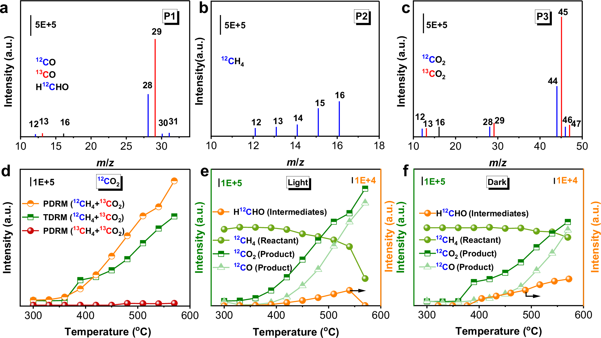
Fig. 5: 13C-labeled isotope-labeling experiments.
From: A lattice oxygen-free design for efficient and stable photothermal methane dry reforming

Mass spectra of CO (a), CH4 (b), and CO2 (c) over N1 at 540 °C under light irradiation using an equivalent amount of 12CH4 and 13CO2 as the feeding gas. 12C-labeled species as a function of reaction temperature over N1 using equivalent amounts of 12CH4 and 13CO2 in dark (d) and under light (e). f The production of 12CO2 in different reaction systems. Reaction conditions: 10 mg of catalyst and 300 W Xe lamp with a light intensity of 2.8 W cm−2.