersive X-ray spectroscopy (EDS) mapping also confirmed the uniform distribution of Ba, Sr, Ta, O and N throughout the particles (Fig. 1e), corroborating the homogenous composition of the BSTON solid-solution particles.
The crystal structure and photocatalytic activity of tantalum-based oxynitride solid solutions are known to be closely correlated with the ionic ratios at the A site33. As such, inductively coupled plasma atomic emission spectroscopy (ICP-AES) and oxygen/nitrogen analyses were performed to determine the elemental composition of the particles, with a particular focus on the Ba-to-Sr ratio in the final product (Table S1). Based on these results, the chemical formula for the material was estimated to be Ba0.37Sr0.67TaO2.16N1.03, with negligible amounts of S detected. Notably, although the Ba-to-Sr molar ratio for the precursor mixture was 2.5:1, the final product exhibited a ratio of approximately 1:2. The observed deviation from the precursor ratio suggests that Sr rather than Ba was preferentially incorporated during the solid-state reaction. This selective incorporation behavior likely stabilized the perovskite structure by optimizing the A-site cation configuration. It is hypothesized that this specific cation ratio leads to a more thermodynamically favorable configuration34. In this regard, the structural stability and the degree of distortion in a perovskite-type ABO3 oxynitride can both be evaluated using the Goldschmidt tolerance factor, which is greatly affected by the ionic radius of the A-site cations35. The tolerance factors for BaTaO2N and SrTaO2N were calculated to be 1.03 and 0.98, respectively (Table S2)36, indicating deviations from the ideal value of 1.0 and, thus, the presence of lattice distortions. For instance, the deviation from the value of 1.0 in the case of SrTaO2N reflects the smaller A-site cation radius37. In contrast, the BSTON synthesized in the present work was found to have an ideal tolerance factor of 1.0, implying minimal lattice distortion and enhanced structural stability.
Effect of the Ta3N5 precursor
Having established the successful synthesis of the BSTON solid solution, we next describe the rationale for using Ta3N5 as one of the Ta precursors and evaluate its effect on the resulting crystal structure. Conventionally, the synthesis of tantalum-based oxynitrides relies on the high-temperature nitridation of oxide precursors to generate high-quality crystalline phases. However, due to the different coordination numbers of O and N, this nitridation process often leads to cell-volume (lattice) shrinkage and the formation of substitutional defects, as well as the replacement of O atoms with N atoms. As a means of avoiding defect formation, the present work employed a N-containing Ta compound (Ta3N5) as a component of the precursor mixture (Fig. S4). The goal of incorporating N into the precursor itself was to reduce the degree of structural distortion introduced during nitridation. In this work, the proportion of Ta3N5 relative to the total Ta amount in the precursor mixture was systematically varied. This proportion, defined as Ta(Ta3N5)/Ta(TaS2 + Ta3N5), was adjusted within the range 0 to 0.3. The resulting Ba0.33Sr0.67TaO2N samples are hereafter referred to as BSTON(TNz), where z represents the Ta3N5 fraction used in the synthesis.
As shown in Figs. 2a, b and S5, after increasing the Ta3N5 fraction to 0.2, the synthesized BSTON(TN0.2) remains in a pure phase and the particle morphology remains unaffected relative to BSTON(TN0). However, exceeding this value led to the formation of layered oxide impurities (Figs. S5 and S6), which were identified as Ba3SrTa2O9. Consistent with these structural analysis results, ICP-AES data also showed that the addition of Ta3N5 as a precursor did not affect the composition of the solid-solution until the Ta3N5 fraction reached 0.2 (Table S1). When the Ta3N5 fraction exceeded 0.2, a noticeable increase in the Ba and O levels in the product was observed, surpassing the nominal stoichiometry value expected for the perovskite oxynitride and indicating the formation of oxide impurities. It appears that, while Ta3N5 remains compatible with forming the solid solution at lower concentrations, excessive amounts introduce secondary phases that alter the composition of the material and, potentially, its properties. An analysis of the full width at half maximum (FWHM) of the primary XRD peak at 31.1° indicates that the BSTON(TN0.2) sample, prepared with a Ta3N5 fraction of 0.2, had the highest degree of crystallinity (Fig. 2c).
a X-ray diffraction (XRD) patterns and b ultraviolet–visible (UV–Vis) diffuse-reflectance spectra for BSTON(TNz) samples prepared using a Ta precursor comprising TaS2/Ta3N5 with varying molar ratios. c Full width at half maximum (FWHM) values of the (110) diffraction peak at 31.06° extracted from the XRD data. Source data for Fig. 2a–c are provided as a Source Data file.
In the previous section, we highlighted the advantages of forming solid solutions to optimize perovskite crystal structures. The emergence of a cubic phase solid solution suggests that the incorporation of Ba effectively reduces the lattice distortions inherent in the tetragonal SrTaO2N structure37. On this basis, it appears that the proportions of Ba and Sr are critical to maintaining the structural integrity of the resulting single-crystalline particles. To further investigate this effect, a scanning transmission electron microscopy (STEM)-based EDS line scans were performed across individual particles to quantitatively assess the elemental distributions in the BSTON(TN0) and BSTON(TN0.2) samples (Fig. 3a). In the case of the BSTON(TN0) sample, the distributions of Sr, Ta and O were relatively uniform, whereas the Ba showed significant spatial fluctuations, indicating an inhomogeneous distribution in the crystal lattice. In contrast, the BSTON(TN0.2) sample displayed homogenous distributions of all the elements that were assessed, including Ba, across the entire single crystal. To further elucidate the spatial distributions of Ba and Sr, atomic-level characterization was conducted via cross-sectional analysis of a BSTON(TN0.2) crystal, employing annular dark-field STEM (ADF STEM) equipped with dual EDS detectors (Fig. 3b). Although the acquired image represents a projection along the incident electron beam direction, this image allowed the integration of signals from approximately a dozen atoms stacked along the out-of-plane axis. Simulations of the intensity profile along this direction established that Ba and Sr atoms were randomly and uniformly distributed at A-site positions within the cubic perovskite structure (Fig. 3c), consistent with results of the line-scan analysis.
a Annular dark-field scanning transmission electron microscopy (ADF-STEM) image and the corresponding energy-dispersive X-ray spectroscopy (EDS) line profile across individual BSTON nanoparticles synthesized with and without Ta3N5. b, c ADF STEM image and atomic resolution EDS elemental maps of Sr, Ba and Ta within a single nanoparticle, along with the simulated atomic resolution STEM EDS mapping images (c).
The chemical states of the different elements in this series of samples were analyzed using X-ray photoelectron spectroscopy (XPS, Fig. S7). The Ta 4f peak was deconvoluted into two doublets, with peaks at 24.5 and 26.4 eV assigned to Ta-N bonds and those at 25.5 and 27.4 eV corresponding to Ta-O bonds. The O 1s spectrum exhibited two distinct peaks at 529.3 and 530.7 eV that were attributed to lattice oxygen in the perovskite structure and surface hydroxyl groups, respectively. The N 1s peak was observed at 395.2 eV38. The S 2p peaks were not observed, indicating that the sulfur content is below the detection limit of XPS (Fig. S8). The presence of both Ba and Sr in the samples was also confirmed through analysis of their respective XPS core level spectra. Notably, the Ba 3d5/2 exhibited two chemical states, denoted as α and β, at the surface39. The α component, observed at a binding energy (BE) of 778.5 eV, corresponds to the Ba2+ state within the perovskite lattice39. In contrast, the β component appears at a higher BE of 780.0 eV, indicating a distinct chemical environment of Ba at the surface of the particles. These high BE values for the Ba 3d components have previously been attributed to the formation of BaO2, as reported in studies of BaTiO3 samples40,41,42. To further investigate this possibility, the ratios of the intensities of the β peaks to those of the α peaks were calculated for the BSTON(TNz) series (Fig. S9). In the case of BSTON(TN0.3), the increased proportion of Ta3N5 in the precursor mixture resulted in a pronounced increase in this ratio that was primarily attributed to an excess amount of oxygen (Table S1) due to surface oxidation.
H2 and O2 evolution half reactions
Following the successful synthesis of highly crystalline, nanoscale solid-solution single crystals, we next evaluated the performance characteristics for photocatalytic water splitting. The hydrogen evolution activity for the BSTON(TNz) samples was first evaluated. Pt was employed as a cocatalyst for hydrogen evolution and was loaded onto the samples using a microwave-assisted hydrothermal method, as detailed in the ‘Methods’ section. Subsequently, Cr was photo-deposited to form a core-shell structure that effectively suppresses the reverse reaction43. The resulting cocatalyst nanoparticles, averaging approximately 2 nm in diameter, were uniformly dispersed on the surface of the BSTON particles (Fig. S10). The optimal loadings of Pt and Cr were determined to be 1 and 0.3 wt%, respectively. These values gave the highest hydrogen evolution rate in an aqueous solution containing methanol as hole scavenger (Fig. S11a and b). As the proportion of Ta3N5 in the precursor mixture was increased, the hydrogen evolution rate improved to a maximum rate of 1.4 mmol/h for the case of the BSTON(TN0.2) sample after it was subjected to post-synthetic treatment at 400 °C (Figs. 4a and S12a). No noticeable performance decay was observed during the initial 40 h of continuous photocatalytic operation (Fig. S13). After an extended visible-light photoreaction, the photocatalyst was collected for characterization. The XRD patterns confirmed that the perovskite crystal structure of the photocatalyst remained intact before and after the reaction, with no detectable impurity phases (Fig. S14), while the XPS spectra of the constituent elements were essentially unchanged (Fig. S15), further corroborating the structural stability of both the photocatalyst and the co-catalysts. This positive trend correlated well with the enhanced crystallinity of the samples, highlighting the importance of high-quality single crystals with low defect densities for obtaining efficient photocatalytic activity. The AQY for H2 evolution was measured to be 13.5% under 420 nm light irradiation (Fig. 4b).
a H2 evolution rates over BSTON(TNz) samples synthesized with varying proportions of Ta3N5 in the precursor mixture. b Ultraviolet–visible (UV-vis) diffuse reflectance spectrum of BSTON(TN0.2) (black solid line) and apparent quantum yield (AQY) for H2 evolution from CrOx/Pt/BSTON(TN0.2) (blue symbols). c O2 evolution rates of the BSTON(TNz) samples synthesized with varying Ta3N5 precursor fractions. d UV–Vis diffuse reflectance spectrum of BSTON(TN0.2) (black solid line) and AQY for O2 evolution on CoOx/BSTON(TN0.2) (red symbols). Source data for Fig. 4a–d are provided as a Source Data file.
In addition to the hydrogen evolution trials, the oxygen evolution activities of separately prepared BSTON(TNz) particles were also assessed. These experiments utilized CoOx (which is commonly employed to promote the oxygen evolution reaction on tantalum-based oxynitride photocatalysts) as a cocatalyst deposited onto the surfaces of the BSTON particles (Fig. S16). The optimal CoOx loading was determined to be 1.0 wt% relative to the mass of the photocatalyst (Fig. S11c). However, neither the as-synthesized BSTON(TNz) nor the specimen loaded with CoOx showed any oxygen evolution activity in an aqueous solution of AgNO3 (acting as an electron scavenger), unless post-synthetic annealing under hydrogen was applied (see ‘Methods’ section). The underlying mechanism responsible for this phenomenon will be discussed in detail in the following section. After this high-temperature hydrogen annealing treatment, a significant enhancement in the oxygen evolution activity of BSTON was observed. The optimized BSTON sample provided a maximum oxygen evolution rate of 1.04 mmol/h (Figs. 4c and S12b). The XRD patterns confirmed retention of the perovskite phase, except for reflections corresponding to metallic Ag (Fig. S17), and XPS revealed the formation of metallic Ag while the chemical states of the other constituent elements remained essentially unchanged (Fig. S18). Notably, the incorporation of Ta3N5 in the precursor mixture led to improved performance, with the BSTON(TN0.2) photocatalyst exhibiting the highest oxygen evolution activity. This finding was consistent with the trend observed in the hydrogen evolution activity described above. Ultimately, the AQY for O2 evolution over the BSTON(TN0.2)/CoOx photocatalyst was determined to be 25.9% under irradiation at 420 nm (Fig. 4d).
Together, the findings discussed above highlight the potentially pivotal role of high crystallinity and low defect density in boosting photocatalytic performance for both H2 and O2 evolution. The AQY for O2 evolution over the BSTON(TN0.2)/CoOx photocatalyst was determined to be 25.9% under irradiation at 420 nm (Fig. 4d). Remarkably, these results demonstrate that the BSTON(TN0.2) photocatalyst achieves state-of-the-art activity levels and AQY values during both the photocatalytic hydrogen and oxygen evolution reactions. It is important to note that these performance characteristics were obtained through careful optimization of the preparation conditions, including the Ba/Ta ratio in the precursor mixture and the nitridation duration (Figs. S19 and S20).
The high photocatalytic activities reported herein are primarily ascribed to the high degree of crystallinity and low defect density of the BSTON solid solution. Additional support for this conclusion was obtained from spectroscopic analyses to assess the defect densities in the various BSTON particles. The suppression of defect formation in the BSTON due to the use of Ta3N5 as a precursor was corroborated by photothermal deflection spectroscopy (PDS), a highly sensitive technique capable of detecting weakly absorbing electronic states within the bandgap. As shown in Fig. 5a, the extent of sub-bandgap absorption, which is commonly associated with defect states in a photocatalyst, was lower in BSTON(TN0.2) than in BSTON(TN0). Moreover, the BSTON(TN0.2) sample exhibited a sharper absorption edge, indicating a lower Urbach energy. These findings collectively confirm that the BSTON(TN0.2) sample has a lower density of in-gap defects states, consistent with the enhanced crystallinity and improved photocatalytic performance of this material.
a Photothermal deflection spectroscopy (PDS) spectra of BSTON(TN0) (blue) and BSTON(TN0.2) (red). b Surface photovoltage (SPV) measurements of BSTON(TN0) and BSTON (TN0.2), recorded via contact potential difference (CPD) as a function of time under dark and under illumination with 455 nm light (yellow shaded area: light on with power density of 9 mW/cm2). c absolute SPV values plotted as a function of the illumination power density. Source data for Fig. 5a-c are provided as a Source Data file.
Surface photovoltage (SPV) measurements were used to elucidate the relationship between defect properties and photocatalytic activity. These experiments were conducted with both BSTON(TN0) and BSTON(TN0.2) under illumination with a 455 nm LED source. As shown in Fig. 5b, both samples exhibited a negative SPV response, consistent with their native n-type semiconductor nature. In addition, BSTON(TN0.2) displayed an enhanced SPV signal compared to BSTON(TN0). Complementary SPV measurements performed with varying light intensity (Fig. 5c) revealed that BSTON(TN0.2) consistently maintained a higher SPV signal than BSTON(TN0) across the entire intensity range. In the case of BSTON(TN0), the photovoltage increased only gradually at light intensities below 0.01 mW/cm², suggesting that charge separation was severely hindered by defect-induced recombination. However, above this threshold, a more rapid increase in SPV was observed, suggesting the progressive filling of trap states44. In contrast, BSTON(TN0.2) exhibited a steeper response, even at much lower light intensities. From these measurements, it is evident that the threshold for trap filling is lowered for the case of BSTON(TN0.2), indicating a reduced density of trap states. At high light intensities, both samples exhibited a similar logarithmic dependence of the SPV signal on light intensity. Consistent with the PDS results, as well as transient absorption (TA) measurements described below, these SPV results further substantiate the conclusion that the lower defect density in BSTON(TN0.2) is a key factor responsible for its superior photocatalytic activity.
Trade-off between half-reactions
As described above, the as-synthesized BSTON samples exhibited no detectable activity for O2 evolution unless the particles were subjected to a post-synthetic thermal treatment under a reducing hydrogen atmosphere. Unfortunately, this treatment led to the loss of photocatalytic hydrogen evolution activity of the BSTON(TN0.2) sample. To elucidate the mechanism underlying this trade-off between optimal preparation conditions needed to efficiently drive water oxidation and reduction, BSTON(TN0.2) samples were annealed under hydrogen at progressively higher temperatures (Fig. 6a). Photocatalytic hydrogen evolution trials showed that the hydrogen evolution rate initially increased with increasing annealing temperature, reaching a maximum rate of 1.4 mmol/h for thermal treatment at 400 °C, as mentioned in the previous section (Fig. 6b and S21). However, further increases in the annealing temperature resulted in a decline in the hydrogen evolution rate. Here, it should be noted that the H2 evolution rate is affected by both proton reaction kinetics and the rate at which the hole scavenger (methanol in the present case) undergoes oxidation. Thus, the enhanced performance observed at moderate annealing temperatures may also have reflected promotion of the methanol oxidation half-reaction. Ultimately, overall photocatalytic performance is determined by the balance between the two half-reactions.
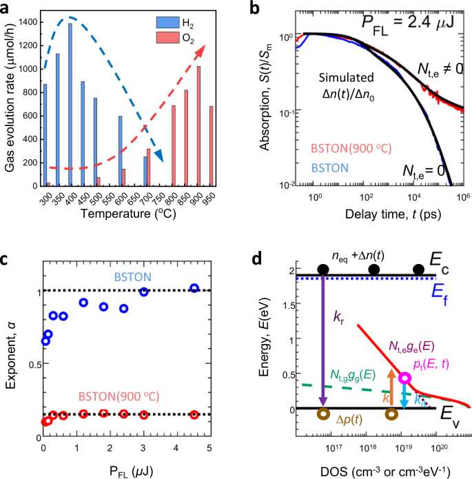
a Photocatalytic H2 (blue) and O2 (red) evolution rates of the BSTON(TN0.2) sample subjected to post-synthetic annealing at different temperatures under H2, as described in the text. b Normalized transient absorption signal decay, S(t)/Sm, of the as-synthesized BSTON(TN0.2) sample [designated as BSTON; in blue color] and BSTON(TN0.2) subjected to post-synthetic annealing at temperature of 900 °C under H2 [referred to as BSTON (900 °C); in red color] samples at a pump intensity PFL = 2.4 μJ per pulse. Black curves correspond to numerically simulated Δn(t)/Δn0 in the presence and absence of an exponential trap state density (Nt,e) for BSTON and BSTON (900 °C), respectively. Δn(t) and Δn0 give the time-dependent photogenerated electron density in the CB and the initial density of photogenerated electrons in the CB at t ~ 0.4 ps, respectively. c Estimated power law decay exponent values, α, as a function of pump intensity PFL, obtained by fitting the measured S(t) data in the 0.3-1.0 μs time window to the power-law function At-α (A is the amplitude). The dotted lines represent α = 0.15 and α = 1 for BSTON (900 °C) and BSTON samples, respectively. d Charge relaxation model, including band-to-band recombination of mobile electrons (in the CB) with mobile holes (in the VB), as well as trapping and de-trapping of holes via trap states close to the VB. Additional details of the model are provided in the Methods section. Source data for Fig. 6a–c are provided as a Source Data file.
In contrast to the behavior observed for photocatalytic hydrogen evolution, the photocatalytic oxygen evolution rate increased continuously with higher annealing temperature under a reducing hydrogen atmosphere. Importantly, XRD analyses confirmed that the crystal structure of the photocatalyst remained stable up to 900 °C, without any formation of impurity phases and vacancy on the surface (Figs. S22 and S23). However, the decline in oxygen evolution activity observed after annealing at 950 °C is attributed to decomposition of the material, as confirmed by in-situ TEM observation under a hydrogen atmosphere (Fig. S24). Overall, these results demonstrate that annealing treatments under a hydrogen atmosphere resulted in a trade-off in terms of the photocatalytic performance between the two half-reactions. Specifically, mild annealing temperatures favored H2 evolution but were insufficient to activate efficient O2 evolution, whereas higher annealing temperatures up to 950 °C enhance O2 evolution at the expense of H2 evolution activity.
To elucidate the charge carrier dynamics and photophysical parameters associated with hydrogen and oxygen evolution reactions, transient diffuse reflectance (TDR) spectroscopy and associated kinetic modeling (see ‘Methods’ for details) were performed on BSTON samples. This analysis aims to uncover the underlying factors responsible for the distinct photocatalytic water splitting behavior observed in as-synthesized BSTON(TN0.2) and BSTON(TN0.2) subjected to the post-synthetic treatment at 900 °C under a H2 atmosphere, hereafter referred to as BSTON and BSTON (900 °C), respectively. In the TDR measurements, each sample was excited at a pump photon energy of 3.1 eV, and the transient absorption signal (derived from the transient diffuse reflectance), S(t), was detected at a probe photon energy of 0.24 eV at various probe delay times, t, ranging from sub-ps to μs after pump excitation. S(t) decay profiles were obtained under varying pump intensities (PFL), ranging from 0.075 μJ to 4.5 μJ per pulse (Fig. S25). In the early time range, before ~10 ns, the S(t) decay for BSTON and BSTON (900 °C) were nearly identical. Moreover, these experiments reveal that the S(t) decay in this early ns-time range accelerated with increasing PFL (Fig. S26), suggesting bimolecular recombination of photogenerated charge carriers for both samples. However, significant differences in the relaxation kinetics were observed at later times. In particular, in the late sub-μs time range, S(t) decayed much more slowly for BSTON (900 °C) compared to BSTON (Fig. 6b). Within this later time range, the S(t) profiles followed a power-law decay behavior (i.e. S(t) \(\propto\) t-α). Importantly, the extracted exponent α of these two samples was found to approach different values, with α = 0.15 for BSTON (900 °C) and α = 1 for BSTON (Fig. 6c). A value of α = 1 is characteristic of carrier relaxation dominated by band-to-band recombination between electrons and holes, whereas values much less than unity suggest a critical role of charge carrier trapping, as discussed below.
To provide additional insight into the photocarrier recombination dynamics, a charge relaxation model was employed that includes band-to-band recombination between electrons and holes, together with hole trapping and detrapping via shallow trap states near the VB (Fig. 6d). According to established models45, exponential-tail trap states are required to explain α < 1 behavior and are absent when α = 1. For example, this framework has previously been used to interpret PFL-dependent and power-law decay of S(t) in work using photocatalysts such as Y2Ti2O5S2 (α = 0.1–0.45)46,47,48 and Gd2Ti2O5S2 (α = 0.1–0.25)49,50. Calculations using the charge relaxation model shown in Fig. 6d and described in the ‘Methods’ section, suggest that an exponential-tail of shallow trap states is present in BSTON (900 °C) but not in BSTON (Fig. 6b). Previously, our group demonstrated the formation of exponential-tail shallow trap states on Y2Ti2O5S2 surfaces, as determined via analysis of the S(t) decay in the sub-μs time range as a function of Sc doping at the surface48. Similarly, in the present work, we hypothesize that exponential-tail trap states are present on the BSTON (900 °C) surface rather than in the bulk. Such a scenario would be consistent with the post-synthetic thermal treatment of BSTON (TN0.2) primarily causing a modification of the surface rather than bulk properties.
In addition to the exponential-tail trap states for the BSTON (900 °C) sample, it was necessary to include Gaussian-tail trap states near the VB of both BSTON (900 °C) and BSTON in order to accurately simulate our measured data in the ns-time range, particularly at high PFL. Considering that these surface states would likely have been modified by the post-synthetic thermal treatment of BSTON but are present both before and after thermal treatments, the Gaussian-tail states observed in both samples may correspond to defect states within the bulk of the material. In contrast, the presence and absence of exponential-tail trap states, as described above, was strongly dependent on the annealing condition.
By carefully fine-tuning the initial guess of parameters for the kinetic model (Figs. S27 and S28), good agreement between the simulated βΔn(t) and the measured S(t) of BSTON (900 °C) and BSTON was achieved at various PFL (Figs. S29 and S30). Here, β and Δn(t) are a proportionality constant and the density of photogenerated electrons, respectively. Table S3 summarizes the extracted photophysical parameters determined for the BSTON (900 °C) and BSTON photocatalysts, including the recombination rate constant kr, the n-type doping density neq, and all other fitting results. Aside from the presence of exponential-tail trap states, these parameters were similar for both samples, indicating that the bulk electronic properties remain largely unaffected by post-synthetic thermal treatment. Furthermore, it was confirmed that exponential-tail trap states arise primarily from high-temperature (900 °C) rather than H2 or NH3 atmosphere (Fig. S31).
During water splitting trials under ambient AM1.5 G solar light illumination, the steady-state photogenerated carrier density (Δn0) in BSTON samples remained lower than the intrinsic electron doping density (neq), i.e. Δn0 <neq, due to the highly n-type nature of the materials. The minority carrier (hole) lifetime can be evaluated as 1/(krneq) and is approximately 0.8 ns for both samples. Assuming a nominal value of 1 cm2V-1s-1 for the charge carrier mobility, the resulting diffusion length for minority carriers would be approximately 45 nm and, therefore, comparable to the average BSTON particle size of approximately 75 nm. These photophysical parameters suggest that the photocatalytic performance is primarily limited by surface-related processes, particularly the efficiency of charge carrier extraction from the surface to the electrolyte. In the case of BSTON (900 °C), additional hole transport pathways were formed at the surface due to the presence of exponential trap states. These pathways may have improved hole extraction and thus promoted oxygen generation. Overall, the TDR signal decay analysis highlights the critical role of surface states in promoting the gas evolution reaction.
BSTON exhibits high activity for both the hydrogen- and oxygen-evolution half reactions after post-treatment, however, this developed material has not yet accomplished overall water splitting. We have made several preliminary attempts, but the exact reasons remain unclear. Based on the current results, we foresee two main directions to realize the overall reaction. First, cocatalyst loading is crucial. In this work, the cocatalysts were optimized for the individual half reactions, which likely promotes a pronounced backward reaction (recombination of H2 and O2 to H2O) (Fig. S32). The metallic state of Pt facilitates a serious H2/O2 recombination reaction51. Achieving high overall water splitting activity require site-specific cocatalyst deposition at the respective H2- and O2-evolution sites, along with further optimization of cocatalyst composition, loading strategy and interfacial configuration to establish an efficient charge-transfer pathway and suppress the backward reaction. Second, although the density of crystalline defects has been reduced, it remains higher than in our previously reported case of SrTiO3:Al7. Further precursor design, optimization of synthetic conditions and aliovalent doping will be needed to decrease defect density, mitigate nonradiative recombination and improve quantum efficiency. These approaches are expected to enable one-step overall water splitting in BSTON. Further investigations are underway to address these issues.
Discussion
A BSTON solid-solution photocatalyst was synthesized using a combination of TaS2 and Ta3N5 as Ta-containing precursors. The use of TaS2 promoted the formation of highly crystalline, nanoscale, single particles, while the Ta3N5 contributed to the suppression of defect formation within the semiconducting particles. As a result of the nanoscale morphology and improved crystallinity of this BSTON photocatalyst, state-of-the-art activities were observed both for H2 and O2 evolution reactions, with a maximum apparent quantum yield of 13.5% for H2 evolution and 25.9% for O2 evolution under 420 nm illumination, respectively. Post-synthetic thermal annealing treatments were employed to tune the photocatalytic activity of the BSTON solid solution. With increasing annealing temperature, a gradual shift in reactivity was observed, from hydrogen evolution toward oxygen evolution. In addition, TDR spectroscopy confirmed the formation of exponential-tail trap states at the surface after high-temperature annealing treatments. These trap states introduce additional hole transfer pathways that facilitate oxygen evolution by mitigating band-to-band recombination losses. Although overall water-splitting has not yet been demonstrated using this BSTON solid-solution photocatalyst, the high quantum yields achieved independently for the H2 and O2 evolution half-reactions underscore the promising photocatalytic potential of this material. We anticipate that with further structural refinement and targeted surface engineering, the BSTON solid-solution photocatalyst could enable efficient overall water splitting under visible-light irradiation, either through direct one-step excitation or within a Z-scheme photocatalytic system.
Methods
Preparation of the BaxSr1-xTaO2N photocatalyst
The BSTON solid-solution photocatalyst powder was synthesized by a high-temperature flux-assisted nitridation method using a mixture of TaS2, Ta3N5, Ba(OH)2·6H2O, SrCl2 and KCl as the starting materials. The Ta3N5 precursor was synthesized by direct nitridation of Ta2O5 (99.99%, RARE METALLIC Co., Ltd.) under an NH3 flow at a rate of 200 sccm with heating at 1273 K for 10 h. In a typical synthesis of BSTON powder, TaS2 (0.48 g, >99%, HIGH PURITY CHEMICALS), Ta3N5 (0.1 g), Ba(OH)2·6H2O (1.92 g, 98.0%, FUJIFILM Wako Pure Chemical), SrCl2 (0.388 g, >98.0%, Kanto Chemical) and KCl (0.183 g, 99.5%, FUJIFILM Wako Pure Chemical) were mixed in a 0.8:0.2:2.5:1:1 molar ratio. The mixture was thoroughly ground in 4 mL of ethanol. After mild heating and evaporation of ethanol, the resulting black powder was transferred into an alumina crucible and heated at 1223 K for 3 h under an NH3 flow at a rate of 200 sccm. Following synthesis, the BSTON solid-solution powder was obtained by rinsing the residual flux with distilled water and then drying the material in a vacuum oven at 313 K. To investigate the influence of the precursor composition, BSTON was also prepared using various molar ratios of TaS2 to Ta3N5. These samples are denoted herein as BSTON(TNz), where z represents the molar fractions of Ta originating from Ta3N5, defined as z = Ta(Ta3N5)/Ta(TaS2 + Ta3N5), with the value of z ranging from 0 to 0.3. To promote the oxygen evolution activity, the BSTON(TNz) samples were subjected to thermal annealing treatments at various temperatures for 1 h. The annealing treatment was conducted in a mixed gas atmosphere consisting of H2 (flow rate: 20 sccm) and N2 (flow rate: 200 sccm).
Characterization
XRD, DRS, ICP-OES, SEM and TEM analyses
The X-ray diffraction (XRD) measurements were performed using a diffractometer (MiniFlex 300, Rigaku) equipped with a Cu Kα radiation source (λ = 1.5406 Å). UV–visible diffuse reflectance spectroscopy (DRS) data were recorded using a UV-visible spectrometer (V-670, JASCO system). X-ray photoelectron spectroscopy (XPS) was carried out with a system employing a monochromatized Al Kα X-ray line source (PHI Quantera II, ULVAC-PHI). The elemental compositions of the BSTON samples were determined using both inductively coupled plasma atomic emission spectroscopy (ICP-AES; ICPS-8100, Shimadzu) and an oxygen–nitrogen analyzer (EMGA-920, Horiba).
Sample morphologies were investigated using field-emission scanning electron microscopy (FE-SEM, SU8000, Hitachi), operating at an acceleration voltage of 20 kV. In addition, high-resolution transmission electron microscopy (HR-TEM), annular dark-field scanning TEM (ADF-STEM), bright-field STEM (BF-STEM), energy dispersive X-ray spectroscopy (EDS) and selected area electron diffraction (SAED) analyses were carried out using a microscope (JEM-2800, JEOL) equipped with a silicon drift detector (X-MAX 100TLE, Oxford Instruments) and with a thermal spherical aberration corrected STEM (Cs-STEM, JEM-ARM200F, JEOL). In-situ TEM measurements were performed on a microscope (JEM-1000K RS, JEOL) at an acceleration voltage of 1000 kV. Atomic resolution STEM-EDS mapping was primarily performed with a cold FE-STEM (ARM 200 F, JEOL), equipped with dual EDS detectors and operated at an acceleration voltage of 200 kV. Associated simulations were performed using the Thermo Fisher Scientific AMIRA structural analysis software to automatically determine and clarify the color density of the STEM-EDS maps. In the EDS elemental maps, Sr was assigned to the red channel and Ba to the green channel to generate composite EDS overlay maps. Using the corresponding ADF-STEM image (Fig. 3b, left), a simulated image (Fig. 3c, right) was created that selectively showed the positions of Sr and Ba. This image (Fig. 3c, right) was automatically classified by color intensity using the RGB image analysis mode of a structural analysis software (Thermo Fisher Scientific’s AMIRA), and a clear simulated image (Fig. 3c, left) of red (Sr rich), green (Ba rich) and blue (both Sr and Ba) was obtained.
PDS and SPV analyses
Photothermal deflection spectroscopy (PDS) measurements were performed on BSTON powder samples deposited on fused silica substrates and subsequently immersed in perfluorohexane. The samples were illuminated with a monochromatized 100 W halogen light source modulated at 9 Hz. A HeNe laser (632.8 nm, 2 mW, HNL020L, Thorlabs) was employed as a probe beam and aligned to propagate parallel to the sample surface. The deflection of the probe beam, caused by photothermal gradients, was detected by a two-dimensional lateral position sensing detector (PDP90A, Thorlabs), and the signal was demodulated with a lock-in amplifier (SR830, Stanford Research). Surface photovoltage (SPV) measurements were carried out under ambient conditions at 22 °C using a Kelvin probe system (KP020, KP Technology). In these trials, each sample was illuminated by a 455 nm LED light source (Thorlabs), and the light intensity was varied across seven orders of magnitude. In preparation for the SPV analyses, each BSTON powder sample was transferred onto a substrate using a particle-transfer method, after which a Ti back contact layer was deposited by magnetron sputtering.
Cocatalyst loading
Prior to H2-evolution reaction measurements, Pt and Cr were loaded onto the surfaces of BSTON particles. In a typical process, 150 mg of BSTON solid-solution powder was dispersed in a mixture consisting of 15 mL distilled water and 3 mL of ethylene glycol (EG) (99.5%, FUJIFILM Wako Pure Chemical) containing 1 wt% H2PtCl6·6H2O ( > 98.5%, Kanto Chemical). The resulting suspension was transferred to a glass vial and rapidly heated to 423 K for 5 min in a microwave reactor. After cooling, the Pt/BSTON sample was washed, filtered and re-dispersed in 150 mL of an aqueous methanol solution (15 vol%). Subsequently, 0.3 wt% of K2CrO4 (>99.0%, FUJIFILM Wako Pure Chemical) was added to the dispersion as a precursor for Cr2O3 photodeposition. Cr2O3 deposition was carried out using the same closed gas circulation system employed in the photocatalytic gas evolution measurements described below. After degassing the suspension, visible light irradiation (λ ≥ 420 nm) was applied using a 300 W Xe lamp, resulting in the formation of Cr2O3/Pt/BSTON. It should be noted that the Cr2O3 photodeposition and hydrogen evolution reaction trials were performed concurrently in the same reaction system.
For the O2-evolution reaction measurements, the CoOx cocatalyst was loaded via an impregnation method followed by a post-treatment under a flow of a gaseous mixture of H2 and N2. In this procedure, 150 mg of BSTON powder was dispersed in an aqueous solution containing 1 wt% of Co(NO3)2·6H2O (>99.95%, Kanto Chemical). The resulting slurry was stirred continuously in a hot water bath until complete evaporation of the water. The resulting powder was then transferred into a tube furnace and annealed at 1173 K for 1 h under a flow of gaseous H2 (20 sccm) and N2 (200 sccm) to reduce the Co precursor (Co(NO3)2·6H2O). This procedure gave CoOx/BSTON as the final product.
Photocatalytic H2 and O2 evolution reactions
All photocatalytic H2 and O2 evolution reactions were carried out in a Pyrex top-illuminated reaction vessel connected to a closed gas circulation system. During the H2-evolution reaction, Cr2O3 was simultaneously photodeposited onto the photocatalyst surface. Prior to the H2 evolution reactions, Pt/BSTON was dispersed in 150 mL of a freshly prepared aqueous methanol solution (15 vol%) containing 0.3 wt% of K2CrO4. The reaction system was evacuated to remove air completely, and the background pressure was adjusted to 5 kPa by introducing Ar gas. The reaction solution was then irradiated with a 300 W Xe lamp equipped with a dichroic mirror and a cut-off filter (λ ≥ 420 nm). The temperature of the solution during irradiation was maintained at 290 K using a circulating water-cooling system. For the O2 evolution reaction, 150 mg of the photocatalyst was dispersed in 150 mL of a freshly prepared aqueous AgNO3 solution (40 mM) (AgNO3, >99.9%, FUJIFILM Wako Pure Chemical). A 0.1 g quantity of La2O3 (>99.99%, Kanto Chemical) was added to the solution to maintain a pH of 9 during the reaction. After air was completely removed from the system, Ar gas was introduced to adjust the initial background pressure to 5 kPa. The reaction solution was subsequently irradiated with a 300 W Xe lamp equipped with a dichroic mirror and a cut-off filter (λ ≥ 420 nm). The gaseous H2 and O2 that were generated during the photocatalytic reactions were analyzed using an online gas chromatography (GC) system (GC-8A, Shimadzu) equipped with a thermal conductivity detector and MS-5A columns with Ar as the carrier gas. The GC system was integrated with the closed gas circulation setup to ensure accurate and continuous gas monitoring.
Apparent quantum yield measurements
The apparent quantum yield (AQY) values were determined using the same system employed for photocatalytic half-reaction experiments. In these trials, the reaction solution was irradiated with a 300 W Xe lamp equipped with various band-pass filters. The intensity of the incident monochromatic light was measured using a grating spectroradiometer (LS-100, EKO Instruments). The AQY values for the photocatalytic H2 and O2 evolution were calculated using the equation:
where R and I represent the amounts of evolved gas and the number of incident photons, respectively, and A is the number of electrons consumed to generate one molecule of H2 or one molecule of O2. The value of A is 2 for H2 evolution and 4 for O2 evolution under photocatalytic sacrificial reaction conditions, respectively.
TDR spectroscopy
Transient diffuse reflectance (TDR) measurements were performed to probe the photocarrier dynamics in opaque photocatalyst powders, where the transient absorption signal was collected in diffuse-reflectance geometry rather than transmission. The transient signal is reported as an absorption (%), defined as 100 × (1 − R/R0), where R and R0 denote the diffusely reflected probe intensities recorded with and without photoexcitation, respectively. The details of the experimental setup and data-acquisition procedure were identical to those described in our previous report50.
For the sub-ns to ns time range (t < 3 ns), a Ti: sapphire regenerative amplifier (center wavelength 800 nm, pulse width ~100 fs, repetition rate 1 kHz) was used as the fundamental light source. The 400 nm pump pulse was generated via second-harmonic generation of the 800 nm output using a nonlinear crystal. A mid-infrared probe at 5250 nm (0.24 eV) was produced using an optical parametric amplifier equipped with difference-frequency generation. The pump–probe delay was controlled by an optical delay line, allowing measurements up to 3 ns. Powder samples were placed in a CaF2 cuvette and the diffusely reflected 5250 nm probe was detected using a liquid-nitrogen-cooled HgCdTe detector. The pump beam diameter on the sample was ~1 mm, and the irradiated area was evaluated using a beam profiler. The initial photogenerated carrier density was estimated from the absorbed photon density using the optical penetration depth (100 nm) derived from the absorption coefficient (105 cm−1) at 400 nm and the illuminated area, based on the Lambert–Beer law52,53,54,55.
For later time range (t > 3 ns), continuous-wave quantum cascade laser emitting at 5250 nm (0.24 eV) was employed as the probe source, while the 400 nm pump excitation was kept identical to that used for t < 3 ns. The diffusely reflected probe was detected with a liquid-nitrogen-cooled HgCdTe photodetector (bandwidth ~80 MHz). The detector output was amplified and recorded by a digital oscilloscope, and the pump-induced transient component was extracted using AC-coupled detection, whereas the DC offset was monitored independently to convert the signal into absorption (%). This measurement scheme enables detection of very small transient signals (<0.01%) with a temporal resolution of a few ns.
Kinetic modeling of photocarrier dynamics
Figure 6d presents a schematic diagram of the charge carrier relaxation model used to analyze the TDR signal decays associated with the BSTON samples. This proposed model includes band-to-band bimolecular recombination of electrons and holes (with rate constant kr), as well as trapping (kt) and detrapping (kd) of holes via shallow tail-trap states, comprising both Gaussian and exponential distributions, located near the VB maximum, Ev. The Fermi level Ef is assumed to be close to the CB minimum, Ec, as the majority of oxides, oxysulphides and oxynitrides are native n-type photocatalysts. In the present work, this n-type character was further indicated by the SPV measurements described above. The total tail-trap state density Ntg(E) is comprised of Nt,ggg(E) and Nt,ege(E), where Nt,g, Nt,e and Nt are the Gaussian, exponential and total trap densities, respectively, and gg(E), ge(E) and g(E) are the Gaussian, exponential and total distribution functions (E is the energy level measured from Ev = 0 eV and increases in the direction of the conduction band). Mathematically, gg(E), ge(E) and Nt are expressed as [2/(πE0,g2)]0.5exp[−E2/(2E0,g2)], [1/E0,e]exp[-E/E0,e] and Nt,g + Nt,e, respectively, where E0,g and E0,e are defined as the characteristic energies of Gaussian-tail and exponential-tail trap states, respectively.
An initial guess of parameter values for numerical simulations was derived from an inverse TDR signal analysis, 1/S(t), in the early-ns time range and from the power-law decay behavior, At−α, in the late sub-μs time range for BSTON (900 °C). The exponent α provided the initial estimates for E0,e (=kBT/α), where kB and T are the Boltzmann constant and absolute temperature, respectively. In the presence of bimolecular recombination and hole trapping, the inverse absorption signal 1/S(t) of the BSTON (900 °C) sample increases linearly with the delay time, t, in accordance with the relation: 1/S(t) = 1/Sm + [kr/t/β + kr/t(neq + Nt) × 1/Sm]t for t < 0.5 ns (Fig. S27) [assuming kr = kt, as given by kr/t], where neq is the equilibrium electron density (i.e. n-type doping density).
The maximum absorption signal Sm shows a linear response against PFL or pump fluence Ip such that Sm = βΔn0, where β is a proportionality constant and Δn0 is the photogenerated excess electron concentration at the earlies probe time. This linear dependance of Sm with PFL suggests negligible recombination within the instrumental response time (IRT ~ 0.25 ps). According to the Lambert-Beer law, Δn0 = αaIp and the absorption coefficient is given by αa = 105 cm−1 at the pump photon energy of 3.1 eV52,55. Here, Δn0 was modulated from 1.13 × 1018 cm−3 to 6.81 × 1019 cm−3 by varying the pump photon density, Ip. In the late sub-μs time range (t > 0.3 μs), S(t) is primarily governed by the trapped hole density ptA(t) in exponential-tail trap states and can be expressed as S(t) = βptA(t), where ptA(t) = Ntπα/[(1 + neq/Δn0)Γ(1 − α)sin(πα)(ktNmt)α] is the analytical expression obtained by assuming kt = kr, as justified by the data (Fig. S28). Here, Γ(z) is the gamma function and Nm is the effective density of states for the VB.
Numerical simulations were performed using the fourth-order Runge-Kutta method in the MATLAB software package to solve coupled differential equations for the time-dependent mobile electron density, Δn(t), mobile hole density, Δp(t) and energy-resolved trapped hole density, pt(E, t), with following governing equations:
The first, second and third terms in Eq. (4) correspond to band-to-band bimolecular recombination, hole trapping and hole detrapping processes. kd(E) is expressed in terms of kt such that kd(E) = ktexp[−E/(kBT)] as required by considering the detailed balance of trapping and detrapping process at steady state. The total trapped hole density is given by pt(t) = ∫pt(E, t)dE. It is assumed that initial photoexcitation yields equal densities of excess electrons and holes, i.e. Δn(0) = Δp(0). Accordingly, the initial carrier density for Δn(t) and Δp(t) at t ~ 0.4 ps is equal to αaIp as per the Lamber-Beer law. The initial trapped hole population pt(E, t) is set to zero, assuming the trap states are pre-filled with electrons due to their position relative to the Fermi level Ef. Using Fermi-Dirac statistics, Ef = Ec − kBT ln(Nm, e/neq − 1) is estimated, where Nm. e is the effective density of states for the CB.
Data availability
All data generated or analyzed during this study are included in the published article and its Supplementary Information. Additional data are available from the corresponding authors on request. Source data are provided with this paper.
References
Xiao, Y. et al. Interface engineering for photoelectrochemical oxygen evolution reaction. Chem. Soc. Rev. 54, 1268–1317 (2025).
Tachibana, Y., Vayssieres, L. & Durrant, J. R. Artificial photosynthesis for solar water-splitting. Nat. Photonics 6, 511–518 (2012).
May, M. M., Lewerenz, H.-J., Lackner, D., Dimroth, F. & Hannappel, T. Efficient direct solar-to-hydrogen conversion by in situ interface transformation of a tandem structure. Nat. Commun. 6, 8286 (2015).
Verlage, E. et al. A monolithically integrated, intrinsically safe, 10% efficient, solar-driven water-splitting system based on active, stable earth-abundant electrocatalysts in conjunction with tandem III–V light absorbers protected by amorphous TiO2 films. Energy Environ. Sci. 8, 3166–3172 (2015).
Chen, S., Takata, T. & Domen, K. Particulate photocatalysts for overall water splitting. Nat. Rev. Mater. 2, 17050 (2017).
Wang, Y. et al. In situ photocatalytically enhanced thermogalvanic cells for electricity and hydrogen production. Science 381, 291–296 (2023).
Takata, T. et al. Photocatalytic water splitting with a quantum efficiency of almost unity. Nature 581, 411–414 (2020).
Nishiyama, H. et al. Photocatalytic solar hydrogen production from water on a 100-m2 scale. Nature 598, 304–307 (2021).
Xin, X. et al. Large electronegativity differences between adjacent atomic sites activate and stabilize ZnIn2S4 for efficient photocatalytic overall water splitting. Nat. Commun. 15, 337 (2024).
Zhang, Y. et al. Internal quantum efficiency higher than 100% achieved by combining doping and quantum effects for photocatalytic overall water splitting. Nat. Energy 8, 504–514 (2023).
Wang, Z. et al. Overall water splitting by Ta3N5 nanorod single crystals grown on the edges of KTaO3 particles. Nat. Catal. 1, 756–763 (2018).
Pan, C. et al. A complex perovskite-type oxynitride: the first photocatalyst for water splitting operable at up to 600 nm. Angew. Chem. Int. Ed. 54, 2955–2959 (2015).
Wang, X. et al. A metal-free polymeric photocatalyst for hydrogen production from water under visible light. Nat. Mater. 8, 76–80 (2009).
Hojamberdiev, M., Vargas, R., Zhang, F., Teshima, K. & Lerch, M. Perovskite BaTaO2N: from materials synthesis to solar water splitting. Adv. Sci. 10, 2305179 (2023).
Liu, X. et al. Enhancing the photocatalytic activity of CaTaO2N for overall water splitting through surface nitride ion enrichment. ACS Catal. 14, 10561–10567 (2024).
Hojamberdiev, M. et al. Unfolding the role of B site-selective doping of aliovalent cations on enhancing sacrificial visible light-induced photocatalytic H2 and O2 evolution over BaTaO2N. ACS Catal. 12, 1403–1414 (2022).
Chen, K. et al. Overall water splitting by a SrTaO2N-based photocatalyst decorated with an Ir-promoted Ru-based cocatalyst. J. Am. Chem. Soc. 145, 3839–3843 (2023).
Balaz, S., Porter, S. H., Woodward, P. M. & Brillson, L. J. Electronic structure of tantalum oxynitride perovskite photocatalysts. Chem. Mater. 25, 3337–3343 (2013).
Luo, Y. et al. Platy BaTaO2N crystals fabricated from K2CO3–KCl binary flux for photocatalytic H2 evolution. ACS Appl. Energy Mater. 3, 10669–10675 (2020).
Yu, J. et al. Single-crystalline LaTiO2N nanosheets with regulated defects for photocatalytic overall water splitting under visible light up to 600 nm. ACS Catal. 14, 608–618 (2024).
Ma, S. S. K., Maeda, K. & Domen, K. Modification of TaON with ZrO2 to improve photocatalytic hydrogen evolution activity under visible light: influence of preparation conditions on activity. Catal. Sci. Technol. 2, 818–823 (2012).
Maeda, K., Abe, R. & Domen, K. Role and function of ruthenium species as promoters with TaON-based photocatalysts for oxygen evolution in two-step water splitting under visible light. J. Phys. Chem. C 115, 3057–3064 (2011).
Li, W. et al. Enhanced Z-scheme water splitting at atmospheric pressure with suppression of reverse reactions using Zr-doped BaTaO2N as hydrogen evolution photocatalyst. J. Catal. 428, 115187 (2023).
Wang, Z. et al. Sequential cocatalyst decoration on BaTaO2N towards highly-active Z-scheme water splitting. Nat. Commun. 12, 1005 (2021).
Li, H. et al. One-step excitation overall water splitting over a modified Mg-doped BaTaO2N photocatalyst. ACS Catal. 12, 10179–10185 (2022).
Wei, S., Zhang, G. & Xu, X. Activating BaTaO2N by Ca modifications and cobalt oxide for visible light photocatalytic water oxidation reactions. Appl. Catal. B Environ. 237, 373–381 (2018).
Li, H. et al. Zr-doped BaTaO2N photocatalyst modified with Na–Pt cocatalyst for efficient hydrogen evolution and Z-scheme water splitting. EES Catal. 1, 26–35 (2023).
Xiao, J. et al. Sub-50 nm perovskite-type tantalum-based oxynitride single crystals with enhanced photoactivity for water splitting. Nat. Commun. 14, 8030 (2023).
Hisatomi, T., Takanabe, K. & Domen, K. Photocatalytic water-splitting reaction from catalytic and kinetic perspectives. Catal. Lett. 145, 95–108 (2015).
Xiao, J. et al. Simultaneously tuning the defects and surface properties of Ta3N5 nanoparticles by Mg–Zr codoping for significantly accelerated photocatalytic H2 evolution. J. Am. Chem. Soc. 143, 10059–10064 (2021).
Hojamberdiev, M. et al. NH3-assisted flux growth of cube-like BaTaO2N submicron crystals in a completely ionized nonaqueous high-temperature solution and their water splitting activity. Cryst. Growth Des. 15, 4663–4671 (2015).
Wang, Y., Wei, S. & Xu, X. SrTaO2N-CaTaO2N solid solutions as efficient visible light active photocatalysts for water oxidation and reduction. Appl. Catal. B Environ. 263, 118315 (2020).
Kim, Y.-I., Woodward, P. M., Baba-Kishi, K. Z. & Tai, C. W. Characterization of the structural, optical, and dielectric properties of oxynitride perovskites AMO2N (A = Ba, Sr, Ca; M = Ta, Nb). Chem. Mater. 16, 1267–1276 (2004).
Clarke, S. J., Hardstone, K. A., Michie, C. W. & Rosseinsky, M. J. High-temperature synthesis and structures of perovskite and n = 1 Ruddlesden-Popper tantalum oxynitrides. Chem. Mater. 14, 2664–2669 (2002).
Zou, H. et al. Insight into the rate-determining step in photocatalytic z-scheme overall water splitting by employing a series of perovskite RTaON2 (R = Pr, Nd, Sm, and Gd) as model photocatalysts. J. Am. Chem. Soc. 146, 28182–28189 (2024).
Wolff, H. & Dronskowski, R. First-principles and molecular-dynamics study of structure and bonding in perovskite-type oxynitrides ABO2N (A = Ca, Sr, Ba; B = Ta, Nb). J. Comput. Chem. 29, 2260–2267 (2008).
Cho, H. J., Sato, K., Wei, M., Kim, G. & Ohta, H. Effect of lattice distortions on the electron and thermal transport properties of transparent oxide semiconductor Ba1 − xSrxSnO3 solid solution films. J. Appl.Phys. 127, 115701 (2020).
Luo, X. et al. Direct synthesis of BaTaO2N nanoparticle film on a conductive substrate for photoelectrochemical water splitting. J. Catal. 411, 109–115 (2022).
Baniecki, J. D., Ishii, M., Shioga, T., Kurihara, K. & Miyahara, S. Surface core-level shifts of strontium observed in photoemission of barium strontium titanate thin films. Appl. Phys. Lett. 89, 162908 (2006).
Rodrigues, A., Bauer, S. & Baumbach, T. Effect of post-annealing on the chemical state and crystalline structure of PLD Ba0.5Sr0.5TiO3 films analyzed by combined synchrotron X-ray diffraction and X-ray photoelectron spectroscopy. Ceram. Int. 44, 16017–16024 (2018).
Spasojevic, I., Sauthier, G., Caicedo, J. M., Verdaguer, A. & Domingo, N. Oxidation processes at the surface of BaTiO3 thin films under environmental conditions. Appl. Surf. Sci. 565, 150288 (2021).
Deleuze, P.-M. et al. Nature of the Ba 4d splitting in BaTiO3 unraveled by a combined experimental and theoretical study. J. Phys. Chem. C 126, 15899–15906 (2022).
Takata, T., Pan, C., Nakabayashi, M., Shibata, N. & Domen, K. Fabrication of a core–shell-type photocatalyst via photodeposition of group IV and V transition metal oxyhydroxides: an effective surface modification method for overall water splitting. J. Am. Chem. Soc. 137, 9627–9634 (2015).
Bienek, O. et al. Engineering defects and interfaces of atomic layer-deposited TiOx-protective coatings for efficient III–V semiconductor photocathodes. ACS Photonics 10, 3985–3997 (2023).
Tachiya, M. & Seki, K. Theory of bulk electron-hole recombination in a medium with energetic disorder. Phys. Rev. B 82, 085201 (2010).
Nandal, V. et al. Unveiling charge dynamics of visible light absorbing oxysulfide for efficient overall water splitting. Nat. Commun. 12, 7055 (2021).
Lin, L. et al. Flux-assisted synthesis of Y2Ti2O5S2 for photocatalytic hydrogen and oxygen evolution reactions. Angew. Chem. Int. Ed. 62, e202310607 (2023).
Yoshida, H. et al. Heterogeneous doping of visible-light-responsive Y2Ti2O5S2 for enhanced hydrogen evolution. J. Mater. Chem. A 10, 24552–24560 (2022).
Yoshida, H. et al. An oxysulfide photocatalyst evolving hydrogen with an apparent quantum efficiency of 30 % under visible light. Angew. Chem. Int. Ed. 62, e202312938 (2023).
Shoji, R. et al. Quantifying the prospect of a visible-light-absorbing oxysulfide photocatalyst by probing transient absorption and photoluminescence. EES Catal. 3, 274–285 (2025).
Liu, S. et al. A near-perfect Pt cocatalyst with a spatially oriented distribution of Pt2+/Pt0 for photocatalytic water splitting. Adv. Mater. 37, e08693 (2025).
Hafez, A. M., Salem, N. M. & Allam, N. K. Unravelling the correlated electronic and optical properties of BaTaO2N with perovskite-type structure as a potential candidate for solar energy conversion. Phys. Chem. Chem. Phys. 16, 18418–18424 (2014).
Zhou, K., Fo, Y. & Zhou, X. First-principles calculations of the structural, energetic, electronic, optical, and photocatalytic properties of BaTaO2N low-index surfaces. New J. Chem. 46, 11540–11552 (2022).
Oka, D. et al. Possible ferroelectricity in perovskite oxynitride SrTaO2N epitaxial thin films. Sci. Rep. 4, 4987 (2014).
Le Paven, C. et al. Structural and photoelectrochemical properties of SrTaO2N oxynitride thin films deposited by reactive magnetron sputtering. J. Eur. Ceram. Soc. 40, 6301–6308 (2020).
Acknowledgements
This work was supported by the New Energy and Industrial Technology Development Organization (NEDO, project no. P21021), ‘Advanced Research Infrastructure for Materials and Nanotechnology in Japan (ARIM)’ of the Ministry of Education, Culture, Sports, Science and Technology (MEXT), Grant Number JPMXP1224UT0040 and JPMXP1224NU0007, JSPS Program for Forming Japan’s Peak Research Universities (J-PEAKS) Grant Number JPJS00420230007, as well as by the European Research Council (ERC) under the European Union’s Horizon 2020 research and innovation programme (grant agreement no. 864234), from the Deutsche Forschungsgemeinschaft (DFG, German Research Foundation) under Germany´s Excellence Strategy—EXC 2089/1—390776260, and from the Federal Ministry of Research, Technology and Space (BMFTR, Germany) within the project ‘SINATRA:CO2UPLED’ (project number 033RC034).
Author information
Authors and Affiliations
Contributions
F.W. and K.D. conceived and designed the research concept. F.W. synthesized the photocatalyst materials and performed photocatalytic performance evaluation. N.K. and W.L. helped with the preparation and co-catalyst loading. M.N. and N.S. carried out STEM–EDS-related measurements and analyzed the resulting data. V.N., R.S., H.I., J.J.M.V., H.M. and K.S. conducted the TDR experiments and analyzed the resulting data. G.G., V.S. and I.D.S. performed the PDS and SPV experiments and analyzed the data. I.D.S., T.T., T.H. and K.D. discussed the results. K.D. supervised the entire research work. F.W. and V.N. wrote the manuscript with contributions from the other authors.
Corresponding author
Ethics declarations
Competing interests
The authors declare no competing interests.
Peer review
Peer review information
Nature Communications thanks Yuanxing FANG, Xuanhua Li and the other anonymous reviewer(s) for their contribution to the peer review of this work. A peer review file is available.
Additional information
Publisher’s note Springer Nature remains neutral with regard to jurisdictional claims in published maps and institutional affiliations.
Supplementary information
Source data
Rights and permissions
Open Access This article is licensed under a Creative Commons Attribution 4.0 International License, which permits use, sharing, adaptation, distribution and reproduction in any medium or format, as long as you give appropriate credit to the original author(s) and the source, provide a link to the Creative Commons licence, and indicate if changes were made. The images or other third party material in this article are included in the article's Creative Commons licence, unless indicated otherwise in a credit line to the material. If material is not included in the article's Creative Commons licence and your intended use is not permitted by statutory regulation or exceeds the permitted use, you will need to obtain permission directly from the copyright holder. To view a copy of this licence, visit http://creativecommons.org/licenses/by/4.0/.
About this article
Cite this article
Wang, F., Nakabayashi, M., Nandal, V. et al. Single-crystalline BaxSr1-xTaO2N solid-solution photocatalyst with low defect concentrations for solar-driven water splitting. Nat Commun 17, 2341 (2026). https://doi.org/10.1038/s41467-026-68848-9
Received:
Accepted:
Published:
Version of record:
DOI: https://doi.org/10.1038/s41467-026-68848-9








